Post-Buckling Response of Carbon/Epoxy Laminates with Delamination under Quasi-Static Compression: Experiments and Numerical Simulations
Abstract
1. Introduction
2. Research Object
3. Experiment
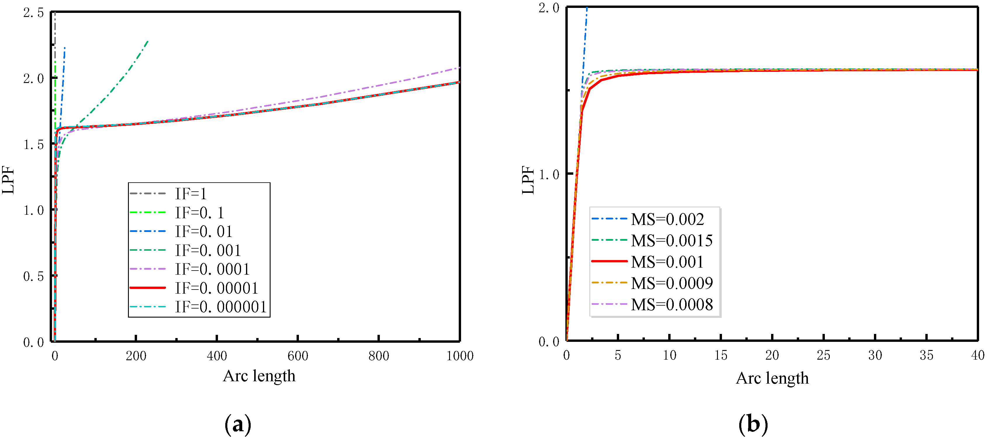
4. Finite Element Analysis
5. Results and Discussion
5.1. Experimental and FEM Results
5.2. Post-Buckling Deformation Mode
5.3. Influence of Delamination Size
6. Conclusions
- Effect of delamination size on structural stability: As the delamination length and depth increased, the overall stiffness of the laminated specimens decreased, leading to a reduction in the post-buckling load-bearing capacity. As a result, the structural stability decreased, making the structure more prone to instability.
- Post-buckling deformation mode: The post-buckling deformation of laminated composite specimens with delamination under in-plane compressive loads exhibited a globally consistent half-wave deformation mode. This is the primary deformation mode triggered in the structure, and the experimental results confirmed this observation.
- Structural instability in post-buckling: By comparing the results, it was observed that the load-bearing capacity of delaminated specimens does not continuously increase during the post-buckling stage. Instead, after reaching the maximum load, the post-buckling load curve shows a slight decline, indicating a transition to another equilibrium path.
- Effect of delamination on load transition: The transition in load values during the post-buckling stage varied with different delamination configurations. Specimens with smaller delamination exhibited minimal load changes after transition, while those with larger delamination showed a more pronounced downward trend in the load curve, which was likely due to the reduction in bending stiffness.
- Post-buckling path and failure: After the initial transition, all specimens maintained a smooth post-buckling path. This trend suggests that delaminated laminated structures possess a certain load-bearing capacity during the post-buckling stage, sustaining it until failure occurs.
7. The Outlook
Author Contributions
Funding
Institutional Review Board Statement
Informed Consent Statement
Data Availability Statement
Conflicts of Interest
Nomenclature
| L | Total length of specimen (mm) | MS | Mesh size |
| a | Effective length of specimen (mm) | IF | Imperfection factor |
| b | Width of specimen (mm) | LPF | Load proportionality factor |
| h | Total thickness of specimen (mm) | E | Specimen for experiment |
| θ | Laying angle of specimen (mm) | F | Specimen for simulation |
| h0 | Thickness of single-layer prepreg (mm) | S4R | Four-node reduced integration shell element |
| L2 | Delamination length (mm) | Px | In-plane compressive load (N) |
| h2 | Delamination depth (mm) | Pcr | Critical buckling load (N) |
| w | Maximum deflection of specimen (mm) | P2i | Second-order load increment during post-buckling stage |
| Pmax | Maximum load of post-buckling stage (N) | Pep | Equilibrium path load of post-buckling stage (N) |
Appendix A
References
- Goyal, V.K.; Pennington, A. FEA-based failure analysis of post-buckled composite multi-hat stiffened panel under static compression. In Proceedings of the American Society for Composites (ASC) 37th Annual Technical Conference, Tucson, AZ, USA, 19–21 September 2022. [Google Scholar]
- Huang, T.; Bobyr, M. A review of delamination damage of composite materials. J. Compos. Sci. 2023, 7, 468. [Google Scholar] [CrossRef]
- Lu, T.Y.; Shen, H.S.; Wang, H.; Chen, X.H.; Feng, M.L. Nonlinear bending and thermal postbuckling of thermoplastic composite laminated plates under temperature variation. Thin-Walled Struct. 2023, 183, 110322. [Google Scholar] [CrossRef]
- Lu, T.Y.; Shen, H.S.; Wang, H.; Chen, X.H. Compression-after-impact effect on postbuckling behavior of thermoplastic composite laminated plates. Aerosp. Sci. Technol. 2022, 121, 107384. [Google Scholar] [CrossRef]
- Lal, A.; Markad, K. Thermo-mechanical post buckling analysis of multiwall carbon nanotube-reinforced composite laminated beam under elastic foundation. Curved Layer. Struct. 2019, 6, 212–228. [Google Scholar] [CrossRef]
- Gao, Y.; Zhu, S.Y.; Ding, H.M.; Song, X.W.; Hu, H.Y.; Wang, H.; Ke, Y.L. Thickness variation effect on compressive properties of ultra-thick CFRP laminates. Int. J. Mech. Sci. 2023, 253, 108390. [Google Scholar] [CrossRef]
- Mitrofanov, O.; Shkurin, M. Design of load-bearing anisotropic wing box panels ensuring static strength in the post buckling state. Aerosp. Syst. 2023, 6, 79–84. [Google Scholar] [CrossRef]
- Chan, D.Q.; Nguyen, P.D.; Quang, V.D.; Anh, V.T.; Duc, N.D. Nonlinear buckling and post buckling of functionally graded CNTs reinforced composite truncated conical shells subjected to axial load. Steel Compos. Struct. 2019, 31, 243–259. [Google Scholar]
- Chen, L.M.; Peng, S.W.; Liu, J.; Liu, H.C.; Chen, L.L.; Du, B.; Li, W.G.; Fang, D.N. Compressive response of multi-layered thermoplastic composite corrugated sandwich panels: Modelling and experiments. Compos. Part B Eng. 2020, 189, 107899. [Google Scholar] [CrossRef]
- Bouslama, N.; Maslouhi, A.; Masson, P. Experimental and numerical investigation of damage evolution in carbon fiber reinforced polymer stiffened panel in post buckling regime. J. Compos. Mater. 2022, 56, 2455–2470. [Google Scholar] [CrossRef]
- Cheng, P.; Peng, Y.; Wang, K.; Wang, Y.Q. Mechanical performance and damage behavior of delaminated composite laminates subject to different modes of loading. J. Braz. Soc. Mech. Sci. Eng. 2021, 43, 455. [Google Scholar] [CrossRef]
- Li, Y.L.; Wang, B.; Zhou, L. Study on the effect of delamination defects on the mechanical properties of CFRP composites. Eng. Fail. Anal. 2023, 153, 107576. [Google Scholar] [CrossRef]
- Kopparthi, P.K.; Gemaraju, S.; Pathakokila, B.R.; Gamini, S. Failure analysis of delaminated carbon/epoxy composite under pure bending: Validation with numerical analysis. Multidiscip. Model. Mater. Struct. 2021, 17, 974–989. [Google Scholar] [CrossRef]
- Kopparthi, P.K.; Aerra KK, Y.; Pathakokila, B.R.; Gamini, S. Bending and viscoelastic behaviour of delaminated woven E-glass/epoxy composite. Aust. J. Mech. Eng. 2022, 20, 1300–1309. [Google Scholar] [CrossRef]
- Bulut, M.; Alsaadi, M.; Erkliğ, A. Effect of olive pomace particles content on mode I and mode II delamination fracture of S-glass fiber reinforced composites. Polym. Compos. 2022, 43, 1157–1167. [Google Scholar] [CrossRef]
- Cai, Y.; An, X.Z.; Zou, Q.C.; Fu, H.T.; Yang, X.H.; Zhang, H. Mechanical properties and failure mechanisms of composite laminates with classical fabric stacking patterns. J. Mater. Sci. 2021, 56, 11814–11827. [Google Scholar] [CrossRef]
- Bahrami, M.; Malakouti, M.; Farrokhabadi, A. Anticipating the induced delamination formation in composite laminates subjected to bending loads. Fatigue Fract. Eng. Mater. Struct. 2021, 44, 3108–3120. [Google Scholar] [CrossRef]
- Riccio, A.; Castaldo, R.; Palumbo, C.; Russo, A. Delamination Effect on the Buckling Behaviour of Carbon–Epoxy Composite Typical Aeronautical Panels. Appl. Sci. 2023, 13, 4358. [Google Scholar] [CrossRef]
- Nagendranath, A.; Khalane, S.A.; Gupta, R.K.; Rao, C.L. Delamination Buckling of Composite Conical Shells Under External Pressure. Def. Sci. J. 2023, 73, 487–495. [Google Scholar] [CrossRef]
- Wang, H.X.; Wu, Y.H.; Zhang, Y.; Zhang, X.H. Influence of the temperature-dependent characteristics of CFRP mechanical properties on the critical axial force of drilling delamination. Polymers 2023, 15, 680. [Google Scholar] [CrossRef]
- Nikrad, S.F.; Chen, Z.T.; Akbarzadeh, A.H. Nonlinear thermal postbuckling of functionally graded graphene-reinforced composite laminated plates with circular or elliptical delamination. Acta Mech. 2023, 234, 5999–6039. [Google Scholar] [CrossRef]
- Aslan, Z.; Şahin, M. Buckling behavior and compressive failure of composite laminates containing multiple large delaminations. Compos. Struct. 2009, 89, 382–390. [Google Scholar] [CrossRef]
- Hu, C.X.; Bai, Y.J.; Xu, Z.H.; Qiu, J.Z.; Wang, R.G.; He, X.D. Progressive damage behavior of composite L-stiffened structures with initial delamination defects under uniaxial compression: Experimental and numerical investigations. Polym. Compos. 2022, 43, 3765–3781. [Google Scholar] [CrossRef]
- Mekonnen, A.A.; Woo, K.; Kang, M.; Kim, I.G. Effects of size and location of initial delamination on post buckling and delamination propagation behavior of laminated composites. Int. J. Aeronaut. Space Sci. 2020, 21, 80–94. [Google Scholar] [CrossRef]
- Mekonnen, A.A.; Woo, K.; Kang, M.; Kim, I.G. Post buckling and delamination propagation behavior of composite laminates with embedded delamination. J. Mech. Sci. Technol. 2020, 34, 1099–1110. [Google Scholar] [CrossRef]
- Li, H.H.; Yao, Y.T.; Guo, L.Y.; Zhang, Q.H.; Wang, B. The effects of delamination deficiencies on compressive mechanical properties of reinforced composite skin structures. Compos. Part B Eng. 2018, 155, 138–147. [Google Scholar] [CrossRef]
- Köllner, A.; Wadee, M.A. A novel discrete coordinate approach to modelling nonlinear structural instability problems with material damage. Eur. J. Mech. ASolids 2022, 96, 104748. [Google Scholar] [CrossRef]
- Köllner, A.; Kashtalyan, M.; Guz, I.; Völlmecke, C. On the interaction of delamination buckling and damage growth in cross-ply laminates. Int. J. Solids Struct. 2020, 202, 912–928. [Google Scholar] [CrossRef]
- Muc, A. Buckling of composite structures with delaminations—Laminates and functionally graded materials. Appl. Sci. 2022, 12, 11408. [Google Scholar] [CrossRef]
- Kosztowny CJ, R.; Waas, A.M. Postbuckling response of unitized stiffened textile composite panels: Experiments. Int. J. Non-Linear Mech. 2021, 137, 103814. [Google Scholar] [CrossRef]
- Kosztowny CJ, R.; Waas, A.M. Postbuckling response of unitized stiffened textile composite panels: Computational modeling. Int. J. Non-Linear Mech. 2021, 137, 103815. [Google Scholar] [CrossRef]
- Shabanijafroudi, N.; Ganesan, R. A new methodology for buckling, postbuckling and delamination growth behavior of composite laminates with delamination. Compos. Struct. 2021, 268, 113951. [Google Scholar] [CrossRef]
- Ameri, B.; Moradi, M.; Mohammadi, B.; Salimimajd, D. Investigation of nonlinear post buckling delamination in curved laminated composite panels via cohesive zone model. Thin-Walled Struct. 2020, 154, 106797. [Google Scholar] [CrossRef]
- Calvo, J.V.; Feito, N.; Miguélez, M.H.; Giner, E. Modeling the delamination failure under compressive loads in CFRP laminates based on digital image correlation analysis. Compos. Struct. 2022, 287, 115265. [Google Scholar] [CrossRef]
- Xia, F.; Jian, F.; Zhu, Z.; Li, P.; Liang, H.; Jin, F.; Xue, J. A modified first order shear deformation theory for Reissner-Mindlin composite panels with internal delamination. Compos. Struct. 2019, 224, 110935. [Google Scholar] [CrossRef]
- Xue, J.; Jin, F.; Zhang, J.; Li, P.; Xia, F.; Xu, J.; Liu, R.; Yuan, H. Post buckling induced delamination propagation of composite laminates with bi-nonlinear properties and anti-penetrating interaction effects. Compos. Part B Eng. 2019, 166, 148–161. [Google Scholar] [CrossRef]











| No. | Laminate Specimen | Delamination | ||
|---|---|---|---|---|
| Width b (mm) | Thickness h (mm) | Length L2 (mm) | Depth h2 (mm) | |
| E00 (F00) | 19.95/19.92/19.87 | 2.47/2.48/2.52 | 0 | 0 |
| E43 (F43) | 19.97/19.97/19.94 | 2.54/2.47/2.57 | 40 | 0.42 |
| E83 (F83) | 19.81/19.88/19.90 | 2.53/2.55/2.48 | 80 | 0.42 |
| E123 (F123) | 20.06/20.07/20.08 | 2.55/2.53/2.51 | 120 | 0.42 |
| E86 (F86) | 20.17/20.20/19.96 | 2.56/2.53/2.72 | 80 | 0.83 |
| E89 (F89) | 20.00/20.04/19.99 | 2.50/2.55/2.51 | 80 | 1.25 |
| FEM (F) | 20 | 2.484 | - | - |
| No. | E43 | E83 | E123 | E86 | E89 |
|---|---|---|---|---|---|
| Pmax (N) | 3154 | 2910 | 3026 | 2616 | 2464 |
| Pep (N) | - | 2880 | 2635 | 2613 | 2058 |
Disclaimer/Publisher’s Note: The statements, opinions and data contained in all publications are solely those of the individual author(s) and contributor(s) and not of MDPI and/or the editor(s). MDPI and/or the editor(s) disclaim responsibility for any injury to people or property resulting from any ideas, methods, instructions or products referred to in the content. |
© 2024 by the authors. Licensee MDPI, Basel, Switzerland. This article is an open access article distributed under the terms and conditions of the Creative Commons Attribution (CC BY) license (https://creativecommons.org/licenses/by/4.0/).
Share and Cite
Xia, F.; Wang, Z.; Wang, Y.; Liu, H.; Xue, J. Post-Buckling Response of Carbon/Epoxy Laminates with Delamination under Quasi-Static Compression: Experiments and Numerical Simulations. Materials 2024, 17, 5047. https://doi.org/10.3390/ma17205047
Xia F, Wang Z, Wang Y, Liu H, Xue J. Post-Buckling Response of Carbon/Epoxy Laminates with Delamination under Quasi-Static Compression: Experiments and Numerical Simulations. Materials. 2024; 17(20):5047. https://doi.org/10.3390/ma17205047
Chicago/Turabian StyleXia, Fei, Zikun Wang, Yi Wang, Heqing Liu, and Jianghong Xue. 2024. "Post-Buckling Response of Carbon/Epoxy Laminates with Delamination under Quasi-Static Compression: Experiments and Numerical Simulations" Materials 17, no. 20: 5047. https://doi.org/10.3390/ma17205047
APA StyleXia, F., Wang, Z., Wang, Y., Liu, H., & Xue, J. (2024). Post-Buckling Response of Carbon/Epoxy Laminates with Delamination under Quasi-Static Compression: Experiments and Numerical Simulations. Materials, 17(20), 5047. https://doi.org/10.3390/ma17205047
