Friction-Induced Near-Infrared Emission and Its Mechanism
Abstract
1. Introduction
2. Experimental Setup and Materials
3. Results and Discussion
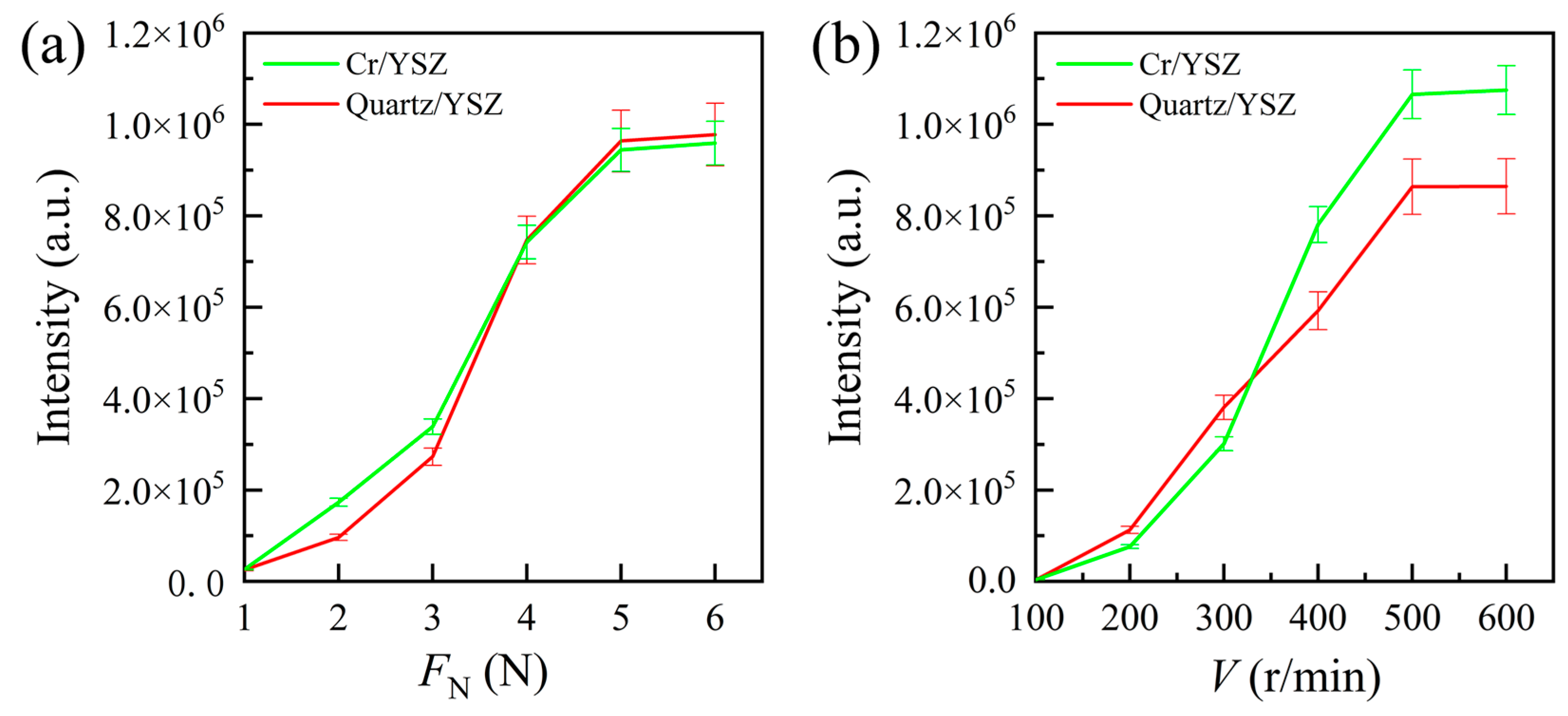
3.1. Tribo-Emission of Near-Infrared Light
3.2. TL Mechanism
3.3. Mechanism of Redshift in TL
4. Conclusions
Author Contributions
Funding
Institutional Review Board Statement
Informed Consent Statement
Data Availability Statement
Conflicts of Interest
References
- Kawaguchi, Y.K.Y. Fractoluminescence spectra in crystalline quartz. Jpn. J. Appl. Phys. 1998, 37, 1892. [Google Scholar] [CrossRef]
- Reynolds, G.T. Piezoluminescence from a ferroelectric polymer and quartz. J. Lumin. 1997, 75, 295–299. [Google Scholar] [CrossRef]
- Chandra, B.; Elyas, M.; Majumdar, B. Dislocation models of mechanoluminescence in γ-and X-irradiated alkali halides crystals. Solid State Commun. 1982, 42, 753–757. [Google Scholar] [CrossRef]
- Chandra, B.; Shrivastava, K. Dependence of mechanoluminescence in rochelle-salt crystals on the charge-produced during their fracture. J. Phys. Chem. Solids 1978, 39, 939–940. [Google Scholar] [CrossRef]
- Nevshupa, R.; Hiratsuka, K. Triboluminescence. In Fundamentals of Friction and Wear on the Nanoscale; Springer: Cham, Switzerland, 2014; pp. 57–77. [Google Scholar]
- Chandra, B.; Chandra, V.; Jha, P. Models for intrinsic and extrinsic fracto-mechanoluminescence of solids. J. Lumin. 2013, 135, 139–153. [Google Scholar] [CrossRef]
- Camara, C.G.; Escobar, J.V.; Hird, J.R.; Putterman, S.J. Correlation between nanosecond X-ray flashes and stick–slip friction in peeling tape. Nature 2008, 455, 1089–1092. [Google Scholar] [CrossRef]
- Kneip, S. Applied physics: A stroke of X-ray. Nature 2011, 473, 455–456. [Google Scholar] [CrossRef]
- Womack, F.N.; Goedeke, S.M.; Bergeron, N.P.; Hollerman, W.A.; Allison, S.W. Measurement of triboluminescence and proton half brightness dose for ZnS: Mn. IEEE Trans. Nucl. Sci. 2004, 51, 1737–1741. [Google Scholar] [CrossRef]
- Sage, I.; Bourhill, G. Triboluminescent materials for structural damage monitoring© British Crown Copyright 2000/DERA. Published with the permission of the Controller of Her Britannic Majesty’s Stationery Office. J. Mater. Chem. 2001, 11, 231–245. [Google Scholar] [CrossRef]
- Wei, X.Y.; Wang, X.; Kuang, S.Y.; Su, L.; Li, H.Y.; Wang, Y.; Pan, C.; Wang, Z.L.; Zhu, G. Dynamic triboelectrification-induced electroluminescence and its use in visualized sensing. Adv. Mater 2016, 28, 6656–6664. [Google Scholar] [CrossRef]
- Song, C.; Zhu, S.; Ma, L.; Tian, Y.; Luo, J. Complete contact trajectory visualization based on triboelectrification and droplet luminescence. Appl. Mater. Today 2021, 24, 101081. [Google Scholar] [CrossRef]
- Hollerman, W.; Bergeron, N.; Goedeke, S.; Allison, S.; Muntele, C.; Ila, D.; Moore, R. Annealing effects of triboluminescence production on irradiated ZnS: Mn. Surf. Coat. Technol. 2007, 201, 8382–8387. [Google Scholar] [CrossRef]
- Wang, K.; Ma, L.; Xu, X.; Wen, S.; Luo, J. Triboluminescence dominated by crystallographic orientation. Sci. Rep. 2016, 6, 26324. [Google Scholar] [CrossRef]
- Zhang, Y.; Ma, L.; Wang, K.; Xu, X.; Gao, Y.; Wen, S.; Luo, J. Triboluminescence modulated by humidity. J. Lumin. 2017, 182, 22–28. [Google Scholar] [CrossRef]
- Wang, K.; Xub, X.; Ma, L.; Wang, A.; Wang, R.; Luo, J.; Wen, S. Studies on triboluminescence emission characteristics of various kinds of bulk ZnS crystals. J. Lumin. 2017, 186, 307–311. [Google Scholar] [CrossRef]
- Nakayama, K. Triboplasma generation and triboluminescence in the inside and the front outside of the sliding contact. Tribol. Lett. 2016, 63, 12. [Google Scholar] [CrossRef]
- Li, N.; Ma, L.; Xu, X.; Luo, J. Charge transfer dynamics in contact electrification of dielectrics investigated by triboluminescence. J. Lumin. 2020, 227, 117531. [Google Scholar] [CrossRef]
- Horvat, J.; Lewis, R. Peeling adhesive tape emits electromagnetic radiation at terahertz frequencies. Opt. Lett. 2009, 34, 2195–2197. [Google Scholar] [CrossRef]
- Hird, J.; Camara, C.; Putterman, S. A triboelectric x-ray source. Appl. Phys. Lett. 2011, 98, 133501. [Google Scholar] [CrossRef]
- Collins, A.L.; Camara, C.G.; Naranjo, B.B.; Putterman, S.J.; Hird, J.R. Charge localization on a polymer surface measured by triboelectrically induced x-ray emission. Phys. Rev. B—Condens. Matter Mater. Phys. 2013, 88, 064202. [Google Scholar] [CrossRef]
- Song, C.; Wang, K.; Sang, X.; Xu, X.; Ma, L.; Luo, J.; Wen, S. Tribo-induced near-infrared light emission between metal and quartz. Langmuir 2020, 36, 1165–1173. [Google Scholar] [CrossRef]
- Wang, K.; Ma, L.; Xu, X.; Wen, S.; Zhang, Y. Enhancement of triboluminescence in the presence of CO2 by sliding between silica and yttria-stabilized zirconia. Langmuir 2015, 31, 8224–8227. [Google Scholar] [CrossRef]
- Li, L.; Wondraczek, L.; Peng, M.; Ma, Z.; Zou, B. Force-induced 1540 nm luminescence: Role of piezotronic effect in energy transfer process for mechanoluminescence. Nano Energy 2020, 69, 104413. [Google Scholar] [CrossRef]
- Tekalur, S.A. Triboluminescence in sodium chloride. J. Lumin. 2010, 130, 2201–2206. [Google Scholar] [CrossRef]
- Sirca, G.F., Jr.; Adeli, H. Infrared thermography for detecting defects in concrete structures. J. Civ. Eng. Manag. 2018, 24, 508–515. [Google Scholar] [CrossRef]
- Niu, S.; Aierken, P.; Ababaike, M.; Wang, S.; Yusufu, T. Widely tunable, high-energy, mid-infrared (2.2–4.8 µm) laser based on a multi-grating MgO: PPLN optical parametric oscillator. Infrared Phys. Technol. 2020, 104, 103121. [Google Scholar] [CrossRef]
- Strangman, G.; Boas, D.A.; Sutton, J.P. Non-invasive neuroimaging using near-infrared light. Biol. Psychiatry 2002, 52, 679–693. [Google Scholar] [CrossRef]
- Wang, C.; Tao, H.; Cheng, L.; Liu, Z. Near-infrared light induced in vivo photodynamic therapy of cancer based on upconversion nanoparticles. Biomaterials 2011, 32, 6145–6154. [Google Scholar] [CrossRef]
- Costantini, J.M.; Beuneu, F. Threshold displacement energy in yttria-stabilized zirconia. Phys. Status Solidi c 2007, 4, 1258–1263. [Google Scholar] [CrossRef]
- Spainhour, J.C.G.; Janech, M.G.; Schwacke, J.H.; Velez, J.C.Q.; Ramakrishnan, V. The application of Gaussian mixture models for signal quantification in MALDI-ToF mass spectrometry of peptides. PLoS ONE 2014, 9, e111016. [Google Scholar] [CrossRef]
- Nakayama, K.; Nevshupa, R.A. Characteristics and pattern of plasma generated at sliding contact. J. Trib. 2003, 125, 780–787. [Google Scholar] [CrossRef]
- Chen, X.; Bai, X.; Xu, J.; Zhou, Q.; Chen, B. Comparison of the air oxidation behaviors of Zircaloy-4 implanted with yttrium and cerium ions at 500 °C. J. Nucl. Mater. 2002, 305, 8–13. [Google Scholar] [CrossRef]
- Bai, X.; Xu, J.; He, F.; Fan, Y. The air oxidation of yttrium ion implanted zircaloy-4 at 500 C. Nucl. Instrum. Methods Phys. Res. Sect. B Beam Interact. Mater. At. 2000, 160, 49–53. [Google Scholar] [CrossRef]
- Li, W.; Ma, L.; Xu, X.; Luo, J. Bidirectional electron transfer in Triboelectrification caused by friction-induced change in surface electronic structure. Nano Energy 2023, 114, 108667. [Google Scholar] [CrossRef]
- Pietrucci, F.; Bernasconi, M.; Di Valentin, C.; Mauri, F.; Pickard, C. EPR g-tensor of paramagnetic centers in yttria-stabilized zirconia from first-principles calculations. Phys. Rev. B—Condens. Matter Mater. Phys. 2006, 73, 134112. [Google Scholar] [CrossRef]
- Jaffe, J.; Zunger, A. Theory of the band-gap anomaly in AB C2 chalcopyrite semiconductors. Phys. Rev. B 1984, 29, 1882. [Google Scholar] [CrossRef]
- Tauc, J. Optical properties and electronic structure of amorphous Ge and Si. Mater. Res. Bull. 1968, 3, 37–46. [Google Scholar] [CrossRef]
- Mott, N.F.; Davis, E.A. Electronic Processes in Non-Crystalline Materials; Oxford University Press: Oxford, UK, 1971. [Google Scholar]
- Vohrer, U.; Wiemhöfer, H.-D.; Göpel, W.; Van Hassel, B.; Burggraaf, A. Electronic properties of ion-implanted yttria-stabilized zirconia. Solid State Ion. 1993, 59, 141–149. [Google Scholar] [CrossRef][Green Version]
- Song, C.H. Study on the Excitation Mechanism and Behavior of Triboluminescence. Ph.D. Thesis, Tsinghua University, Beijing, China, 2022. [Google Scholar]





Disclaimer/Publisher’s Note: The statements, opinions and data contained in all publications are solely those of the individual author(s) and contributor(s) and not of MDPI and/or the editor(s). MDPI and/or the editor(s) disclaim responsibility for any injury to people or property resulting from any ideas, methods, instructions or products referred to in the content. |
© 2024 by the authors. Licensee MDPI, Basel, Switzerland. This article is an open access article distributed under the terms and conditions of the Creative Commons Attribution (CC BY) license (https://creativecommons.org/licenses/by/4.0/).
Share and Cite
Hu, S.; Li, J.; Xu, X. Friction-Induced Near-Infrared Emission and Its Mechanism. Materials 2024, 17, 5119. https://doi.org/10.3390/ma17205119
Hu S, Li J, Xu X. Friction-Induced Near-Infrared Emission and Its Mechanism. Materials. 2024; 17(20):5119. https://doi.org/10.3390/ma17205119
Chicago/Turabian StyleHu, Shaodong, Junhao Li, and Xuefeng Xu. 2024. "Friction-Induced Near-Infrared Emission and Its Mechanism" Materials 17, no. 20: 5119. https://doi.org/10.3390/ma17205119
APA StyleHu, S., Li, J., & Xu, X. (2024). Friction-Induced Near-Infrared Emission and Its Mechanism. Materials, 17(20), 5119. https://doi.org/10.3390/ma17205119
