Effect of Eu Ions Concentration in Y2O3-Based Transparent Ceramics on the Electron Irradiation Induced Luminescence and Damage
Abstract
1. Introduction
2. Experimental
2.1. Materials Preparation
2.2. Characterizations
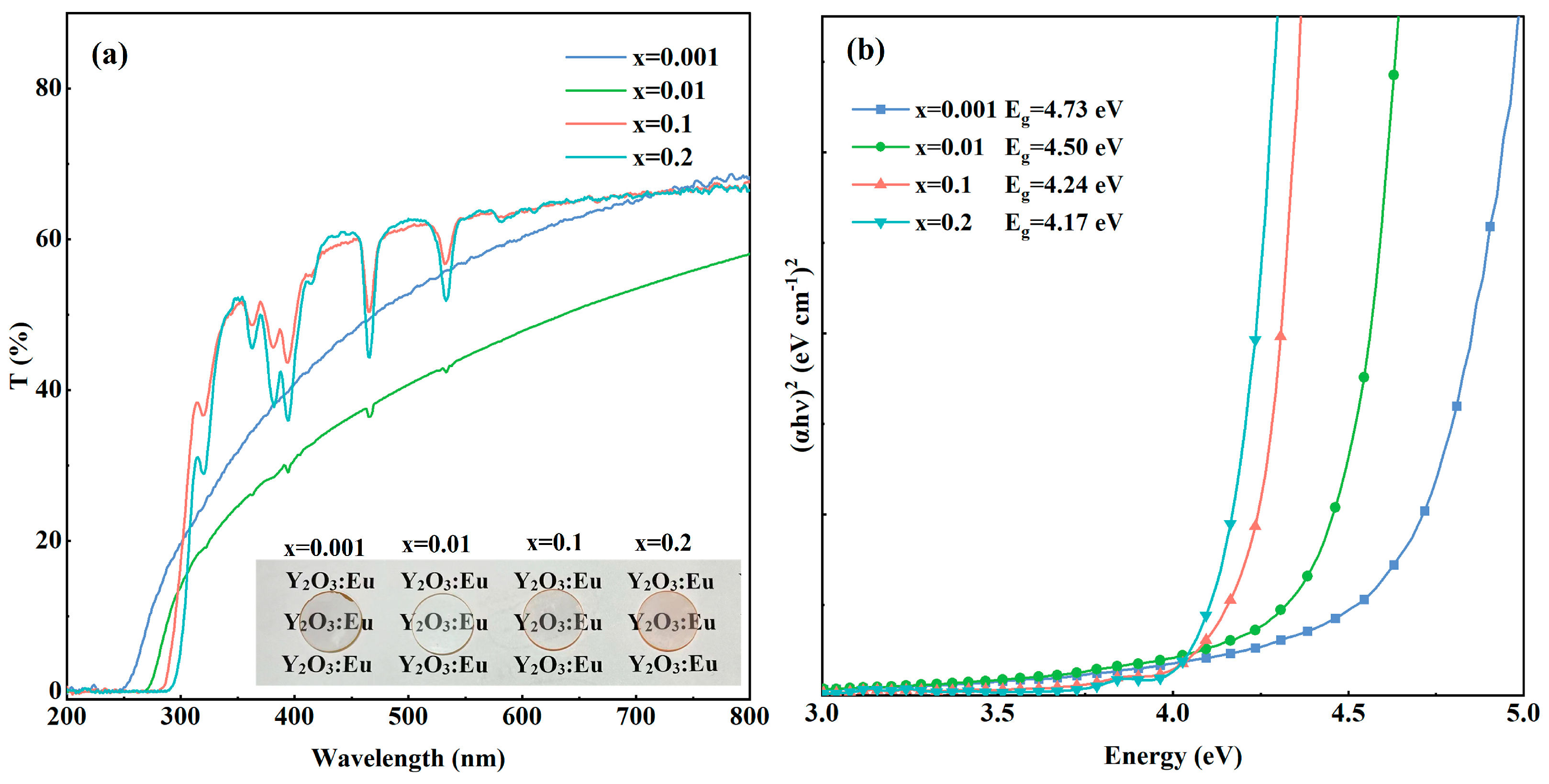
3. Results and Discussion
4. Conclusions
Author Contributions
Funding
Institutional Review Board Statement
Informed Consent Statement
Data Availability Statement
Conflicts of Interest
References
- Liu, X.; Zheng, J.; Xu, Z.; Du, W.; Zuo, Y.; Guo, H.; Jing, W.; Feng, H. X-ray induced coloration behavior of Lu2O3:Eu transparent ceramics and the impact of ZrO2 and HfO2 sintering additives. Opt. Mater. 2022, 131, 112641. [Google Scholar] [CrossRef]
- Mayrinck, C.D.; Santos, D.P.; Ribeiro, S.J.L.; Schiavon, M.A.; Ferrari, J.L. Reassessment of the potential applications of Eu3+-doped Y2O3 photoluminescent material in ceramic powder form. Ceram. Int. 2014, 40, 15965–15971. [Google Scholar] [CrossRef]
- Xu, H.; Yu, W.; Pan, K.; Wang, G.; Zhu, P. Confinement and antenna effect for ultrasmall Y2O3:Eu3+ nanocrystals supported by MOF with enhanced near-UV light absorption thereby enhanced luminescence and excellently multifunctional applications. Nano Res. 2021, 14, 720–729. [Google Scholar] [CrossRef]
- Prasanna Kumar, J.B.; Ramgopal, G.; Vidya, Y.S.; Anantharaju, K.S.; Daruka Prasad, B.; Sharma, S.C.; Prashantha, S.C.; Premkumar, H.B.; Nagabhushana, H. Bio-inspired synthesis of Y2O3:Eu3+ red nanophosphor for eco-friendly photocatalysis. Spectrochim. Acta Part A Mol. Biomol. Spectrosc. 2015, 141, 149–160. [Google Scholar] [CrossRef] [PubMed]
- Wang, J.; Yin, D.; Ma, J.; Liu, P.; Wang, Y.; Dong, Z.; Kong, L.B.; Tang, D. Pump laser induced photodarkening in ZrO2-doped Yb:Y2O3 laser ceramics. J. Eur. Ceram. Soc. 2019, 39, 635–640. [Google Scholar] [CrossRef]
- Zhidkov, I.; Kukharenko, A.; Maksimov, R.; Finkelstein, L.; Cholakh, S.; Osipov, V.; Kurmaev, E. Optical Transparency and Local Electronic Structure of Yb-Doped Y2O3 Ceramics with Tetravalent Additives. Symmetry 2019, 11, 243. [Google Scholar] [CrossRef]
- Ning, J.; Wang, D.; Luo, Z.L.; Dong, L.B.; Kong, D. Low-level sintering aids for highly transparent Yb:Y2O3 ceramics. J. Alloys Compd. 2017, 695, 1414–1419. [Google Scholar] [CrossRef]
- Basyrova, L.; Loiko, P.; Maksimov, R.; Shitov Serres, V.; Griebner, U.; Petrov, V.; Aguiló, M.; Díaz, F.; Mateos, X. Comparative study of Yb:Lu3Al5O12 and Yb:Lu2O3 laser ceramics produced from laser-ablated nanopowders. Ceram. Int. 2021, 47, 6633–6642. [Google Scholar] [CrossRef]
- Dong, L.; Ma, M.; Jing, W.; Xu, T.; Bin, K.; Guo, R. Synthesis of highly sinterable Yb:Lu2O3 nanopowders via spray co-precipitation for transparent ceramics. Ceram. Int. 2019, 45, 19554–19561. [Google Scholar] [CrossRef]
- García-Muñoz, M.; Jimenez-Rey, D.; García-Lopez, J.; Zurro, B.; Baciero, A.; Fahrbach, H.; McCarthy, K.J. Characterization of scintillator screens for suprathermal ion detection in fusion devices. J. Instrum. 2011, 6, P04002. [Google Scholar] [CrossRef]
- Weber, M.J. Inorganic scintillators: Today and tomorrow. J. Lumin. 2002, 100, 35–45. [Google Scholar] [CrossRef]
- Nikl, M.; Yoshikawa, A. Recent R&D Trends in Inorganic Single-Crystal Scintillator Materials for Radiation Detection. Adv. Opt. Mater. 2015, 3, 463–481. [Google Scholar] [CrossRef]
- Touš, J.; Blažek, K.; Pína, L.; Sopko, B. High-resolution imaging of biological and other objects with an X-ray digital camera. Appl. Radiat. Isot. 2010, 68, 651–653. [Google Scholar] [CrossRef] [PubMed]
- Liu, H.; Zhu, L.; Tan, X.; Xu, X.; Zhang, G.; Jian, Y.; Dai, M.; Chen, J.; Lin, H. Fabrication and properties of highly transparent Er2O3 ceramics with ZrO2 additive by vacuum sintering. Ceram. Int. 2023, 49, 16494–16498. [Google Scholar] [CrossRef]
- Li, X.; Mao, X.; Feng, M.; Xie, J.; Jiang, B.; Zhang, L. Optical absorption and mechanism of vacuum-sintered ZrO2-doped Y2O3 ceramics. J. Eur. Ceram. Soc. 2016, 36, 4181–4184. [Google Scholar] [CrossRef]
- Huang, S.; Li, Q.; Wang, Z.; Cheng, X.; Wen, H. Effect of sintering aids on the microstructure and oxidation behavior of hot-pressed zirconium silicate ceramic. Ceram. Int. 2017, 43, 875–879. [Google Scholar] [CrossRef]
- Balabanov, S.; Permin, D.; Evstropov, T.; Andreev, P.; Basyrova, L.; Camy, P.; Baranov, M.; Mateos, X.; Loiko, P. Hot pressing of Yb:Y2O3 laser ceramics with LiF sintering aid. Opt. Mater. 2021, 119, 111349. [Google Scholar] [CrossRef]
- Lee, J.; Kim, B.; Jang, B. Non-uniform sintering behavior during spark plasma sintering of Y2O3. Ceram. Int. 2020, 46, 4030–4034. [Google Scholar] [CrossRef]
- Fan, L.; Jiang, M.; Lin, D.; Zhou, D.; Shi, Y.; Wu, Y.; Yao, H.; Xu, F.; Xie, J.; Lei, F.; et al. Densification of cerium-doped lutetium oxyorthosilicate scintillation ceramics by hot isostatic pressing. J. Alloys Compd. 2017, 720, 61–168. [Google Scholar] [CrossRef]
- Wang, J.; Ma, J.; Zhang, J.; Liu, P.; Luo, D.; Yin, D.; Tang, D.; Kong, L. Yb:Y2O3 transparent ceramics processed with hot isostatic pressing. Opt. Mater. 2017, 71, 117–120. [Google Scholar] [CrossRef]
- Kumar, Y.; Pal, M.; Herrera, M.; Mathew, X. Effect of Eu ion incorporation on the emission behavior of Y2O3 nanophosphors: A detailed study of structural and optical properties. Opt. Mater. 2016, 60, 159–168. [Google Scholar] [CrossRef]
- Yavetskiy, R.; Dobrotvorskaya, M.; Doroshenko, A.; Tolmachev, A.; Petrusha, I.; Turkevich, V.; Tomala, R.; Hreniak, D.; Strek, W.; Baumer, V. Fabrication and luminescent properties of (Y0.99Eu0.01)2O3 transparent nanostructured ceramics. Opt. Mater. 2018, 78, 285–291. [Google Scholar] [CrossRef]
- Wang, Z.; Zhou, G.; Zhang, J.; Qin, X.; Wang, S. Luminescence properties of Eu3+-doped Lanthanum gadolinium hafnates transparent ceramics. Opt. Mater. 2017, 71, 5–8. [Google Scholar] [CrossRef]
- Orekhova, K.; Tomala, R.; Zamoryanskaya, M. The study of composition, structure and cathodoluminescent features of YAG:Eu3+ nanoceramics. Excitation capture efficiency of Eu3+ energy levels. J. Alloys Compd. 2021, 858, 157731. [Google Scholar] [CrossRef]
- Rétot, H.; Blahuta, S.; Bessière, A.; Viana, B.; LaCourse, B. Mattmann, Improved scintillation time response in (Lu0.5Gd0.5)2O3:Eu3+ compared with Lu2O3:Eu3+ transparent ceramics. J. Phys. D Appl. Phys. 2011, 44, 235101. [Google Scholar] [CrossRef]
- Chaika, M.A.; Mancardi, G.; Vovk, O.M. Influence of CaO and SiO2 additives on the sintering behavior of Cr,Ca:YAG ceramics prepared by solid-state reaction sintering. Ceram. Int. 2020, 46, 22781–22786. [Google Scholar] [CrossRef]
- Chen, S.; Yang, S.; Chen, L.; Ma, Z.; Chen, J.; Guo, W. MgO-Y2O3:Eu composite ceramics with high quantum yield and excellent thermal performance. J. Eur. Ceram. Soc. 2023, 43, 3553–3562. [Google Scholar] [CrossRef]
- Itatani, K.; Tsujimoto, T.; Kishimoto, A. Thermal and optical properties of transparent magnesium oxide ceramics fabricated by post hot-isostatic pressing. J. Eur. Ceram. Soc. 2006, 26, 639–645. [Google Scholar] [CrossRef]
- Yi, Q.; Zhou, S.; Teng, H.; Lin, H.; Hou, X.; Jia, T. Structural and optical properties of Tm:Y2O3 transparent ceramic with La2O3, ZrO2 as composite sintering aid. J. Eur. Ceram. Soc. 2012, 32, 381–388. [Google Scholar] [CrossRef]
- Zhu, L.-L.; Park, Y.-J.; Gan, L.; Go, S.-I.; Kim, H.-N.; Kim, J.-M.; Ko, J.-W. Effects of ZrO2-La2O3 co-addition on the microstructural and optical properties of transparent Y2O3 ceramics. Ceram. Int. 2017, 43, 8525–8530. [Google Scholar] [CrossRef]
- Hou, X.; Zhou, S.; Li, W.; Li, Y. Study on the effect and mechanism of zirconia on the sinterability of yttria transparent ceramic. J. Eur. Ceram. Soc. 2010, 30, 3125–3129. [Google Scholar] [CrossRef]
- Sójka, M.; Kulesza, D.; Bolek, P.; Trojan-Piegza, J.; Zych, E. Tracing mechanism of optically and thermally stimulated luminescence in Lu2O3:Tb,M (M = Hf, Zr, Ti) ceramic storage phosphors. J. Rare Earths 2019, 37, 1170–1175. [Google Scholar] [CrossRef]
- Subbarao, E.C.; Sutter, P.H.; Hrizo, J. Defect Structure and Electrical Conductivity of ThO2-Y2O3 Solid Solutions. J. Am. Ceram. Soc. 1965, 48, 443–446. [Google Scholar] [CrossRef]
- Jolley, A.; Cohn, G.; Hitz, G.; Wachsman, E. Improving the ionic conductivity of NASICON through aliovalent cation substitution of Na3Zr2Si2PO12. Ionics 2015, 21, 3031–3038. [Google Scholar] [CrossRef]
- Shukla, J.; Saxena, P.; Joshi, P.; Joshi, P.; Mishra, A. Impact of aliovalent ions doping on structural and electrical characteristics of YMnO3 ceramic. Appl. Phys. A 2023, 129, 731. [Google Scholar] [CrossRef]
- Izmailov, R.; Strand, J.; Larcher, L.; O’Sullivan, B.; Shluger, A.; Afanas’ev, V. Electron trapping in ferroelectric HfO2. Phys. Rev. Mater. 2021, 5, 034415. [Google Scholar] [CrossRef]
- Nakauchi, D.; Okada, G.; Koshimizu, M.; Yanagida, T. Storage luminescence and scintillation properties of Eu-doped SrAl2O4 crystals. J. Lumin. 2016, 176, 342–346. [Google Scholar] [CrossRef]
- Lu, B.; Li, J.; Suzuki, T.S.; Estili, M.; Liu, W.; Sun, X.; Sakka, Y. Controlled Synthesis of Layered Rare-Earth Hydroxide Nanosheets Leading to Highly Transparent (Y0.95Eu0.05)2O3 Ceramics. J. Am. Ceram. Soc. 2015, 98, 1413–1422. [Google Scholar] [CrossRef]
- Podowitz, S.R.; Gaumé, R.; Feigelson, R.S. Effect of Europium Concentration on Densification of Transparent Eu:Y2O3 Scintillator Ceramics Using Hot Pressing. J. Am. Ceram. Soc. 2010, 93, 82–88. [Google Scholar] [CrossRef]
- Zhong, H.; Pan, F.; Yue, S.; Qin, C.; Hadjiev, V.; Tian, F.; Liu, X.; Lin, F.; Wang, Z.; Bao, J. Idealizing Tauc Plot for Accurate Bandgap Determination of Semiconductor with Ultraviolet–Visible Spectroscopy: A Case Study for Cubic Boron Arsenide. J. Phys. Chem. Lett. 2023, 14, 6702–6708. [Google Scholar] [CrossRef]
- Chaonan, W.; Weiping, Z.; Min, Y. Preparation and spectroscopic properties of Y2O3:Eu3+ nanopowders and ceramics. J. Alloys Compd. 2009, 474, 180–184. [Google Scholar] [CrossRef]
- Kowalczyk, M.; Kaczkan, M.; Majchrowski, A.; Malinowski, M. Short-wavelength luminescence of Eu3+-doped KGd(WO4)2 crystals. Opt. Mater. 2019, 98, 109507. [Google Scholar] [CrossRef]
- Fu, Z.; Zhou, S.; Pan, T.; Zhang, S. Preparation and luminescent properties of cubic Eu3+:Y2O3 nanocrystals and comparison to bulk Eu3+:Y2O3. J. Lumin. 2007, 124, 213–216. [Google Scholar] [CrossRef]
- Shivaramu, N.J.; Lakshminarasappa, B.N.; Nagabhushana, K.R.; Singh, F.; Swart, H.C. Synthesis, thermoluminescence and defect centres in Eu3+ doped Y2O3 nanophosphor for gamma dosimetry applications. Mater. Res. Express 2017, 4, 115033. [Google Scholar] [CrossRef]
- Den Engelsen, D.; Fern, G.R.; Ireland, T.G.; Harris, P.G.; Hobson, P.R.; Lipman, A.; Dhillon, R.; Marsh, P.J.; Silver, J. Ultraviolet and blue cathodoluminescence from cubic Y2O3 and Y2O3: Eu3+ generated in a transmission electron microscope. J. Mater. Chem. C 2016, 4, 7026–7034. [Google Scholar] [CrossRef]
- Zhou, S.; Duan, C.; Yin, M.; Zhang, S.; Wang, C. High-sensitive optical temperature sensing based on 5D1 emission of Eu3+ in YVO4. J. Alloys Compd. 2019, 784, 970–974. [Google Scholar] [CrossRef]
- Singh, A.K.; O’Donnell, K.; Edwards, P.R.; Cameron, D.; Lorenz, K.; Kappers, M.J.; Boćkowski, M.; Yamaga, M.; Prakash, R. Luminescence of Eu3+ in GaN(Mg, Eu): Transitions from the 5D1 level. Appl. Phys. Lett. 2017, 111, 241105. [Google Scholar] [CrossRef]
- Chen, P.; Chen, I. Grain Boundary Mobility in Y2O3: Defect Mechanism and Dopant Effects. J. Am. Ceram. Soc. 1996, 79, 1801–1809. [Google Scholar] [CrossRef]
- Ren, Y.; Li, X.; Zhang, Z.; Mu, H.; Zhu, Q.; Fu, Z.; Sun, X. Effects of Zr4+-doping on the properties of (Lu,Gd)2O3:Eu transparent ceramics: Insight from the photoluminescent spectra in as-sintered and annealed state. Ceram. Int. 2023, 49, 18541–18551. [Google Scholar] [CrossRef]










| x = 0.001 | x = 0.01 | x = 0.1 | x = 0.2 | |
|---|---|---|---|---|
| Before irradiation | 71.48% | 84.12% | 84.11% | 91.04% |
| After irradiation | 54.38% | 62.27% | 80.64% | 87.72% |
Disclaimer/Publisher’s Note: The statements, opinions and data contained in all publications are solely those of the individual author(s) and contributor(s) and not of MDPI and/or the editor(s). MDPI and/or the editor(s) disclaim responsibility for any injury to people or property resulting from any ideas, methods, instructions or products referred to in the content. |
© 2024 by the authors. Licensee MDPI, Basel, Switzerland. This article is an open access article distributed under the terms and conditions of the Creative Commons Attribution (CC BY) license (https://creativecommons.org/licenses/by/4.0/).
Share and Cite
Lou, W.; Tang, Y.; Chen, H.; Lei, Y.; Lin, H.; Hong, R.; Han, Z.; Zhang, D. Effect of Eu Ions Concentration in Y2O3-Based Transparent Ceramics on the Electron Irradiation Induced Luminescence and Damage. Materials 2024, 17, 4954. https://doi.org/10.3390/ma17204954
Lou W, Tang Y, Chen H, Lei Y, Lin H, Hong R, Han Z, Zhang D. Effect of Eu Ions Concentration in Y2O3-Based Transparent Ceramics on the Electron Irradiation Induced Luminescence and Damage. Materials. 2024; 17(20):4954. https://doi.org/10.3390/ma17204954
Chicago/Turabian StyleLou, Wenhui, Yang Tang, Haohong Chen, Yisong Lei, Hui Lin, Ruijin Hong, Zhaoxia Han, and Dawei Zhang. 2024. "Effect of Eu Ions Concentration in Y2O3-Based Transparent Ceramics on the Electron Irradiation Induced Luminescence and Damage" Materials 17, no. 20: 4954. https://doi.org/10.3390/ma17204954
APA StyleLou, W., Tang, Y., Chen, H., Lei, Y., Lin, H., Hong, R., Han, Z., & Zhang, D. (2024). Effect of Eu Ions Concentration in Y2O3-Based Transparent Ceramics on the Electron Irradiation Induced Luminescence and Damage. Materials, 17(20), 4954. https://doi.org/10.3390/ma17204954

