Separation of Macro- and Micro-Texture to Characterize Skid Resistance of Asphalt Pavement
Abstract
1. Introduction
2. Research Objectives
- (1)
- To identify and replace the outliers using the generalized extreme studentized deviate (GESD) and neighboring-region interpolation algorithm (NRIA).
- (2)
- To suppress noise in the pavement textures data and reconstruct the road texture through the median filter.
- (3)
- To separate the macro- and micro-texture in asphalt pavement according to their corresponding frequency.
- (4)
- To establish the relationship between the characteristics of the macro- and micro-texture and the skid resistance.
3. Materials and Methods
3.1. Raw Materials
3.2. Data Collection and Processing
3.2.1. Outlier Processing
3.2.2. Filter Denoising
| 1/9 | 1/9 | 1/9 |
| 1/9 | 1/9 | 1/9 |
| 1/9 | 1/9 | 1/9 |
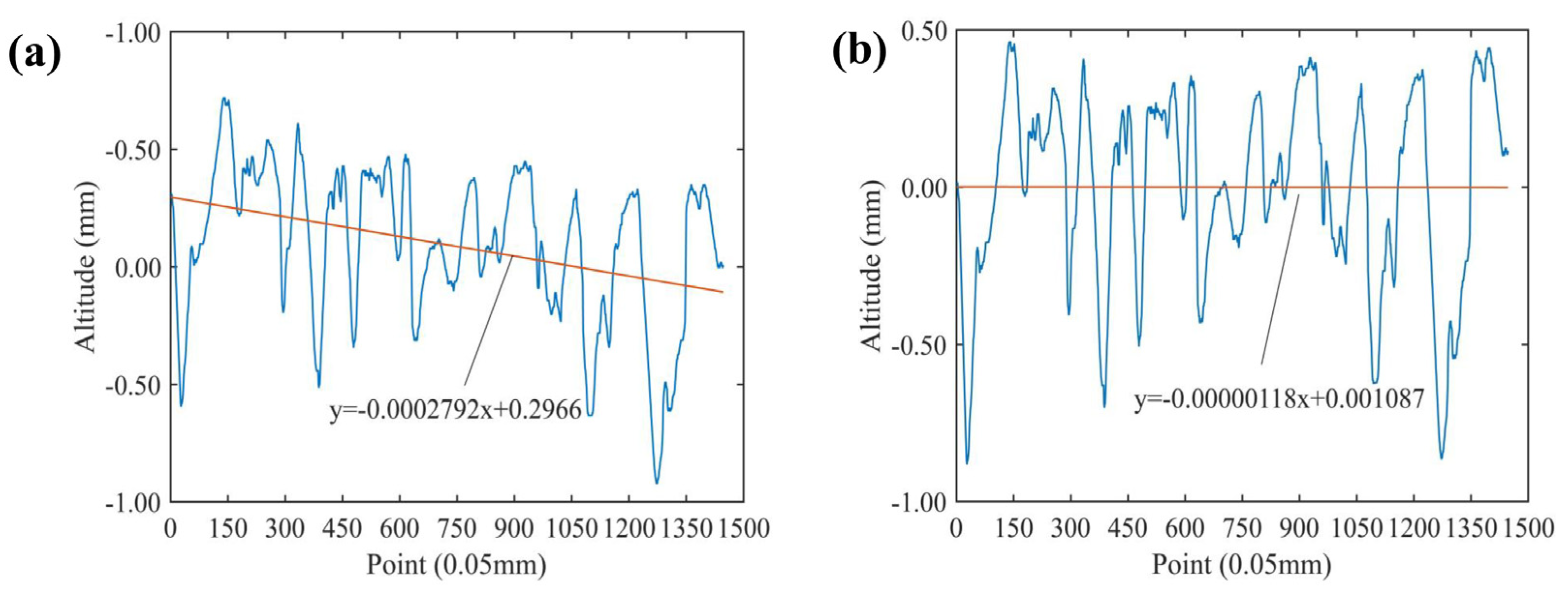
3.2.3. Tilt Correction
3.3. Separation of Macro- and Micro-Texture
3.3.1. Separation Details
3.3.2. Pavement Texture Indexes
4. Results and Discussion
4.1. Macroscopic Texture Features and Skid Resistance Analysis
4.1.1. Height Characteristic Parameters
4.1.2. Protrusion Shape Feature Parameters
4.1.3. Comprehensive Distribution Characteristic Parameters
4.2. Microscopic Texture Features and Skid Resistance Analysis
4.2.1. Height Characteristic Parameters
4.2.2. Shape Feature Parameters of Textured Protrusions
4.2.3. Comprehensive Distribution Characteristic Parameters
4.3. Fractal Dimension of Asphalt Pavement and Skid Resistance Analysis
5. Conclusions and Recommendations
- (1)
- The median and parametric methods will identify part of the pavement texture profile as outliers, and the GESD method can more accurately identify outliers in the pavement texture.
- (2)
- The signal after wavelet threshold denoising can retain most of the original signal features, but there are still some glitches in the denoised signal. The mean filter and median filter can both eliminate glitch points, and the median filter is in the middle of the wavelet threshold denoising and the mean filter methods, which is close to the original signal.
- (3)
- The Monte Carlo expectation method can exactly calculate the MDT of reconstructed pavement, and the 98% and 2% parametric points of overall data as upper and lower limits of the Monte Carlo projection area is performed to obtain the MDT after the selection of the upper and lower limits.
- (4)
- The height of the macro-texture is greater and sharper protruding peaks appear to enhance the skid resistance of the pavement as the maximum nominal particle size increases or the asphalt mixture changes from dense gradation to open gradation.
- (5)
- The larger maximum nominal particle size of the asphalt mixture enriches the aggregate surface structure, reduces the amount of fine aggregate and asphalt, and increases the height and sharpness of the micro-texture of the pavement, which leads to an improved skid resistance of the pavement. The elevation distribution of the micro-texture has little effect on the skid resistance of the pavement.
Author Contributions
Funding
Institutional Review Board Statement
Informed Consent Statement
Data Availability Statement
Conflicts of Interest
References
- Wang, Y.; Yang, Z.; Liu, Y.; Sun, L. The characterisation of three-dimensional texture morphology of pavement for describing pavement sliding resistance. Road Mater. Pavement Des. 2019, 20, 1076–1095. [Google Scholar] [CrossRef]
- Guo, W.; Chu, L.; Yang, L.; Fwa, T. Determination of tire rubber-pavement directional coefficient of friction based on contact mechanism considerations. Tribol. Int. 2023, 179, 108178. [Google Scholar] [CrossRef]
- Li, J.; Chen, Z.; Xiao, F.; Amirkhanian, S.N. Surface activation of scrap tire crumb rubber to improve compatibility of rubberized asphalt. Resour. Conserv. Recycl. 2021, 169, 105518. [Google Scholar] [CrossRef]
- Rosenkranz, A.; Costa, H.L.; Baykara, M.Z.; Martini, A. Synergetic effects of surface texturing and solid lubricants to tailor friction and wear—A review. Tribol. Int. 2021, 155, 106792. [Google Scholar] [CrossRef]
- Magnus, C.; Gulenc, I.T.; Rainforth, W. Ambient dry sliding friction and wear behaviour of laser surface textured (lst) ti3sic2 max phase composite against hardened steel and alumina. Wear 2022, 490, 204184. [Google Scholar] [CrossRef]
- Wang, H.-P.; Zhang, M.-Q.; Sun, R.-X.; Cui, S.-J.; Mo, J.-L. Performance improvement strategy of the tbm disc cutter ring material and evaluation of impact-sliding friction and wear performance. Wear 2023, 526, 204943. [Google Scholar] [CrossRef]
- Haritonovs, V.; Tihonovs, J. Use of unconventional aggregates in hot mix asphalt concrete. Balt. J. Road Bridge Eng. 2014, 9, 276–282. [Google Scholar] [CrossRef]
- Xu, Y.; Yang, R.; Chen, P.; Ge, J.; Liu, J.; Xie, H. Experimental study on energy and failure characteristics of rubber-cement composite short-column under cyclic loading. Case Stud. Constr. Mater. 2022, 16, e00885. [Google Scholar] [CrossRef]
- Kogbara, R.B.; Masad, E.A.; Kassem, E.; Scarpas, A.T.; Anupam, K. A state-of-the-art review of parameters influencing measurement and modeling of skid resistance of asphalt pavements. Constr. Build. Mater. 2016, 114, 602–617. [Google Scholar] [CrossRef]
- Yang, G.; Wang, K.C.; Li, J.Q. Multiresolution analysis of three-dimensional (3d) surface texture for asphalt pavement friction estimation. Int. J. Pavement Eng. 2021, 22, 1882–1891. [Google Scholar] [CrossRef]
- Du, Y.; Weng, Z.; Li, F.; Ablat, G.; Wu, D.; Liu, C. A novel approach for pavement texture characterisation using 2d-wavelet decomposition. Int. J. Pavement Eng. 2022, 23, 1851–1866. [Google Scholar] [CrossRef]
- Jahanshahi, M.R.; Jazizadeh, F.; Masri, S.F.; Becerik-Gerber, B. Unsupervised approach for autonomous pavement-defect detection and quantification using an inexpensive depth sensor. J. Comput. Civ. Eng. 2013, 27, 743–754. [Google Scholar] [CrossRef]
- Puzzo, L.; Loprencipe, G.; Tozzo, C.; D’andrea, A. Three-dimensional survey method of pavement texture using photographic equipment. Measurement 2017, 111, 146–157. [Google Scholar] [CrossRef]
- Moldovanu, A.; Huang, L. Development of a portable circular texture meter for road texture depth measurement. J. Transp. Eng. Part B Pavements 2018, 144, 04018026. [Google Scholar] [CrossRef]
- Hoang, N.-D.; Nguyen, Q.-L. A novel method for asphalt pavement crack classification based on image processing and machine learning. Eng. Comput. 2019, 35, 487–498. [Google Scholar] [CrossRef]
- Alhasan, A.; Smadi, O.; Bou-Saab, G.; Hernandez, N.; Cochran, E. Pavement friction modeling using texture measurements and pendulum skid tester. Transp. Res. Rec. 2018, 2672, 440–451. [Google Scholar] [CrossRef]
- Hofko, B.; Kugler, H.; Chankov, G.; Spielhofer, R. A laboratory procedure for predicting skid and polishing resistance of road surfaces. Int. J. Pavement Eng. 2019, 20, 439–447. [Google Scholar] [CrossRef]
- Li, Q.J.; Zhan, Y.; Yang, G.; Wang, K.C. Pavement skid resistance as a function of pavement surface and aggregate texture properties. Int. J. Pavement Eng. 2020, 21, 1159–1169. [Google Scholar] [CrossRef]
- Plati, C.; Pomoni, M.; Georgouli, K. Quantification of skid resistance seasonal variation in asphalt pavements. J. Traffic Transp. Eng. 2020, 7, 237–248. [Google Scholar] [CrossRef]
- Wang, D.; Zhang, Z.; Kollmann, J.; Oeser, M. Development of aggregate micro-texture during polishing and correlation with skid resistance. Int. J. Pavement Eng. 2020, 21, 629–641. [Google Scholar] [CrossRef]
- ASTM D70; Standard Test Method for Density of Semi-Solid Asphalt Binder (Pycnometer Method). ASTM: Washington, DC, USA, 2021.
- ASTM D113-99; Standard Test Method for Ductility of Bituminous Materials. ASTM: Washington, DC, USA, 2010.
- ASTM D4402; Standard Test Method for Viscosity Determination of Asphalt at Elevated Temperatures Using a Rotational Viscometer. ASTM: Washington, DC, USA, 2012.
- ASTM D36-95; Standard Test Method for Softening Point of Bitumen (Ring-and-Ball Apparatus). ASTM: Washington, DC, USA, 2017.
- ASTM D5-97; Standard Test Method for Penetration of Bituminous Materials. ASTM: Washington, DC, USA, 2017.
- ASTM D6373; Standard Specification for Performance-Graded Asphalt Binder. ASTM: Washington, DC, USA, 2015.
- Zhou, B.; Chu, L.; Yin, C.; Fwa, T. Improved laboratory laser scanning setup and test procedure for 3-d pavement texture measurement. Measurement 2022, 196, 111168. [Google Scholar] [CrossRef]
- Zou, Y.; Yang, G.; Cao, M. Neural network-based prediction of sideway force coefficient for asphalt pavement using high-resolution 3d texture data. Int. J. Pavement Eng. 2022, 23, 3157–3166. [Google Scholar] [CrossRef]
- Ding, S.; Yang, E.; Wang, K.C.; Wang, G. Texture measurement based on 3d pavement surface images at sub-mm resolutioned. In Proceedings of the International Conference on Transportation and Development: Airfield and Highway Pavements, Pittsburgh, PA, USA, 15–18 July 2018; pp. 392–400. [Google Scholar]
- Katicha, S.W.; Flintsch, G.; Bryce, J.; Ferne, B. Wavelet denoising of tsd deflection slope measurements for improved pavement structural evaluation. Comput.-Aided Civ. Infrastruct. Eng. 2014, 29, 399–415. [Google Scholar] [CrossRef]
- Atef, A.H.; Rashed, M.A. Gpr ringing suppression using lateral outliers’ swap filter. J. Appl. Geophys. 2023, 208, 104873. [Google Scholar] [CrossRef]
- Bashar, M.Z.; Torres-Machi, C. Deep learning for estimating pavement roughness using synthetic aperture radar data. Autom. Constr. 2022, 142, 104504. [Google Scholar] [CrossRef]
- Yuwono, B. Image smoothing menggunakan mean filtering, median filtering, modus filtering dan gaussian filtering. Telemat. J. Inform. Dan Teknol. Inf. 2015, 7. [Google Scholar] [CrossRef]
- Katicha, S.W.; Mogrovejo, D.E.; Flintsch, G.W.; De León Izeppi, E.D. Adaptive spike removal method for high-speed pavement macrotexture measurements by controlling the false discovery rate. Transp. Res. Rec. 2015, 2525, 100–110. [Google Scholar] [CrossRef]
- Deng, Q.; Zhan, Y.; Liu, C.; Qiu, Y.; Zhang, A. Multiscale power spectrum analysis of 3d surface texture for prediction of asphalt pavement friction. Constr. Build. Mater. 2021, 293, 123506. [Google Scholar] [CrossRef]
- Serigos, P.A.; De Fortier Smit, A.; Prozzi, J.A. Incorporating surface microtexture in the prediction of skid resistance of flexible pavements. Transp. Res. Rec. 2014, 2457, 105–113. [Google Scholar] [CrossRef]
- Chen, S.; Liu, X.; Luo, H.; Yu, J.; Chen, F.; Zhang, Y.; Ma, T.; Huang, X. A state-of-the-art review of asphalt pavement surface texture and its measurement techniques. J. Road Eng. 2022, 2, 156–180. [Google Scholar] [CrossRef]
- Kheradmandi, N.; Mehranfar, V. A critical review and comparative study on image segmentation-based techniques for pavement crack detection. Constr. Build. Mater. 2022, 321, 126162. [Google Scholar] [CrossRef]
- Barnett, R.; Reynolds, P.; Lester, W., Jr. Monte carlo algorithms for expectation values of coordinate operators. J. Comput. Phys. 1991, 96, 258–276. [Google Scholar] [CrossRef]
- Reiter, D. The monte carlo method, an introduction. Comput. Many-Part. Phys. 2008, 739, 63–78. [Google Scholar]
- China, S.; James, D.E. Comparison of laser-based and sand patch measurements of pavement surface macrotexture. J. Transp. Eng. 2012, 138, 176–181. [Google Scholar] [CrossRef]
- Dan, H.-C.; Bai, G.-W.; Zhu, Z.-H.; Liu, X.; Cao, W. An improved computation method for asphalt pavement texture depth based on multiocular vision 3d reconstruction technology. Constr. Build. Mater. 2022, 321, 126427. [Google Scholar] [CrossRef]
- Zhihong, M.; Guo, C.; Yanzhao, M.; Lee, K. Curvature estimation for meshes based on vertex normal triangles. Comput.-Aided Des. 2011, 43, 1561–1566. [Google Scholar] [CrossRef]
- Chen, L.; He, Z.-Y.; Chen, H.-B. Road performance research on cold recycled pavement base with foamed asphalt on the basis of fractal dimension. J. Highw. Transp. Res. Dev. 2016, 10, 8–12. [Google Scholar] [CrossRef]
- Moghaddam, R.F.; Cheriet, M. Adotsu: An adaptive and parameterless generalization of otsu’s method for document image binarization. Pattern Recognit. 2012, 45, 2419–2431. [Google Scholar] [CrossRef]
- Liu, C.; Zhan, Y.; Deng, Q.; Qiu, Y.; Zhang, A. An improved differential box counting method to measure fractal dimensions for pavement surface skid resistance evaluation. Measurement 2021, 178, 109376. [Google Scholar] [CrossRef]



















| Test Parameters | Value | Test Methods |
|---|---|---|
| Density, g/cm3 | 1.004 | ASTM D70 [21] |
| Ductility at 25 °C, cm | 88 | ASTM D113-99 [22] |
| Viscosity at 135 °C, Pa·s | 0.49 | ASTM D4402 [23] |
| Soften point (R&B), °C | 48.3 | ASTM D36-95 [24] |
| Penetration @ 25 °C, 0.1 mm | 56 | ASTM D5-97 [25] |
| PG grade | 64–22 | ASTM D6373 [26] |
| Sieve Hole Size/mm | AC | SMA | OGFC | |||||
|---|---|---|---|---|---|---|---|---|
| 16 | 13 | 10 | 16 | 13 | 10 | 13 | 10 | |
| 16 | 91 | 100 | 100 | 91 | 100 | 100 | 100 | 100 |
| 13.2 | 78 | 95 | 100 | 67 | 99 | 100 | 99 | 100 |
| 9.5 | 63 | 77 | 95 | 47 | 72 | 99 | 78 | 99 |
| 4.75 | 38 | 53 | 60 | 21 | 32 | 56 | 28 | 68 |
| 2.36 | 24 | 37 | 44 | 16 | 25 | 31 | 21 | 21 |
| 1.18 | 16 | 27 | 32 | 15 | 23 | 25 | 17 | 17 |
| 0.6 | 11 | 19 | 23 | 13 | 19 | 21 | 14 | 14 |
| 0.3 | 9 | 14 | 16 | 11 | 15 | 17 | 11 | 11 |
| 0.15 | 6 | 10 | 11 | 10 | 14 | 15 | 7 | 7 |
| 0.075 | 5 | 6 | 6 | 8 | 12 | 12 | 5 | 5 |
| Oil-stone ratio | 4.4 | 4.7 | 4.9 | 5.4 | 6.0 | 6.2 | 4.8 | 4.9 |
Disclaimer/Publisher’s Note: The statements, opinions and data contained in all publications are solely those of the individual author(s) and contributor(s) and not of MDPI and/or the editor(s). MDPI and/or the editor(s) disclaim responsibility for any injury to people or property resulting from any ideas, methods, instructions or products referred to in the content. |
© 2024 by the authors. Licensee MDPI, Basel, Switzerland. This article is an open access article distributed under the terms and conditions of the Creative Commons Attribution (CC BY) license (https://creativecommons.org/licenses/by/4.0/).
Share and Cite
Xie, T.; Yang, E.; Chen, Q.; Rao, J.; Zhang, H.; Qiu, Y. Separation of Macro- and Micro-Texture to Characterize Skid Resistance of Asphalt Pavement. Materials 2024, 17, 4961. https://doi.org/10.3390/ma17204961
Xie T, Yang E, Chen Q, Rao J, Zhang H, Qiu Y. Separation of Macro- and Micro-Texture to Characterize Skid Resistance of Asphalt Pavement. Materials. 2024; 17(20):4961. https://doi.org/10.3390/ma17204961
Chicago/Turabian StyleXie, Tao, Enhui Yang, Qiang Chen, Junying Rao, Haopeng Zhang, and Yanjun Qiu. 2024. "Separation of Macro- and Micro-Texture to Characterize Skid Resistance of Asphalt Pavement" Materials 17, no. 20: 4961. https://doi.org/10.3390/ma17204961
APA StyleXie, T., Yang, E., Chen, Q., Rao, J., Zhang, H., & Qiu, Y. (2024). Separation of Macro- and Micro-Texture to Characterize Skid Resistance of Asphalt Pavement. Materials, 17(20), 4961. https://doi.org/10.3390/ma17204961

