Study on the Influence of Metal Substrates on Protective Performance of the Coating by EIS
Abstract
1. Introduction
2. Experimental
2.1. Materials and Samples Preparation
2.2. Experimental Conditions
2.3. Measurements
2.3.1. EIS Test
2.3.2. FTIR, DSC, SEM, and XRD Tests
3. Results and Discussion
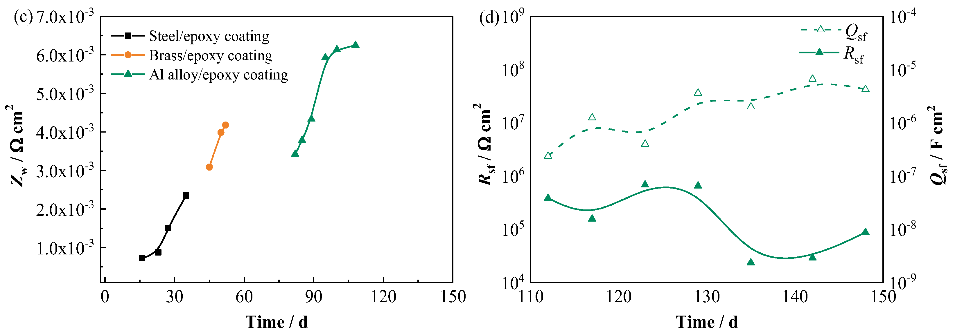
3.1. EIS Spectra and the Parameters Analysis of Three Metal/Epoxy Coatings
3.2. FTIR Results of the Red Iron Oxide Epoxy Coating
3.3. Surface Morphology and the Corrosion Products Analysis
4. Conclusions
- (1)
- The red iron oxide epoxy coating on three different metal substrates presents different failure times in a periodic cycling exposure to 3.5 wt% NaCl solution (45 °C 12 h + 25 °C 12 h), which is in the following order: the coating on steel < the coating on brass < the coating on Al alloy. The anti-corrosion property and the service lifetime of the coating have a relationship with the metal substrates.
- (2)
- The characteristics of the metal substrates and their corrosion products have a significant influence on the water uptake and, thereby, the degradation process of the coating. The corrosion products on steel and brass contain hygroscopic compounds, which have a promoting effect on water intrusion and accelerate the corrosion process of the substrates. The passivity of Al alloy and the formation of Cl− containing salt film can inhibit the corrosion of substrate and have no significant promoting effect on the water diffusion in the coating.
- (3)
- The failure threshold |Z|0.01Hz for the coating on Al alloy should be different from that on carbon steel and brass. For the coating on steel and brass, the value of |Z|0.01Hz is close to 1.0 × 106 Ω cm2, and the value of |Z|0.01Hz for the coating on Al alloy is suggested to be lower than 1.0 × 106 Ω cm2.
Author Contributions
Funding
Institutional Review Board Statement
Informed Consent Statement
Data Availability Statement
Conflicts of Interest
References
- Tian, W.; Meng, F.; Liu, L.; Li, Y.; Wang, F. The failure behaviour of a commercial highly pigmented epoxy coating under marine alternating hydrostatic pressure. Prog. Org. Coat. 2015, 82, 101–112. [Google Scholar] [CrossRef]
- David, R.; Raja, V.S.; Singh, S.K.; Gore, P. Development of anti-corrosive paint with improved toughness using carboxyl terminated modified epoxy resin. Prog. Org. Coat. 2018, 120, 58–70. [Google Scholar] [CrossRef]
- Vincenzo, B.; Emmanouela, M.; Michele, C. Evaluating organic coating performance by EIS: Correlation between long-term EIS measurements and corrosion of the metal substrate. Mater. Corros. 2023, 1–18. [Google Scholar] [CrossRef]
- Diaz-Ramos, M.; Roche, V.; Song, R.; Fan, H.; Bureau, C.; Lepretre, J.C. Electrochemical Impedance Spectroscopy (EIS) of parylene coated magnesium stents in organic solvent to study early corrosion control. Corros. Sci. 2023, 213, 110932. [Google Scholar] [CrossRef]
- Fu, T.; Tang, X.; Cai, Z.; Zuo, Y.; Tang, Y.; Zhao, X. Correlation research of phase angle variation and coating performance by means of Pearson’s correlation coefficient. Prog. Org. Coat. 2020, 139, 105459. [Google Scholar] [CrossRef]
- Kouloumbi, N.; Tsangaris, G.; Vourvahi, C.; Molnar, F. Corrosion resistance and dielectric properties of an iron oxide filled epoxy coating. J. Coat. Technol. 1997, 69, 53–59. [Google Scholar] [CrossRef]
- Wang, J.S.; Qiu, X.Q. The failure behavior of iron red epoxy ester primer in seawater was studied by means of LEIS and EIS. Mater. Prot. 2016, 49, 23–25+27. (In Chinese) [Google Scholar]
- Ding, R.; Jiang, J.; Gui, T. Study of impedance model and water transport behavior of modified solvent-free epoxy anticorrosion coating by EIS. J. Coat. Technol. Res. 2016, 13, 501–515. [Google Scholar] [CrossRef]
- Fan, C.; Shi, J.; Dilger, K. Water uptake and interfacial delamination of an epoxy-coated galvanized steel: An electrochemical impedance spectroscopic study. Prog. Org. Coat. 2019, 137, 105333. [Google Scholar] [CrossRef]
- Sun, W.; Xing, C.; Tang, X.; Zuo, Y.; Tang, Y.; Zhao, X. Comparative study on the degradation of a zinc-rich epoxy primer/acrylic polyurethane coating in different simulated atmospheric solutions. J. Coat. Technol. Res. 2021, 18, 397–413. [Google Scholar] [CrossRef]
- Iannarelli, P.; Beaumont, D.; Liu, Y.; Zhou, X.; Burnett, T.L.; Curioni, M.; Lyon, S.B.; Gibbon, S.R.; Morsh, S.; Emad, S. The degradation mechanism of a marine coating under service conditions of water ballast tank. Prog. Org. Coat. 2022, 162, 106588. [Google Scholar] [CrossRef]
- Croll, S. Electrolyte transport in polymer barrier coatings: Perspectives from other disciplines. Prog. Org. Coat. 2018, 124, 41–48. [Google Scholar] [CrossRef]
- González-García, Y.; González, S.; Souto, R. Electrochemical and structural properties of a polyurethane coating on steel substrates for corrosion protection. Corros. Sci. 2007, 49, 3514–3526. [Google Scholar] [CrossRef]
- Zhang, J.T.; Hu, J.M.; Zhang, J.Q.; Cao, C.N. Studies of water transport behavior and impedance models of epoxy-coated metals in NaCl solution by EIS. Prog. Org. Coat. 2004, 51, 145–151. [Google Scholar] [CrossRef]
- D3418-15; Standard Test Method for Transition Temperatures and Enthalpies of Fusion and Crystallization of Polymers by Differential Scanning Calorimetry. ASTM International: West Conshohocken, PA, USA, 2015.
- Zhu, B.; Liu, Z.; Liu, J.; Yang, Y.; Meng, Y.; Yu, F.; Jiang, L.; Wei, G.; Zhang, Z. Preparation of fluorinated/silanized polyacrylates amphiphilic polymers and their anticorrosion and antifouling performance. Prog. Org. Coat. 2020, 140, 105510. [Google Scholar] [CrossRef]
- Shi, A.; Koka, S.; Ullett, J. Performance evaluation on the weathering resistance of two USAF coating systems (standard 85285 topcoat versus fluorinated APC topcoat) via electrochemical impedance spectroscopy. Prog. Org. Coat. 2005, 52, 196–209. [Google Scholar] [CrossRef]
- Feng, Z.; Frankel, G.S. Evaluation of Coated Al Alloy Using the Breakpoint Frequency Method. Electrochim. Acta 2016, 187, 605–615. [Google Scholar] [CrossRef]
- Zhang, D.; Qian, H.; Wang, L.; Li, X. Comparison of barrier properties for a superhydrophobic epoxy coating under different simulated corrosion environments. Corros. Sci. 2016, 103, 230–241. [Google Scholar] [CrossRef]
- Margarit-Mattos, I.C.P. EIS and organic coatings performance: Revisiting some key points. Electrochim. Acta 2020, 354, 136725. [Google Scholar] [CrossRef]
- Hu, J.M.; Zhang, J.Q.; Cao, C.N. Determination of water uptake and diffusion of Cl− ion in epoxy primer on aluminum alloys in NaCl solution by electrochemical impedance spectroscopy. Prog. Org. Coat. 2003, 46, 273–279. [Google Scholar] [CrossRef]
- Zhou, Q.; Wang, Y. Comparisons of clear coating degradation in NaCl solution and pure water. Prog. Org. Coat. 2013, 76, 1674–1682. [Google Scholar] [CrossRef]
- Xing, C.; Wang, W.; Qu, S.; Tang, Y.; Zhao, X.; Zuo, Y. Degradation of zinc-rich epoxy coating in 3.5% NaCl solution and evolution of its EIS parameters. J. Coat. Technol. Res. 2021, 18, 843–860. [Google Scholar] [CrossRef]
- Effendy, S.; Zhou, T.; Eichman, H.; Petr, M.; Bazant, M.Z. Blistering failure of elastic coatings with applications to corrosion resistance. Soft Matter 2021, 17, 9480–9498. [Google Scholar] [CrossRef] [PubMed]
- Nguyen, T.; Martin, J.W. Modes and mechanisms for the degradation of fusion-bonded epoxy-coated steel in a marine concrete environment. JCT Res. 2004, 1, 81–92. [Google Scholar] [CrossRef]
- Chen, X.; Wen, S.F.; Feng, T.; Yuan, X. High solids organic-inorganic hybrid coatings based on silicone-epoxy-silica coating with improved anticorrosion performance for AA2024 protection. Prog. Org. Coat. 2020, 139, 105374. [Google Scholar] [CrossRef]
- Yuan, X.; Yue, Z.F.; Liu, Z.Q.; Wen, S.F.; Li, L.; Feng, T. Comparison of the failure mechanisms of silicone-epoxy hybrid coatings on type A3 mild steel and 2024 Al-alloy. Prog. Org. Coat. 2016, 90, 101–113. [Google Scholar] [CrossRef]
- Qiu, S.; Chen, C.; Cui, M.; Li, W.; Zhao, H.; Wang, L. Corrosion protection performance of waterborne epoxy coatings containing self-doped polyaniline nanofiber. Appl. Surf. Sci. 2017, 407, 213–222. [Google Scholar] [CrossRef]
- Liu, T.; Liu, Y.; Ye, Y.; Li, J.; Yang, F.; Zhao, H.; Wang, L. Corrosion protective properties of epoxy coating containing tetraaniline modified nano-α-Fe2O3. Prog. Org. Coat. 2019, 132, 455–467. [Google Scholar] [CrossRef]
- Gao, T.; He, Z.; Hihara, L.H.; Mehr, H.S.; Soucek, M.D. Outdoor exposure and accelerated weathering of polyurethane/polysiloxane hybrid coatings. Prog. Org. Coat. 2021, 130, 44–57. [Google Scholar] [CrossRef]
- Mardel, J.; Garcia, S.J.; Corrigan, P.A.; Markley, T.; Hughes, A.E.; Muster, T.H.; Lau, D.; Harvey, T.G.; Glenn, A.M.; White, P.A.; et al. The characterisation and performance of Ce(dbp)3-inhibited epoxy coatings. Prog. Org. Coat. 2011, 70, 91–101. [Google Scholar] [CrossRef]
- Lee Hia, I.; Chan, E.-S.; Chai, S.-P.; Pasbakhsh, P. A novel repeated self-healing epoxy composite with alginate multicore microcapsules. J. Mater. Chem. A 2018, 6, 8470–8478. [Google Scholar] [CrossRef]
- Peng, Y.; Hughes, A.E.; Mardel, J.I.; Deacon, G.B.; Junk, P.C.; Forsyth, M.; Hinton, B.R.; Somers, A.E. Leaching behavior and corrosion inhibition of a rare earth carboxylate incorporated epoxy coating system. ACS Appl. Mater. Interfaces 2019, 11, 36154–36168. [Google Scholar] [CrossRef] [PubMed]
- van Soestbergen, M.; Baukh, V.; Erich, S.J.F.; Huinink, H.P.; Adan, O.C.G. Release of cerium dibutylphosphate corrosion inhibitors from highly filled epoxy coating systems. Prog. Org. Coat. 2014, 77, 1562–1568. [Google Scholar] [CrossRef]
- He, S.; Xiong, J.; Tang, Y.; Zuo, Y. The failure behavior of a polyurethane composite coating in 3.5% NaCl solution under ultraviolet irradiation. J. Appl. Polym. Sci. 2011, 120, 1892–1898. [Google Scholar] [CrossRef]
- Xiao, G.; Delamar, M.a.; Shanahan, M. Irreversible interactions between water and DGEBA/DDA epoxy resin during hygrothermal aging. J. App. Polym. Sci. 1997, 65, 449–458. [Google Scholar] [CrossRef]
- Xiao, G.; Shanahan, M. Water absorption and desorption in an epoxy resin with degradation. J. Polym. Sci. Part B Polym. Phys. 1997, 35, 2659–2670. [Google Scholar] [CrossRef]
- Sindhu, P.S.; Mitra, N.; Ghindani, D.; Prabhu, S.S. Epoxy resin (DGEBA/TETA) exposed to water: A spectroscopic investigation to determine water-epoxy interactions. J. Infrared Millim. Terahertz Waves 2021, 42, 558–571. [Google Scholar] [CrossRef]
- Morsch, S.; Lyon, S.; Greensmith, P.; Smith, S.; Gibbon, S. Water transport in an epoxy–phenolic coating. Prog. Org. Coat. 2015, 78, 293–299. [Google Scholar] [CrossRef]
- Miszczyk, A.; Darowicki, K. Water uptake in protective organic coatings and its reflection in measured coating impedance. Prog. Org. Coat. 2018, 124, 296–302. [Google Scholar] [CrossRef]
- Lin, Z.H.; Xi, M.N.; He, C.; Zheng, P.; Chen, X. Effect of hydrostatic pressure on corrosion behavior of X70 Steel in marine environment. J. Chin. Soc. Corros. Prot. 2021, 41, 307–317. (In Chinese) [Google Scholar]
- Li, Z.; Xiao, K.; Dong, C.; Cheng, X.; Xue, W.; Yu, W. Atmospheric corrosion behavior of low-alloy steels in a tropical marine environment. J. Iron Steel Res. Int. 2019, 26, 1315–1328. [Google Scholar] [CrossRef]
- Li, Q.S.; Luo, S.Z.; Xing, X.T.; Yuan, J.; Liu, X.; Wang, J.H.; Hu, W.-B. Effect of deep sea pressures on the corrosion behavior of X65 steel in the artificial seawater. Acta Metall. Sin. (Engl. Lett.) 2019, 32, 972–980. [Google Scholar] [CrossRef]
- Petrie, E. Osmotic Blisters in Coatings and Adhesives. Met. Finish. 2011, 109, 28–30. [Google Scholar] [CrossRef]
- Özyılmaz, A.T.; Çolak, N.; Ozyilmaz, G.; Sangün, M.K. Protective properties of polyaniline and poly(aniline-co-o-anisidine) films electrosynthesized on brass. Prog. Org. Coat. 2007, 60, 24–32. [Google Scholar] [CrossRef]
- Lu, X.; Liu, Y.; Liu, M.; Wang, Z. Corrosion behavior of copper T2 and brass H62 in simulated Nansha marine atmosphere. J. Mater. Sci. Technol. 2019, 35, 1831–1839. [Google Scholar] [CrossRef]
- Šekularac, G.; Milošev, I. Corrosion of aluminum alloy AlSi7Mg0.3 in artificial sea water with added sodium sulphide. Corros. Sci. 2018, 144, 54–73. [Google Scholar] [CrossRef]













| Time | Steel/Epoxy Coating | Brass/Epoxy Coating | Al Alloy/Epoxy Coating | |||
|---|---|---|---|---|---|---|
| |Z|0.01Hz/Ω cm2 | Protection Performance | |Z|0.01Hz/Ω cm2 | Protection Performance | |Z|0.01Hz/Ω cm2 | Protection Performance | |
| 2 h | 2.8 × 109 | Excellent | 3.3 × 109 | Excellent | 4.2 × 109 | Excellent |
| 4 d | 2.7 × 108 | Very good | 6.7 × 108 | Very good | 2.1 × 109 | Excellent |
| 16 d | 9.8 × 105 | Poor | 2.8 × 107 | Good | 1.1 × 108 | Very good |
| 35 d | 7.5 × 104 | Failure | 1.6 × 106 | Poor | 4.4 × 107 | Good |
| 52 d | 1.0 × 106 | Failure | 1.2 × 107 | Good | ||
| 148 d | 1.8 × 106 | Good | ||||
| Element (wt%) | C | O | Cl | Fe | Cu | Zn | Al | Mg |
|---|---|---|---|---|---|---|---|---|
| Steel (Area1) | 17.56 | 6.54 | 0.13 | 75.78 | — | — | — | — |
| Steel (Area2) | 15.06 | 16.78 | 0.40 | 67.76 | ||||
| Brass (Area1) | 21.59 | 6.18 | 0.34 | — | 44.80 | 27.09 | — | — |
| Brass (Area2) | 31.14 | 20.13 | 6.32 | — | 9.96 | 32.45 | — | — |
| Al alloy (Area1) | 24.62 | 3.04 | 0.05 | — | — | — | 69.64 | 2.65 |
Disclaimer/Publisher’s Note: The statements, opinions and data contained in all publications are solely those of the individual author(s) and contributor(s) and not of MDPI and/or the editor(s). MDPI and/or the editor(s) disclaim responsibility for any injury to people or property resulting from any ideas, methods, instructions or products referred to in the content. |
© 2024 by the authors. Licensee MDPI, Basel, Switzerland. This article is an open access article distributed under the terms and conditions of the Creative Commons Attribution (CC BY) license (https://creativecommons.org/licenses/by/4.0/).
Share and Cite
Gong, J.; Wei, H.; Hao, P.; Li, S.; Zhao, X.; Tang, Y.; Zuo, Y. Study on the Influence of Metal Substrates on Protective Performance of the Coating by EIS. Materials 2024, 17, 378. https://doi.org/10.3390/ma17020378
Gong J, Wei H, Hao P, Li S, Zhao X, Tang Y, Zuo Y. Study on the Influence of Metal Substrates on Protective Performance of the Coating by EIS. Materials. 2024; 17(2):378. https://doi.org/10.3390/ma17020378
Chicago/Turabian StyleGong, Jiyun, Han Wei, Pan Hao, Shenghui Li, Xuhui Zhao, Yuming Tang, and Yu Zuo. 2024. "Study on the Influence of Metal Substrates on Protective Performance of the Coating by EIS" Materials 17, no. 2: 378. https://doi.org/10.3390/ma17020378
APA StyleGong, J., Wei, H., Hao, P., Li, S., Zhao, X., Tang, Y., & Zuo, Y. (2024). Study on the Influence of Metal Substrates on Protective Performance of the Coating by EIS. Materials, 17(2), 378. https://doi.org/10.3390/ma17020378

