Enhanced Durability of Wood Cutting Tools through Thermal Cycling
Abstract
1. Introduction
2. Materials and Methods
3. Results
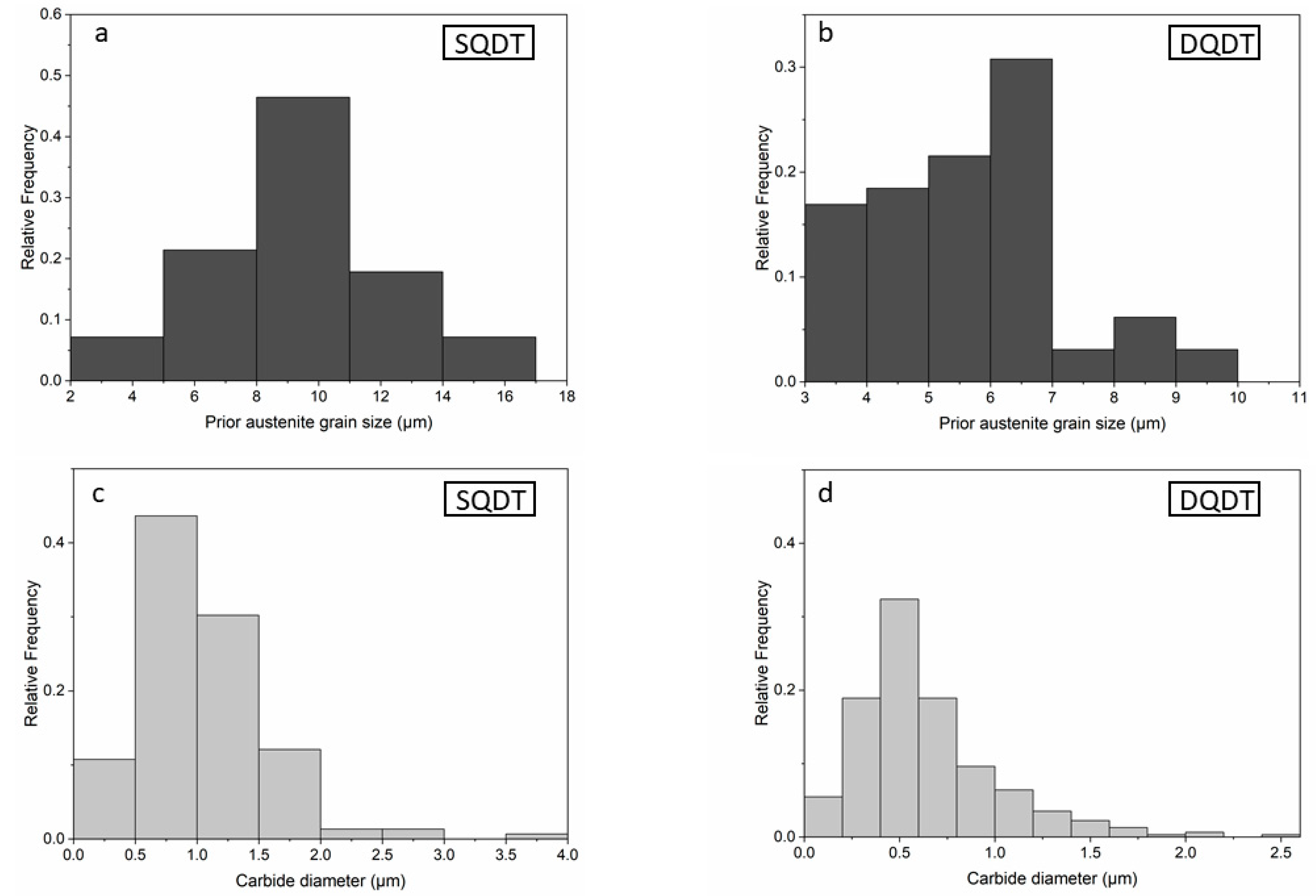
3.1. Microstructural Characterization of the Substrate
3.2. Field Test Analysis
3.2.1. Wear and Volume Loss and in Canting Knives
3.2.2. Damage and Edge Stability in the Chipping Knives
3.2.3. Fracture Surface of Chipping Knives
3.2.4. Crack Initiation and Propagation
3.3. Residual Stress Analysis
4. Discussion
5. Conclusions
- -
- DQDT treatment resulted in a finer microstructure, with a reduction in the PAGS and carbide size up to 50%, and a more uniform and spherical carbide distribution compared to SQDT treatment.
- -
- Field tests revealed that DQDT knives exhibited superior wear resistance, with improvements of up to 130% over SQDT knives.
- -
- Fractography analysis revealed a transition from brittle fractures with quasi-cleavage and severe crack linkups in SQDT knives to ductile fractures characterized by dimples in DQDT knives.
- -
- Residual stress measurements indicated that the newly proposed DQDT treatment introduced higher compressive stresses (−280 MPa) compared to SQDT (−30 MPa), which correlated with improved performance and better preservation of the PVD coating.
Author Contributions
Funding
Institutional Review Board Statement
Informed Consent Statement
Data Availability Statement
Conflicts of Interest
References
- Ghosh, S.C.; Heidari, M.; Hernández, R.E.; Blais, C. Patterns of knife edge recession in an industrial chipper-canter. For. Prod. J. 2015, 65, 358–364. [Google Scholar] [CrossRef]
- Heidari, M. Improvement of Cutting Tool Life for the Primary Transformation of Wood. Ph.D. Thesis, Université Laval, Québec, QC, Canada, 2019. [Google Scholar]
- Thomas, L. Knife Engineering: Steel, Heat Treating, and Geometry; 2020; Available online: https://knifesteelnerds.com/2018/05/28/chipping-of-edges/ (accessed on 1 July 2024).
- KATIYAR, L.K.; SASIKUMAR, C. Development of hard and tough tool steel through precipitation of ultrafine carbides from super saturated solid solution. Mater. Today Proc. 2022, 66, 3822–3829. [Google Scholar] [CrossRef]
- Liu, B.; Li, W.; Lu, X.; Jia, X.; Jin, X. The effect of retained austenite stability on impact-abrasion wear resistance in carbide-free bainitic steels. Wear 2019, 428, 127–136. [Google Scholar] [CrossRef]
- Bourithis, L.; Papadimitriou, G.; Sideris, J. Comparison of wear properties of tool steels AISI D2 and O1 with the same hardness. Tribol. Int. 2006, 39, 479–489. [Google Scholar] [CrossRef]
- Toboła, D.; Brostow, W.; Czechowski, K.; Rusek, P. Improvement of wear resistance of some cold working tool steels. Wear 2017, 382, 29–39. [Google Scholar] [CrossRef]
- Muhammed, M.; Javidani, M.; Ebrahimi Sadrabadi, T.; Heidari, M.; Levasseur, T.; Jahazi, M. A comprehensive review of cathodic arc evaporation physical vapour deposition (CAE-PVD) coatings for enhanced tribological performance. Coatings 2024, 14, 246. [Google Scholar] [CrossRef]
- Muhammed, M.; Javidani, M.; Heidari, M.; Jahazi, M. Enhancing the tribological performance of tool steels for wood-processing applications: A comprehensive review. Metals 2023, 13, 1460. [Google Scholar] [CrossRef]
- Roberts, G.A.; Kennedy, R.; Krauss, G. Tool Steels; ASM international: Almere, The Netherlands, 1998. [Google Scholar]
- Pillai, N.; Karthikeyan, R.; Kannan, S.; Vincent, S. Effect of Cryogenic treatment on VIKING cold working tool steel and development of wear mechanism maps. Procedia Manuf. 2018, 26, 329–342. [Google Scholar] [CrossRef]
- Mbakop Nanshie, V.; Aidibe, A.; Heidari, M.; Jahazi, M. Impact of coating and microstructure on wear resistance of tool steels for wood cutting: A novel approach to quantification and analysis of wear-related damages. J. Wood Sci. 2024, 70, 20. [Google Scholar] [CrossRef]
- Pillai, N.; Karthikeyan, R.; Davim, J.P. Heat treatment effects on tribological characteristics for AISI A8 tool steel and development of wear mechanism maps using K means clustering and neural networks. Tribol. Mater. Surf. Interfaces 2018, 12, 44–56. [Google Scholar] [CrossRef]
- Lee, S.-J.; Lee, Y.-K. Prediction of austenite grain growth during austenitization of low alloy steels. Mater. Des. 2008, 29, 1840–1844. [Google Scholar] [CrossRef]
- Grange, R. The rapid heat treatment of steel. Metall. Trans. 1971, 2, 65–78. [Google Scholar] [CrossRef]
- Hidalgo, J.; Santofimia, M.J. Effect of prior austenite grain size refinement by thermal cycling on the microstructural features of as-quenched lath martensite. Metall. Mater. Trans. A 2016, 47, 5288–5301. [Google Scholar] [CrossRef]
- Chang, E.; Chang, C.; Liu, C. The effects of double austenitization on the mechanical properties of a 0.34 C containing low-alloy Ni-Cr-Mo-V steel. Metall. Mater. Trans. A 1994, 25, 545–555. [Google Scholar] [CrossRef]
- Ögel, B.; Tekin, E. The effect of double austenitization on the microstructure and fracture toughness of AISI M2 high speed steel. Steel Res. 1998, 69, 247–252. [Google Scholar] [CrossRef]
- Balan, K.; Reddy, A.V.; Sarma, D. Effect of single and double austenitization treatments on the microstructure and mechanical properties of 16Cr-2Ni steel. J. Mater. Eng. Perform. 1999, 8, 385–393. [Google Scholar] [CrossRef]
- Karthikeyan, T.; Paul, V.T.; Saroja, S.; Moitra, A.; Sasikala, G.; Vijayalakshmi, M. Grain refinement to improve impact toughness in 9Cr–1Mo steel through a double austenitization treatment. J. Nucl. Mater. 2011, 419, 256–262. [Google Scholar] [CrossRef]
- Pandey, C.; Mahapatra, M.; Kumar, P.; Kumar, P.; Saini, N.; Thakare, J.; Kumar, S. Study on effect of double austenitization treatment on fracture morphology tensile tested nuclear grade P92 steel. Eng. Fail. Anal. 2019, 96, 158–167. [Google Scholar] [CrossRef]
- Zhang, W.; Li, W.; Liu, H.; He, T.; Deng, S.; Tian, H.; Cao, W. Microstructure effects on improving rolling contact fatigue by a double-quenching heat treatment process for GCr15 steel. Tribol. Int. 2024, 194, 109519. [Google Scholar] [CrossRef]
- Wang, J.; Qian, R.; Huang, S.; Shang, C. Effect of double-quenching on the hardness and toughness of a wear-resistant steel. Metals 2022, 13, 61. [Google Scholar] [CrossRef]
- Cao, Z.; Shi, Z.; Yu, F.; Sugimoto, K.-i.; Cao, W.; Weng, Y. Effects of double quenching on fatigue properties of high carbon bearing steel with extra-high purity. Int. J. Fatigue 2019, 128, 105176. [Google Scholar] [CrossRef]
- Liu, J.; Yu, H.; Zhou, T.; Song, C.; Zhang, K. Effect of double quenching and tempering heat treatment on the microstructure and mechanical properties of a novel 5Cr steel processed by electro-slag casting. Mater. Sci. Eng. A 2014, 619, 212–220. [Google Scholar] [CrossRef]
- Sanij, M.K.; Banadkouki, S.G.; Mashreghi, A.; Moshrefifar, M. The effect of single and double quenching and tempering heat treatments on the microstructure and mechanical properties of AISI 4140 steel. Mater. Des. 2012, 42, 339–346. [Google Scholar] [CrossRef]
- Beer, P.; Djouadi, M.; Marchal, R.; Sokolowska, A.; Lambertin, M.; Miklaszewski, S. Influence of knife-surfaces modification with hard coatings on the peeling wood process. J. Mater. Process. Technol. 1999, 92, 264–268. [Google Scholar] [CrossRef]
- Kucharska, B.; Czarniak, P.; Kulikowski, K.; Krawczyńska, A.; Rożniatowski, K.; Kubacki, J.; Szymanowski, K.; Panjan, P.; Sobiecki, J.R. Comparison study of PVD coatings: TiN/AlTiN, TiN and TiAlSiN used in wood machining. Materials 2022, 15, 7159. [Google Scholar] [CrossRef] [PubMed]
- Nadolny, K.; Kapłonek, W.; Sutowska, M.; Sutowski, P.; Myśliński, P.; Gilewicz, A. Experimental studies on durability of PVD-based CrCN/CrN-coated cutting blade of planer knives used in the pine wood planing process. Materials 2020, 13, 2398. [Google Scholar] [CrossRef]
- Zhang, Q.; Liu, F.; Wu, D.; Qu, S.; Liu, W.; Chen, Z. A Comprehensive Understanding of Knife Cutting: Effects of Hardness, Blade Angle and the Micro-Geometry of Blade Edge on the Cutting Performance. Materials 2023, 16, 5375. [Google Scholar] [CrossRef]
- Wilczyński, D.; Talaśka, K.; Wałęsa, K.; Wojtkowiak, D.; Bembenek, M. Experimental study on the cutting process of single triticale straws. Materials 2023, 16, 3943. [Google Scholar] [CrossRef]
- ASTM A681; Standard Specification for Tool Steels Alloy. ASTM: West Conshohocken, PA, USA, 2022.
- Saunders, N.; Guo, U.; Li, X.; Miodownik, A.; Schillé, J.-P. Using JMatPro to model materials properties and behavior. Jom 2003, 55, 60–65. [Google Scholar] [CrossRef]
- Salunkhe, S.; Fabijanic, D.; Nayak, J.; Hodgson, P. Effect of single and double austenitization treatments on the microstructure and hardness of AISI D2 tool steel. Mater. Today Proc. 2015, 2, 1901–1906. [Google Scholar] [CrossRef]
- Hall, E. The deformation and ageing of mild steel: III discussion of results. Proc. Phys. Soc. Sect. B 1951, 64, 747. [Google Scholar] [CrossRef]
- McClung, R. A literature survey on the stability and significance of residual stresses during fatigue. Fatigue Fract. Eng. Mater. Struct. 2007, 30, 173–205. [Google Scholar] [CrossRef]
- Xiao, G.; Chen, B.; Li, S.; Zhuo, X. Fatigue life analysis of aero-engine blades for abrasive belt grinding considering residual stress. Eng. Fail. Anal. 2022, 131, 105846. [Google Scholar] [CrossRef]
- Aknouche, H.; Outahyon, A.; Nouveau, C.; Marchal, R.; Zerizer, A.; Butaud, J.-C. Tool wear effect on cutting forces: In routing process of Aleppo pine wood. J. Mater. Process. Technol. 2009, 209, 2918–2922. [Google Scholar] [CrossRef][Green Version]
- Randelius, M. Influence of Microstructure on Fatigue and Ductility Properties of Tool Steels. Ph.D. Thesis, KTH Royal Institute of Technology, Stockholm, Sweden, 2008. [Google Scholar]
- Heydari, A.; Zarei-Hanzaki, A.; Mahmoudi, M.; Moshiri, A.; Jaskari, M.; Karjalainen, L.; Balanian, H.; Abedi, H. Small crack growth behavior and correlated microstructure-sensitivity during cyclic deformation of a high-chromium/carbon wrought tool steel. Mater. Sci. Eng. A 2024, 905, 146650. [Google Scholar] [CrossRef]
- Ali, M.; Porter, D.; Kömi, J.; Eissa, M.; Mattar, T. The effect of double austenitization and quenching on the microstructure and mechanical properties of CrNiMoWMnV ultrahigh-strength steels after low-temperature tempering. Mater. Sci. Eng. A 2019, 763, 138169. [Google Scholar] [CrossRef]
- Nakanishi, D.; Kawabata, T.; Aihara, S. Brittle crack propagation resistance inside grain and at high angle grain boundary in 3% Si-Fe alloy. Acta Mater. 2018, 144, 768–776. [Google Scholar] [CrossRef]
- Qiao, Y.; Argon, A. Cleavage cracking resistance of high angle grain boundaries in Fe–3% Si alloy. Mech. Mater. 2003, 35, 313–331. [Google Scholar] [CrossRef]
- Hidalgo, J.; Vittorietti, M.; Farahani, H.; Vercruysse, F.; Petrov, R.; Sietsma, J. Influence of M23C6 carbides on the heterogeneous strain development in annealed 420 stainless steel. Acta Mater. 2020, 200, 74–90. [Google Scholar] [CrossRef]
- Hong, H.; Rho, B.; Nam, S.W. Correlation of the M23C6 precipitation morphology with grain boundary characteristics in austenitic stainless steel. Mater. Sci. Eng. A 2001, 318, 285–292. [Google Scholar] [CrossRef]
- Bhadeshia, H.; Honeycombe, R. Steels: Microstructure and Properties; Butterworth-Heinemann: Oxford, UK, 2017. [Google Scholar]
- Bouzakis, K.D.; Michailidis, N.; Skordaris, G.; Tsouknidas, A.; Makrimallakis, S.; Bouzakis, E. Grain size effect of pre-and post-coating treated cemented carbides on PVD films’ adhesion and mechanical properties. Mater. Und Werkst. 2013, 44, 697–703. [Google Scholar] [CrossRef]
- Chen, Y.; Zhang, L.; Zhu, J.-F.; Zhong, Z.-Q.; Gu, J.-H. Cohesive failure and film adhesion of PVD coating: Cemented carbide substrate phase effect and its micro-mechanism. Int. J. Refract. Met. Hard Mater. 2023, 111, 106066. [Google Scholar] [CrossRef]
- Rezende, A.; Fonseca, S.; Minicucci, D.; Fernandes, F.; Farina, P.; Mei, P. Residual Stress Characterization by X-Ray Diffraction and Correlation with Hardness in a Class D Railroad Wheel. J. Mater. Eng. Perform. 2020, 29, 6223–6227. [Google Scholar] [CrossRef]
- Pyun, Y.-S.; Kim, H.; Son, K.; Song, G.; Kim, M.; Kang, J.; Choi, B.; Park, J.; Park, J.; Cho, I. Development of D2 tool Steel trimming knives with nanoscale microstructure. Aistech Conf. Proc. Assoc. Iron Steel Technol. 2005, 2, 465. [Google Scholar]
- Xu, G.; Luo, K.; Dai, F.; Lu, J. Effects of scanning path and overlapping rate on residual stress of 316L stainless steel blade subjected to massive laser shock peening treatment with square spots. Appl. Surf. Sci. 2019, 481, 1053–1063. [Google Scholar] [CrossRef]
- Lille, H.; Ryabchikov, A.; Peetsalu, P.; Lind, L.; Sergejev, F.; Mikli, V.; Kübarsepp, J. Residual stresses on various PVD hard coatings on tube and plate substrates. Coatings 2020, 10, 1054. [Google Scholar] [CrossRef]
- Qiu, L.; Zhu, X.; Xu, K. Internal stress on adhesion of hard coatings synthesized by multi-arc ion plating. Surf. Coat. Technol. 2017, 332, 267–274. [Google Scholar] [CrossRef]














| Element | C | Si | Cr | Mn | Mo | Ni | Fe |
|---|---|---|---|---|---|---|---|
| Wt. % | 0.40 | 0.80 | 8.00 | 0.40 | 1.20 | 0.14 | Bal. |
Disclaimer/Publisher’s Note: The statements, opinions and data contained in all publications are solely those of the individual author(s) and contributor(s) and not of MDPI and/or the editor(s). MDPI and/or the editor(s) disclaim responsibility for any injury to people or property resulting from any ideas, methods, instructions or products referred to in the content. |
© 2024 by the authors. Licensee MDPI, Basel, Switzerland. This article is an open access article distributed under the terms and conditions of the Creative Commons Attribution (CC BY) license (https://creativecommons.org/licenses/by/4.0/).
Share and Cite
Meddas, H.S.; Zorgani, M.; Heidari, M.; Javidani, M.; Levasseur, T.; Jahazi, M. Enhanced Durability of Wood Cutting Tools through Thermal Cycling. Materials 2024, 17, 5051. https://doi.org/10.3390/ma17205051
Meddas HS, Zorgani M, Heidari M, Javidani M, Levasseur T, Jahazi M. Enhanced Durability of Wood Cutting Tools through Thermal Cycling. Materials. 2024; 17(20):5051. https://doi.org/10.3390/ma17205051
Chicago/Turabian StyleMeddas, Hamza Sofiane, Muftah Zorgani, Majid Heidari, Mousa Javidani, Tom Levasseur, and Mohammad Jahazi. 2024. "Enhanced Durability of Wood Cutting Tools through Thermal Cycling" Materials 17, no. 20: 5051. https://doi.org/10.3390/ma17205051
APA StyleMeddas, H. S., Zorgani, M., Heidari, M., Javidani, M., Levasseur, T., & Jahazi, M. (2024). Enhanced Durability of Wood Cutting Tools through Thermal Cycling. Materials, 17(20), 5051. https://doi.org/10.3390/ma17205051

