Insight into the Pyrolysis Behaviors of Petroleum-Driven Mesophase Pitch via ReaxFF Molecular Dynamics and In Situ TG-FTIR/MS
Abstract
1. Introduction
2. Materials and Methods
2.1. Preparation of Sample
2.2. Experimental Methods
2.2.1. C-NMR
2.2.2. FTIR Spectrometer
2.2.3. XPS Spectrum
2.2.4. TG-FTIR
2.2.5. TG-MS
2.3. Computational Methods
2.3.1. Model Construction
2.3.2. ReaxFF MD Simulation
3. Results and Discussion
3.1. pMP Molecular Structure
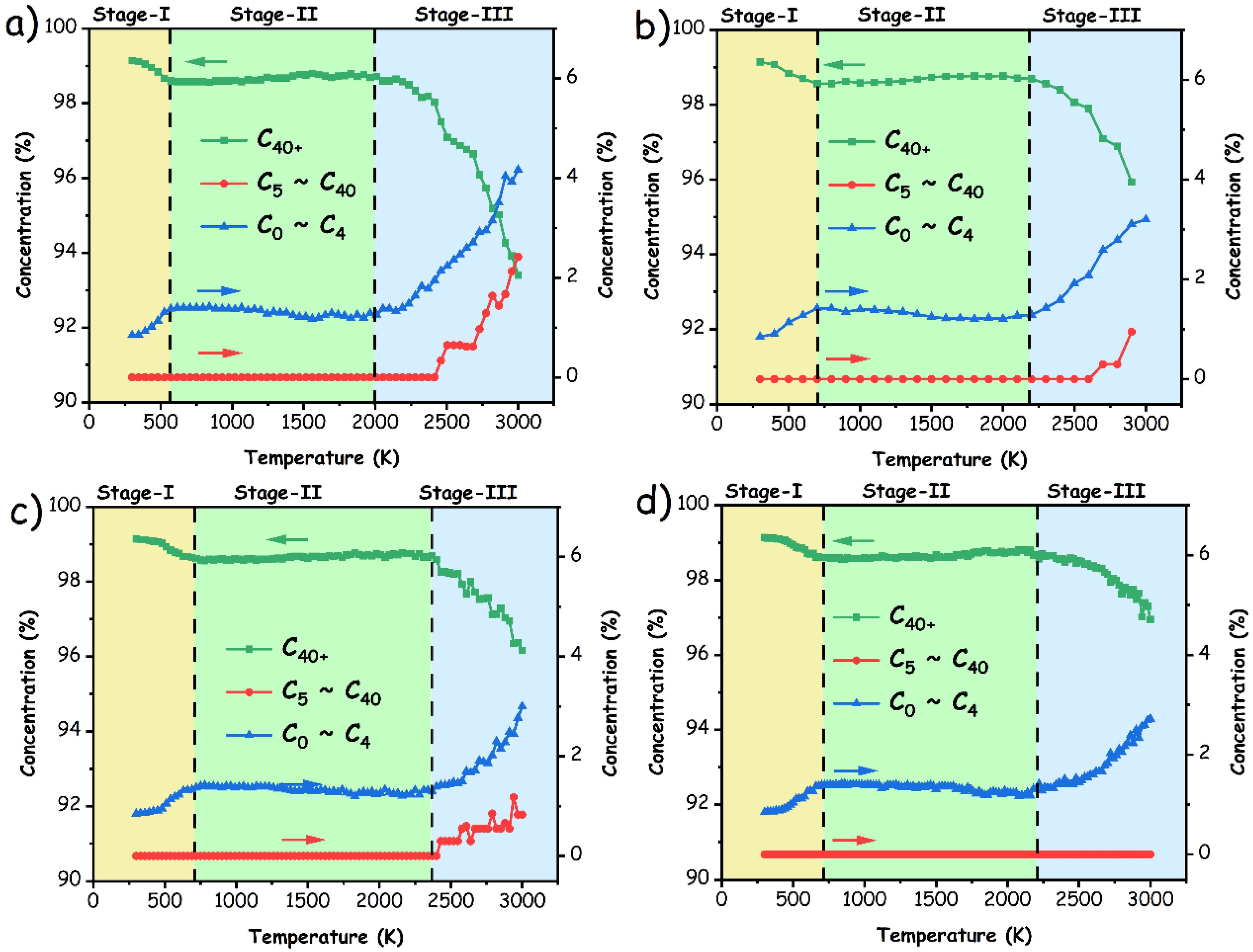
3.2. Pyrolysis Behaviors of pMP
4. Conclusions
Author Contributions
Funding
Institutional Review Board Statement
Informed Consent Statement
Data Availability Statement
Acknowledgments
Conflicts of Interest
References
- Hu, Y.S.; Adelhelm, P.; Smarsly, B.M.; Hore, S.; Antonietti, M.; Maier, J. Synthesis of Hierarchically Porous Carbon Monoliths with Highly Ordered Microstructure and Their Application in Rechargeable Lithium Batteries with High-Rate Capability. Adv. Funct. Mater. 2007, 17, 1873–1878. [Google Scholar] [CrossRef]
- Shimanoe, H.; Mashio, T.; Nakabayashi, K.; Inoue, T.; Hamaguchi, M.; Miyawaki, J.; Mochida, I.; Yoon, S.-H. Manufacturing spinnable mesophase pitch using direct coal extracted fraction and its derived mesophase pitch based carbon fiber. Carbon 2020, 158, 922–929. [Google Scholar] [CrossRef]
- Gong, X.; Lou, B.; Yu, R.; Zhang, Z.; Guo, S.; Li, G.; Wu, B.; Liu, D. Carbonization of mesocarbon microbeads prepared from mesophase pitch with different anisotropic contents and their application in lithium-ion batteries. Fuel Process. Technol. 2021, 217, 106832. [Google Scholar] [CrossRef]
- Li, S.; Song, Y.; Song, Y.; Shi, J.; Liu, L.; Wei, X.; Guo, Q. Carbon foams with high compressive strength derived from mixtures of mesocarbon microbeads and mesophase pitch. Carbon 2007, 45, 2092–2097. [Google Scholar] [CrossRef]
- Li, Y.; Dong, R.; Qin, Y. Characteristics of carbon black recycled from lightly pyrolyzed tire rubber and its impact on the high-temperature performance of asphalt. Constr. Build. Mater. 2024, 428, 136307. [Google Scholar] [CrossRef]
- Yadav, A.; Kumar, R.; Bhatia, G.; Verma, G.L. Development of mesophase pitch derived high thermal conductivity graphite foam using a template method. Carbon 2011, 49, 3622–3630. [Google Scholar] [CrossRef]
- Wu, P.-I.; Hsu, Y.-T.; Tseng, Y.-C.; Subramani, R.; Chen, Y.-S.; Chang, C.-L.; Leu, G.-S.; Teng, H. Mesophase Pitch-Derived Carbons with High Electronic and Ionic Conductivity Levels for Electric Double-Layer Capacitors. ACS Omega 2019, 4, 16925–16934. [Google Scholar] [CrossRef]
- Ruiz, V.; Blanco, C.; Santamaría, R.; Ramos-Fernández, J.M.; Martínez-Escandell, M.; Sepúlveda-Escribano, A.; Rodríguez-Reinoso, F. An activated carbon monolith as an electrode material for supercapacitors. Carbon 2009, 47, 195–200. [Google Scholar] [CrossRef]
- Ye, C.; Wu, H.; Zhu, S.-p.; Fan, Z.; Huang, D.; Han, F.; Liu, J.-s.; Yang, J.-x.; Liu, H.-b. Microstructure of high thermal conductivity mesophase pitch-based carbon fibers. New Carbon Mater. 2021, 36, 980–985. [Google Scholar] [CrossRef]
- Wei, Y.; Chen, J.; Zhao, H.; Zang, X. Pressure-Strengthened Carbon Fibers from Mesophase Pitch Carbonization Processes. J. Phys. Chem. Lett. 2022, 13, 3283–3289. [Google Scholar] [CrossRef]
- Liu, Z.; Guo, X.; Shi, L.; He, W.; Wu, J.; Liu, Q.; Liu, J. Reaction of volatiles—A crucial step in pyrolysis of coals. Fuel 2015, 154, 361–369. [Google Scholar] [CrossRef]
- He, W.; Liu, Z.; Liu, Q.; Liu, M.; Guo, X.; Shi, L.; Wu, J.; Guo, X.; Ci, D. Analysis of Tars Produced in Pyrolysis of Four Coals under Various Conditions in a Viewpoint of Radicals. Energy Fuels 2015, 29, 3658–3663. [Google Scholar] [CrossRef]
- Miura, K. Mild conversion of coal for producing valuable chemicals. Fuel Process. Technol. 2000, 62, 119–135. [Google Scholar] [CrossRef]
- Rajabpour, S.; Mao, Q.; Gao, Z.; Khajeh Talkhoncheh, M.; Zhu, J.; Schwab, Y.; Kowalik, M.; Li, X.; van Duin, A.C.T. Low-temperature carbonization of polyacrylonitrile/graphene carbon fibers: A combined ReaxFF molecular dynamics and experimental study. Carbon 2021, 174, 345–356. [Google Scholar] [CrossRef]
- Qi, T.; Bauschlicher, C.W., Jr.; Lawson, J.W.; Desai, T.G.; Reed, E.J. Comparison of ReaxFF, DFTB, and DFT for Phenolic Pyrolysis. 1. Molecular Dynamics Simulations. J. Phys. Chem. A 2013, 117, 11115–11125. [Google Scholar] [CrossRef]
- Wang, Y.; Li, Y.; Zhang, C.; Yang, L.; Fan, X.; Chu, L. A study on co-pyrolysis mechanisms of biomass and polyethylene via ReaxFF molecular dynamic simulation and density functional theory. Process Saf. Environ. Prot. 2021, 150, 22–35. [Google Scholar] [CrossRef]
- Gao, M.; Li, X.; Guo, L. Pyrolysis simulations of Fugu coal by large-scale ReaxFF molecular dynamics. Fuel Process. Technol. 2018, 178, 197–205. [Google Scholar] [CrossRef]
- Zheng, M.; Li, X.; Guo, L. Dynamic trends for char/soot formation during secondary reactions of coal pyrolysis by large-scale reactive molecular dynamics. J. Anal. Appl. Pyrolysis 2021, 155, 105048. [Google Scholar] [CrossRef]
- Liu, S.; Wei, L.; Zhou, Q.; Yang, T.; Li, S.; Zhou, Q. Simulation strategies for ReaxFF molecular dynamics in coal pyrolysis applications: A review. J. Anal. Appl. Pyrolysis 2023, 170, 105882. [Google Scholar] [CrossRef]
- Dai, G.; Zhu, Y.; Yang, J.; Pan, Y.; Wang, G.; Reubroycharoen, P.; Wang, S. Mechanism study on the pyrolysis of the typical ether linkages in biomass. Fuel 2019, 249, 146–153. [Google Scholar] [CrossRef]
- Watkins, D.; Nuruddin, M.; Hosur, M.; Tcherbi-Narteh, A.; Jeelani, S. Extraction and characterization of lignin from different biomass resources. J. Mater. Res. Technol. 2015, 4, 26–32. [Google Scholar] [CrossRef]
- Xin, S.; Yang, H.; Chen, Y.; Yang, M.; Chen, L.; Wang, X.; Chen, H. Chemical structure evolution of char during the pyrolysis of cellulose. J. Anal. Appl. Pyrolysis 2015, 116, 263–271. [Google Scholar] [CrossRef]
- Gao, M.; Li, X.; Guo, X.; Chen, L.; Sun, L.; Yang, S.; Xie, X.; Hua, D. Dynamic migration mechanism of organic oxygen in Fugu coal pyrolysis by large-scale ReaxFF molecular dynamics. J. Anal. Appl. Pyrolysis 2021, 156, 105109. [Google Scholar] [CrossRef]
- Zheng, M.; Pan, Y.; Wang, Z.; Li, X.; Guo, L. Capturing the dynamic profiles of products in Hailaer brown coal pyrolysis with reactive molecular simulations and experiments. Fuel 2020, 268, 117290. [Google Scholar] [CrossRef]
- Yang, Y.; Wang, Y.; Cao, J.; Xu, Z.; Li, Y.; Liu, Y. Reactive molecular dynamic investigation of the oxidative aging impact on asphalt. Constr. Build. Mater. 2021, 279, 121298. [Google Scholar] [CrossRef]
- Zheng, M.; Li, X.; Bai, J.; Guo, L. Chemical structure effects on coal pyrolyzates and reactions by using large-scale reactive molecular dynamics. Fuel 2022, 327, 125089. [Google Scholar] [CrossRef]
- You, Z.; Xiao, J.; Wang, G.; Yao, Z.; Wan, Y.; Zhong, Q. Molecular representation and atomic-level coking evolution investigation of modified coal tar pitch via 13C NMR, MALDI-TOF-MS, SAXS, and ReaxFF MD. Fuel 2023, 348, 128561. [Google Scholar] [CrossRef]
- Castro-Marcano, F.; Russo, M.F.; van Duin, A.C.T.; Mathews, J.P. Pyrolysis of a large-scale molecular model for Illinois no. 6 coal using the ReaxFF reactive force field. J. Anal. Appl. Pyrolysis 2014, 109, 79–89. [Google Scholar] [CrossRef]
- Zheng, M.; Li, X.; Nie, F.; Guo, L. Investigation of Overall Pyrolysis Stages for Liulin Bituminous Coal by Large-Scale ReaxFF Molecular Dynamics. Energy Fuels 2017, 31, 3675–3683. [Google Scholar] [CrossRef]
- Bai, Z.; Jiang, X.Z.; Luo, K.H. Effects of water on pyridine pyrolysis: A reactive force field molecular dynamics study. Energy 2022, 238, 121798. [Google Scholar] [CrossRef]
- Liu, J.; Yang, X.; Jiang, X.; Jiang, X. Pyrolysis mechanisms of coal extracts based on TG-FTIR and ReaxFF MD study. Fuel Process. Technol. 2022, 227, 107124. [Google Scholar] [CrossRef]
- Liu, C.; Lu, J.; Zheng, F.; Lyu, W. Molecular structure model construction and pyrolysis mechanism study on low-rank coal by experiments and ReaxFF simulations. J. Anal. Appl. Pyrolysis 2024, 178, 106387. [Google Scholar] [CrossRef]
- Feng, W.; Zheng, M.; Jin, L.; Bai, J.; Kong, L.; Li, H.; Bai, Z.; Li, W. Co-pyrolysis behaviors of coal and polyethylene by combining in-situ Py-TOF-MS and reactive molecular dynamics. Fuel 2023, 331, 125802. [Google Scholar] [CrossRef]
- Wang, S.; Tang, Y.; Schobert, H.H.; Guo, Y.n.; Gao, W.; Lu, X. FTIR and simultaneous TG/MS/FTIR study of Late Permian coals from Southern China. J. Anal. Appl. Pyrolysis 2013, 100, 75–80. [Google Scholar] [CrossRef]
- Xu, T.; Wang, C.; Hong, D.; Li, S. Experimental and ReaxFF molecular dynamic study of NO emission during municipal sludge/coal co-combustion. Fuel 2023, 338, 127342. [Google Scholar] [CrossRef]
- Zhao, Y.; Li, H.; Lei, J.; Xie, J.; Li, L.; Gan, Y.; Deng, J.; Qi, R.; Liu, Y. Study on the surface wetting mechanism of bituminous coal based on the microscopic molecular structure. RSC Advances 2023, 13, 5933–5945. [Google Scholar] [CrossRef]
- Qian, L.; Tao, C.; Ma, C.; Xue, J.; Guo, F.; Jia, X.; Yan, W. Construction of a Macromolecular Structure Model for Zhundong Subbituminous Coal. J. Mol. Struct. 2022, 1248, 131496. [Google Scholar] [CrossRef]
- Zimmer, J.E.; White, J.L. Disclination Structures in the Carbonaceous Mesophase. In Advances in Liquid Crystals; Brown, G.H., Ed.; Elsevier: Amsterdam, The Netherlands, 1982; Volume 5, pp. 157–213. [Google Scholar]
- Guo, J.; Li, X.; Xu, H.; Zhu, H.; Li, B.; Westwood, A. Molecular Structure Control in Mesophase Pitch via Co-Carbonization of Coal Tar Pitch and Petroleum Pitch for Production of Carbon Fibers with Both High Mechanical Properties and Thermal Conductivity. Energy Fuels 2020, 34, 6474–6482. [Google Scholar] [CrossRef]
- Yang, J.-Y.; Ko, T.H.; Kuk, Y.-S.; Seo, M.-K.; Kim, B.-S. A Facile Fabrication of Ordered Mesoporous Carbons Derived from Phenolic Resin and Mesophase Pitch via a Self-Assembly Method. Nanomaterials 2022, 12, 2686. [Google Scholar] [CrossRef]
- Shen, D.; Jin, W.; Hu, J.; Xiao, R.; Luo, K. An overview on fast pyrolysis of the main constituents in lignocellulosic biomass to valued-added chemicals: Structures, pathways and interactions. Renew. Sustain. Energy Rev. 2015, 51, 761–774. [Google Scholar] [CrossRef]
- Bilbao, R.; Salvador, M.L.; Arauzo, J. Influence of the heating rate on the temperature profiles and on the conversion rate of powdery cellulose and pine sawdust. J. Anal. Appl. Pyrolysis 1994, 30, 145–159. [Google Scholar] [CrossRef]
- Feng, L.; Zhao, G.; Zhao, Y.; Zhao, M.; Tang, J. Construction of the molecular structure model of the Shengli lignite using TG-GC/MS and FTIR spectrometry data. Fuel 2017, 203, 924–931. [Google Scholar] [CrossRef]
- Xu, T.; Huang, X. Study on combustion mechanism of asphalt binder by using TG–FTIR technique. Fuel 2010, 89, 2185–2190. [Google Scholar] [CrossRef]
- Jia, C.; Wang, Z.; Liu, H.; Bai, J.; Chi, M.; Wang, Q. Pyrolysis behavior of Indonesia oil sand by TG-FTIR and in a fixed bed reactor. J. Anal. Appl. Pyrolysis 2015, 114, 250–255. [Google Scholar] [CrossRef]
- Jiang, Y.; Zong, P.; Tian, B.; Xu, F.; Tian, Y.; Qiao, Y.; Zhang, J. Pyrolysis behaviors and product distribution of Shenmu coal at high heating rate: A study using TG-FTIR and Py-GC/MS. Energy Convers. Manag. 2019, 179, 72–80. [Google Scholar] [CrossRef]
- Safdari, M.-S.; Amini, E.; Weise, D.R.; Fletcher, T.H. Heating rate and temperature effects on pyrolysis products from live wildland fuels. Fuel 2019, 242, 295–304. [Google Scholar] [CrossRef]
- Liu, J.; Li, X.; Guo, L.; Zheng, M.; Han, J.; Yuan, X.; Nie, F.; Liu, X. Reaction analysis and visualization of ReaxFF molecular dynamics simulations. J. Mol. Graph. Model. 2014, 53, 13–22. [Google Scholar] [CrossRef]










| C | H | O | C/H | Density (g/cm3) | |
|---|---|---|---|---|---|
| Experimentally | 93.44 | 4.42 | 2.14 | 1.75 | 1.28 |
| Theoretically | 92.81 | 4.87 | 2.32 | 1.59 | 1.22 |
| Region | Center/cm−1 | Width | Peak Area | Proportion | Assignment |
|---|---|---|---|---|---|
| Aromatic structure | 748 | 33.98 | 3.00 | 28.50 | di-substituted benzene |
| 790 | 23.16 | 0.92 | 7.45 | tri-substituted benzene | |
| 811 | 25.02 | 1.76 | 19.88 | tetra-substituted benzene | |
| 832 | 21.16 | 0.66 | 10.40 | tetra-substituted benzene | |
| 866 | 33.63 | 2.53 | 33.77 | penta-substituted benzene | |
| Characteristic functional groups | 1030 | 23.91 | 0.24 | 1.15 | C–O–C alkyl ether |
| 1068 | 30.40 | 0.10 | 0.49 | C–O aryl ether | |
| 1156 | 58.97 | 0.80 | 3.82 | C–O aryl ether | |
| 1240 | 147.95 | 4.33 | 20.82 | C–O phenols | |
| 1382 | 187.88 | 7.36 | 35.35 | CH3–Ar | |
| 1438 | 35.72 | 1.64 | 7.91 | CH3–, CH2– | |
| 1519 | 104.65 | 1.91 | 9.19 | Aromatic C=C | |
| 1592 | 49.84 | 2.84 | 13.64 | Aromatic C=C | |
| 1694 | 45.41 | 0.28 | 1.34 | Aromatic (C=O) | |
| 1758 | 101.26 | 1.31 | 6.29 | Aliphatic (C=O) | |
| Aliphatic functional groups | 2826 | 12.07 | 0.03 | 7.22 | Sym. R2CH2 |
| 2854 | 51.63 | 1.37 | 55.59 | Sym. RCH3 | |
| 2916 | 46.36 | 2.08 | 36.39 | Asym. R2CH2 | |
| 2956 | 21.90 | 0.27 | 0.80 | Asym. RCH3 |
| Species | Binding Energy (eV) | Attribution | Proportion % |
|---|---|---|---|
| C 1s | 284.8 | C=C/C–H | 82.58 |
| 285.7 | C–O | 9.53 | |
| 287.1 | C=O | 1.32 | |
| 289.6 | COO− | 6.57 | |
| O 1s | 531.8 | C=O | 11.81 |
| 532.6 | O–H | 49.88 | |
| 534.0 | C–O | 38.31 |
| Parameter | ||||||||||||
|---|---|---|---|---|---|---|---|---|---|---|---|---|
| Experimentally | 87.22 | 0.00 | 87.22 | 31.51 | 55.71 | 1.29 | 16.17 | 37.75 | 12.78 | 7.36 | 5.42 | 0.00 |
| Theoretically | 88.12 | 0.00 | 88.12 | 35.00 | 53.12 | 1.87 | 15.62 | 35.63 | 11.88 | 5.63 | 6.25 | 0.00 |
Disclaimer/Publisher’s Note: The statements, opinions and data contained in all publications are solely those of the individual author(s) and contributor(s) and not of MDPI and/or the editor(s). MDPI and/or the editor(s) disclaim responsibility for any injury to people or property resulting from any ideas, methods, instructions or products referred to in the content. |
© 2024 by the authors. Licensee MDPI, Basel, Switzerland. This article is an open access article distributed under the terms and conditions of the Creative Commons Attribution (CC BY) license (https://creativecommons.org/licenses/by/4.0/).
Share and Cite
Qin, L.; Zhao, L.; Yuan, B.; Wang, H.; Liang, G.; Li, K.; Xie, Q.; Gong, L. Insight into the Pyrolysis Behaviors of Petroleum-Driven Mesophase Pitch via ReaxFF Molecular Dynamics and In Situ TG-FTIR/MS. Materials 2024, 17, 5318. https://doi.org/10.3390/ma17215318
Qin L, Zhao L, Yuan B, Wang H, Liang G, Li K, Xie Q, Gong L. Insight into the Pyrolysis Behaviors of Petroleum-Driven Mesophase Pitch via ReaxFF Molecular Dynamics and In Situ TG-FTIR/MS. Materials. 2024; 17(21):5318. https://doi.org/10.3390/ma17215318
Chicago/Turabian StyleQin, Lingyan, Li Zhao, Bo Yuan, Hongwei Wang, Guojie Liang, Kai Li, Qiang Xie, and Lele Gong. 2024. "Insight into the Pyrolysis Behaviors of Petroleum-Driven Mesophase Pitch via ReaxFF Molecular Dynamics and In Situ TG-FTIR/MS" Materials 17, no. 21: 5318. https://doi.org/10.3390/ma17215318
APA StyleQin, L., Zhao, L., Yuan, B., Wang, H., Liang, G., Li, K., Xie, Q., & Gong, L. (2024). Insight into the Pyrolysis Behaviors of Petroleum-Driven Mesophase Pitch via ReaxFF Molecular Dynamics and In Situ TG-FTIR/MS. Materials, 17(21), 5318. https://doi.org/10.3390/ma17215318
