The Effect of Multi-Step Tempering and Partition Heat Treatment on 25Cr2Ni3MoV Steel’s Cryogenic Strength Properties
Abstract
1. Introduction
2. Experimental Procedures
3. Simulation Procedures
3.1. Deformation Kinematics
3.2. Slip Deformation
3.3. Polycrystalline Geometric Based on EBSD
4. Results
4.1. Microstructure Characterization
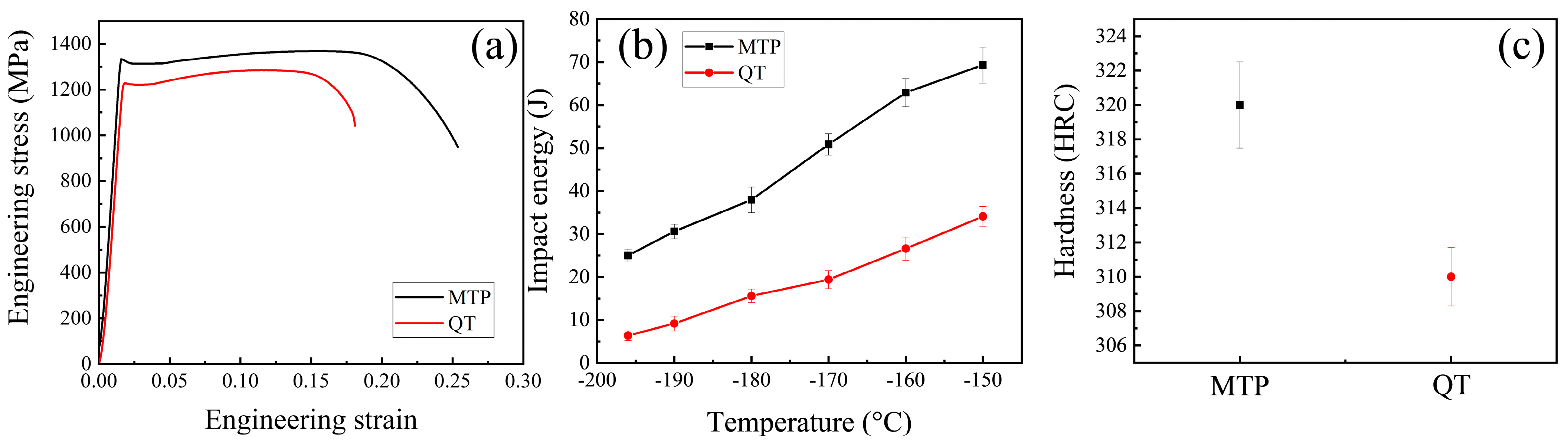
4.2. Mechanical Properties
4.3. Deformation Microstructure
5. Discussion
5.1. Microstructure Evolution during MTP Heat Treatment
5.2. Strengthening Contribution
5.3. Deformation Compatibility of Tempered Martensite and Precipitate
6. Conclusions
Author Contributions
Funding
Institutional Review Board Statement
Informed Consent Statement
Data Availability Statement
Conflicts of Interest
References
- Noor Akashah, M.H.; Mohammad Rozali, N.E.; Mahadzir, S.; Liew, P.Y. Utilization of Cold Energy from LNG Regasification Process: A Review of Current Trends. Processes 2023, 11, 517. [Google Scholar] [CrossRef]
- Park, H.; Lee, S.; Jeong, J.; Chang, D. Design of the compressor-assisted LNG fuel gas supply system. Energy 2018, 158, 1017–1027. [Google Scholar] [CrossRef]
- Kumar, S.; Kwon, H.-T.; Choi, K.-H.; Lim, W.; Cho, J.H.; Tak, K.; Moon, I. LNG: An eco-friendly cryogenic fuel for sustainable development. Appl. Energy 2011, 88, 4264–4273. [Google Scholar] [CrossRef]
- Dowson, P.; Bauer, D.; Laney, S. Selection of materials and material related processes for centrifugal compressors and steam turbines in the oil and petrochemical industry. In Proceedings of the 37th Turbomachinery Symposium; Turbomachinery Laboratories; Texas A&M University: College Station, TX, USA, 2008; pp. 190–209. [Google Scholar]
- Fadel, A.; Gliŝić, D.; Radović, N.; Drobnjak, D. Influence of Cr, Mn and Mo Addition on Structure and Properties of V Microalloyed Medium Carbon Steels. J. Mater. Sci. Technol. 2012, 28, 1053–1058. [Google Scholar] [CrossRef]
- Hou, N.; Ding, N.; Qu, S.; Guo, W.; Liu, L.; Xu, N.; Tian, L.; Xu, H.; Chen, X.; Zaïri, F.; et al. Failure modes, mechanisms and causes of shafts in mechanical equipment. Eng. Fail. Anal. 2022, 136, 106216. [Google Scholar] [CrossRef]
- Hu, Y.; Wu, S.; Withers, P.J.; Cao, H.; Chen, P.; Zhang, Y.; Shen, Z.; Vojtek, T.; Hutař, P. Corrosion fatigue lifetime assessment of high-speed railway axle EA4T steel with artificial scratch. Eng. Fract. Mech. 2021, 245, 107588. [Google Scholar] [CrossRef]
- Krauss, G. Tempering of Lath Martensite in Low and Medium Carbon Steels: Assessment and Challenges. Steel Res. Int. 2017, 88, 1700038. [Google Scholar] [CrossRef]
- Lee, C.; Maresca, F.; Feng, R.; Chou, Y.; Ungar, T.; Widom, M.; An, K.; Poplawsky, J.D.; Chou, Y.-C.; Liaw, P.K. Strength can be controlled by edge dislocations in refractory high-entropy alloys. Nat. Commun. 2021, 12, 5474. [Google Scholar] [CrossRef]
- Morris, J.W., Jr.; Kinney, C.; Pytlewski, K.; Adachi, Y. Microstructure and cleavage in lath martensitic steels. Sci. Technol. Adv. Mater. 2013, 14, 014208. [Google Scholar] [CrossRef]
- Hayakawa, K.; Ogawa, T.; He, L.; Sun, F.; Adachi, Y. Improvement in the Strength–Ductility Balance of Tempered Martensite Steel by Controlling Cementite Particle Size Distribution. J. Mater. Eng. Perform. 2023, 1–11. [Google Scholar] [CrossRef]
- Prasad, C.; Bhuyan, P.; Kaithwas, C.; Saha, R.; Mandal, S. Microstructure engineering by dispersing nano-spheroid cementite in ultrafine-grained ferrite and its implications on strength-ductility relationship in high carbon steel. Mater. Des. 2018, 139, 324–335. [Google Scholar] [CrossRef]
- Miyamoto, G.; Yokoyama, K.; Furuhara, T. Quantitative analysis of Mo solute drag effect on ferrite and bainite transformations in Fe-0.4 C-0.5 Mo alloy. Acta Mater. 2019, 177, 187–197. [Google Scholar] [CrossRef]
- Wu, Y.; Sun, W.; Gao, X.; Styles, M.; Arlazarov, A.; Hutchinson, C. The effect of alloying elements on cementite coarsening during martensite tempering. Acta Mater. 2020, 183, 418–437. [Google Scholar] [CrossRef]
- Rawal, S.; Gurland, J. Observations on the effect of cementite particles on the fracture toughness of spheroidized carbon steels. Metall. Trans. A 1977, 8, 691–698. [Google Scholar] [CrossRef]
- Umar, M.; Qayyum, F.; Farooq, M.U.; Khan, L.A.; Guk, S.; Prahl, U. Investigating the Effect of Cementite Particle Size and Distribution on Local Stress and Strain Evolution in Spheroidized Medium Carbon Steels using Crystal Plasticity-Based Numerical Simulations. Steel Res. Int. 2020, 92, 2000407, 1–13. [Google Scholar] [CrossRef]
- Yin, W.; Briffod, F.; Yamazaki, K.; Shiraiwa, T.; Enoki, M. Effect of limited retained austenite on the strength–ductility trade-off in low-alloyed TRIP steel. Mater. Sci. Eng. A 2022, 861, 144337. [Google Scholar] [CrossRef]
- Kumar, S.; Samanta, S.; Singh, S.B. An alternative quenching and partitioning (Q&P) process via spheroidization. Mater. Charact. 2022, 191, 112049. [Google Scholar] [CrossRef]
- Zhang, H.; Sun, M.; Liu, Y.; Ma, D.; Xu, B.; Huang, M.; Li, D.; Li, Y. Ultrafine-grained dual-phase maraging steel with high strength and excellent cryogenic toughness. Acta Mater. 2021, 211, 116878. [Google Scholar] [CrossRef]
- Ribamar, G.G.; Escobar, J.D.; Kwiatkowski da Silva, A.; Schell, N.; Ávila, J.A.; Nishikawa, A.S.; Oliveira, J.P.; Goldenstein, H. Austenite carbon enrichment and decomposition during quenching and tempering of high silicon high carbon bearing steel. Acta Mater. 2023, 247, 118742. [Google Scholar] [CrossRef]
- Tkachev, E.; Borisov, S.; Belyakov, A.; Kniaziuk, T.; Vagina, O.; Gaidar, S.; Kaibyshev, R. Effect of quenching and tempering on structure and mechanical properties of a low-alloy 0.25C steel. Mater. Sci. Eng. A 2023, 868, 144757. [Google Scholar] [CrossRef]
- Xie, M.; Chen, G.; Yu, J.; Wu, Y.; Liu, X.; Yang, J.; Xu, W. A dual-phase crystal plasticity finite-element method for modeling the uniaxial deformation behaviors of thermally aged SAC305 solder. Int. J. Plast. 2022, 155, 103342. [Google Scholar] [CrossRef]
- Peng, J.; Zhou, B.; Li, Z.; Huo, D.; Xiong, J.; Zhang, S. Effect of tempering process on the cryogenic impact toughness of 13Cr4NiMo martensitic stainless steel. J. Mater. Res. Technol. 2023, 23, 5618–5630. [Google Scholar] [CrossRef]
- Feng, X.; Yang, Z.; Zhang, X.; Shen, Y. Mechanical Properties of Fine-Grained Low Alloy Steel Investigated by Crystal Plasticity Finite Element Method. J. Mater. Eng. Perform. 2023, 1–12. [Google Scholar] [CrossRef]
- Tanaka, Y.; Masumura, T.; Tsuchiyama, T.; Takaki, S. Effect of dislocation distribution on the yield stress in ferritic steel under identical dislocation density conditions. Scr. Mater. 2020, 177, 176–180. [Google Scholar] [CrossRef]
- He, Z.; Jia, N.; Wang, H.; Yan, H.; Shen, Y. Synergy effect of multi-strengthening mechanisms in FeMnCoCrN HEA at cryogenic temperature. J. Mater. Sci. Technol. 2021, 86, 158–170. [Google Scholar] [CrossRef]
- Souza Filho, I.R.; Sandim, M.J.R.; Cohen, R.; Nagamine, L.C.C.M.; Sandim, H.R.Z.; Raabe, D. Magnetic properties of a 17.6 Mn-TRIP steel: Study of strain-induced martensite formation, austenite reversion, and athermal α′-formation. J. Magn. Magn. Mater. 2019, 473, 109–118. [Google Scholar] [CrossRef]
- Kaputkina, L.M.; Svyazhin, A.G.; Smarygina, I.V.; Kindop, V.E. Light Non-Magnetic Steels Based on the Fe–25 Mn–5 Ni–Al–C System. Steel Transl. 2020, 50, 22–30. [Google Scholar] [CrossRef]
- Nakada, N.; Ishibashi, Y.; Tsuchiyama, T.; Takaki, S. Self-stabilization of untransformed austenite by hydrostatic pressure via martensitic transformation. Acta Mater. 2016, 110, 95–102. [Google Scholar] [CrossRef]
- Xu, Y.; Li, W.; Du, H.; Jiao, H.; Liu, B.; Wu, Y.; Ding, W.; Luo, Y.; Nie, Y.; Min, N.; et al. Tailoring the metastable reversed austenite from metastable Mn-rich carbides. Acta Mater. 2021, 214, 116986. [Google Scholar] [CrossRef]
- Li, J.; Bai, S.; Li, H.; Jiang, X.; Meng, F.; Luo, H. Decomposition in Mn50Ni40In10 melt-spun ribbons and its influence on magnetic properties. J. Magn. Magn. Mater. 2023, 588, 171502. [Google Scholar] [CrossRef]
- Morsdorf, L.; Kashiwar, A.; Kübel, C.; Tasan, C.C. Carbon segregation and cementite precipitation at grain boundaries in quenched and tempered lath martensite. Mater. Sci. Eng. A 2023, 862, 144369. [Google Scholar] [CrossRef]
- Nikitin, I.; Fedoseeva, A.; Kaibyshev, R. Strengthening mechanisms of creep-resistant 12%Cr–3%Co steel with low N and high B contents. J. Mater. Sci. 2020, 55, 7530–7545. [Google Scholar] [CrossRef]
- Dudko, V.; Yuzbekova, D.; Kaibyshev, R. Strengthening Mechanisms in a Medium-Carbon Steel Subjected to Thermo-Mechanical Processing. Appl. Sci. 2023, 13, 9614. [Google Scholar] [CrossRef]
- Gladman, T. Precipitation hardening in metals. Mater. Sci. Technol. 1999, 15, 30–36. [Google Scholar] [CrossRef]
- Tang, A.; Liu, H.; Chen, R.; Liu, G.; Lai, Q.; Zhong, Y.; Wang, L.; Wang, J.; Lu, Q.; Shen, Y. Mesoscopic origin of damage nucleation in dual-phase steels. Int. J. Plast. 2021, 137, 102920. [Google Scholar] [CrossRef]
- Hansen, L.T.; Fullwood, D.T.; Homer, E.R.; Wagoner, R.H.; Lim, H.; Carroll, J.D.; Zhou, G.; Bong, H.J. An investigation of geometrically necessary dislocations and back stress in large grained tantalum via EBSD and CPFEM. Mater. Sci. Eng. A 2020, 772, 138704. [Google Scholar] [CrossRef]











| Element (wt.%) | C | Ni | Cr | Mo | Mn | Si | V | Fe |
|---|---|---|---|---|---|---|---|---|
| Content | 0.25 | 2.8–3.1 | 1.4–1.6 | 0.51 | 0.23 | 0.21 | 0.13 | Balanced |
| Crystal Parameters | QT | MTP | |||
|---|---|---|---|---|---|
| {112}<111> | {110}<111> | {112}<111> | {110}<111> | ||
| G/GPa | C11 | 231 | 231 | 231 | 231 |
| C12 | 134 | 134 | 134 | 134 | |
| C44 | 116 | 116 | 116 | 116 | |
| h0/MPa | 1100 | 1100 | 1300 | 1300 | |
| τs/MPa | 300 | 300 | 320 | 320 | |
| τ0/MPa | 250 | 250 | 270 | 270 | |
| q | 1 | 1 | 1 | 1 | |
| n | 20 | 20 | 20 | 20 | |
| 0.001 | 0.001 | 0.001 | 0.001 | ||
| Sample | YS (MPa) | TS (MPa) | ETF (%) | AK (J) | H (HRC) | |||||
|---|---|---|---|---|---|---|---|---|---|---|
| −196 °C | −196 °C | −196 °C | −150 °C | −160 °C | −170 °C | −180 °C | −190 °C | −196 °C | ||
| QT | 1226.6 ± 10.1 | 1283.2 ± 11.4 | 18.1 ± 1.1 | 34.1 ± 4.2 | 26.6 ± 3.3 | 19.4 ± 2.5 | 15.6 ± 3.1 | 9.1 ± 1.7 | 6.3 ± 1.5 | 304 ± 1.7 |
| MTP | 1332.1 ± 15.3 | 1367.7 ± 16.1 | 25.4 ± 0.7 | 69.3 ± 2.3 | 62.9 ± 2.7 | 50.8 ± 2.1 | 37.9 ± 1.6 | 30.6 ± 1.7 | 24.5 ± 1.1 | 325 ± 2.5 |
| Sample | σINT | d | σGB | σPRE | σDIS | σTotall(cal) | σtotal(exp) | |||
|---|---|---|---|---|---|---|---|---|---|---|
| MPa | μm | MPa | nm | % | MPa | ×10−14 m−2 | MPa | MPa | MPa | |
| QT | 160 | 4 | 142 | 120 | 7 | 120 | 2.38 | 307 | 729 | 746 |
| MTP | 160 | 1.5 | 168 | 80 | 4 | 138 | 3.51 | 380 | 826 | 820 |
Disclaimer/Publisher’s Note: The statements, opinions and data contained in all publications are solely those of the individual author(s) and contributor(s) and not of MDPI and/or the editor(s). MDPI and/or the editor(s) disclaim responsibility for any injury to people or property resulting from any ideas, methods, instructions or products referred to in the content. |
© 2024 by the authors. Licensee MDPI, Basel, Switzerland. This article is an open access article distributed under the terms and conditions of the Creative Commons Attribution (CC BY) license (https://creativecommons.org/licenses/by/4.0/).
Share and Cite
Chen, Y.; Chen, R.; Yao, Y.; Min, N.; Li, W.; Diao, A. The Effect of Multi-Step Tempering and Partition Heat Treatment on 25Cr2Ni3MoV Steel’s Cryogenic Strength Properties. Materials 2024, 17, 518. https://doi.org/10.3390/ma17020518
Chen Y, Chen R, Yao Y, Min N, Li W, Diao A. The Effect of Multi-Step Tempering and Partition Heat Treatment on 25Cr2Ni3MoV Steel’s Cryogenic Strength Properties. Materials. 2024; 17(2):518. https://doi.org/10.3390/ma17020518
Chicago/Turabian StyleChen, Ye, Ran Chen, Yanchen Yao, Na Min, Wei Li, and Anna Diao. 2024. "The Effect of Multi-Step Tempering and Partition Heat Treatment on 25Cr2Ni3MoV Steel’s Cryogenic Strength Properties" Materials 17, no. 2: 518. https://doi.org/10.3390/ma17020518
APA StyleChen, Y., Chen, R., Yao, Y., Min, N., Li, W., & Diao, A. (2024). The Effect of Multi-Step Tempering and Partition Heat Treatment on 25Cr2Ni3MoV Steel’s Cryogenic Strength Properties. Materials, 17(2), 518. https://doi.org/10.3390/ma17020518

