Heat Capacity of Indium or Gallium Sesqui-Chalcogenides
Abstract
1. Introduction
2. Materials and Methods
2.1. Synthesis
2.2. Characterization
2.3. Calorimetric Measurements
2.4. DFT Calculations
3. Results
3.1. Heat Capacities
3.2. Enthalpies of Formation
4. Discussion
5. Conclusions
Supplementary Materials
Author Contributions
Funding
Institutional Review Board Statement
Informed Consent Statement
Data Availability Statement
Conflicts of Interest
References
- Chhowalla, M.; Jena, D.; Zhang, H. Two-dimensional semiconductors for transistors. Nat. Rev. Mater. 2016, 1, 16052. [Google Scholar] [CrossRef]
- Zhang, Y.; Rubio, A.; Lay, G.L. Emergent elemental two-dimensional materials beyond graphene. J. Phys. D Appl. Phys. 2017, 50, 053004. [Google Scholar] [CrossRef]
- Ponraj, J.S.; Xu, Z.-Q.; Dhanabalan, S.C.; Mu, H.; Wang, Y.; Yuan, J.; Li, P.; Thakur, S.; Ashrafi, M.; McCoubrey, K.; et al. Photonics and optoelectronics of two-dimensional materials beyond graphene. Nanotechnology 2016, 27, 462001. [Google Scholar] [CrossRef] [PubMed]
- Browning, R.; Kuperman, N.; Moon, B.; Solanki, R. Atomic Layer Growth of InSe and Sb2Se3 Layered Semiconductors and Their Heterostructure. Electronics 2017, 6, 27. [Google Scholar] [CrossRef]
- Tabernor, J.; Christian, P.; O’Brien, P. A general route to nanodimensional powders of indium chalcogenides. J. Mater. Chem. 2006, 16, 2082–2087. [Google Scholar] [CrossRef]
- Mancini, A.M.; Micocci, G.; Rizzo, A. New materials for optoelectronic devices: Growth and characterization of indium and gallium chalcogenide layer compounds. Mater. Chem. Phys. 1983, 9, 29–54. [Google Scholar] [CrossRef]
- Tan, C.K.Y.; Fu, W.; Loh, K.P. Polymorphism and Ferroelectricity in Indium(III) Selenide. Chem. Rev. 2023, 123, 8701–8717. [Google Scholar] [CrossRef]
- Aksimentyeva, O.I.; Demchenko, P.Y.; Savchyn, V.P.; Balitskii, O.A. The chemical exfoliation phenomena in layered GaSe-polyaniline composite. Nanoscale Res. Lett. 2013, 8, 29. [Google Scholar] [CrossRef]
- Mudd, G.W.; Svatek, S.A.; Ren, T.; Patanè, A.; Makarovsky, O.; Eaves, L.; Beton, P.H.; Kovalyuk, Z.D.; Lashkarev, G.V.; Kudrynskyi, Z.R.; et al. Tuning the Bandgap of Exfoliated InSe Nanosheets by Quantum Confinement. Adv. Mater. 2013, 25, 5714–5718. [Google Scholar] [CrossRef]
- Sfuncia, G.; Nicotra, G.; Giannazzo, F.; Pécz, B.; Gueorguiev, G.K.; Kakanakova-Georgieva, A. 2D graphitic-like gallium nitride and other structural selectivity in confinement at the graphene/SiC interface. CrystEngComm 2023, 25, 5810–5817. [Google Scholar] [CrossRef]
- Sangiovanni, D.G.; Faccio, R.; Gueorguiev, G.K.; Kakanakova-Georgieva, A. Discovering atomistic pathways for supply of metal atoms from methyl-based precursors to graphene surface. Phys. Chem. Chem. Phys. 2023, 25, 829–837. [Google Scholar] [CrossRef]
- Sedmidubský, D.; Sofer, Z.; Huber, Š.; Luxa, J.; Točík, R.; Mahnel, T.; Růžička, K. Chemical bonding and thermodynamic properties of gallium and indium monochalcogenides. J. Chem. Thermodyn. 2019, 128, 97–102. [Google Scholar] [CrossRef]
- Julien, C.; Barnier, S.; Massot, M.; Pardo, M.P. Vibrational studies of solid solutions formed in the gallium-cadmium-sulphur system. Mater. Res. Bull. 1994, 29, 785–794. [Google Scholar] [CrossRef]
- Krost, A.; Richter, W.; Zahn, D.R.T.; Hingerl, K.; Sitter, H. Chemical reaction at the ZnSe/GaAs interface detected by Raman spectroscopy. Appl. Phys. Lett. 1990, 57, 1981–1982. [Google Scholar] [CrossRef]
- Halsall, M.P.; Wolverson, D.; Davies, J.J.; Lunn, B.; Ashenford, D.E. Ga2Te3 and tellurium interfacial layers in ZnTe/GaSb heterostructures studied by Raman scattering. Appl. Phys. Lett. 1992, 60, 2129–2131. [Google Scholar] [CrossRef]
- Tao, H.; Mao, S.; Dong, G.; Xiao, H.; Zhao, X. Raman scattering studies of the Ge–In sulfide glasses. Solid State Commun. 2006, 137, 408–412. [Google Scholar] [CrossRef]
- Lewandowska, R.; Bacewicz, R.; Filipowicz, J.; Paszkowicz, W. Raman scattering in α-In2Se3 crystals. Mater. Res. Bull. 2001, 36, 2577–2583. [Google Scholar] [CrossRef]
- Zahn, D.R.T.; Mackey, K.J.; Williams, R.H.; Münder, H.; Geurts, J.; Richter, W. Formation of interfacial layers in InSb-CdTe heterostructures studied by Raman scattering. Appl. Phys. Lett. 1987, 50, 742–744. [Google Scholar] [CrossRef]
- Höhne, G.W.H.; Hemminger, W.F.; Flammersheim, H.-J. Differential Scanning Calorimetry, 2nd ed.; Springer: Berlin/Heidelberg, Germany, 2003. [Google Scholar]
- Štejfa, V.; Fulem, M.; Růžička, K.; Červinka, C. Thermodynamic study of selected monoterpenes III. J. Chem. Thermodyn. 2014, 79, 280–289. [Google Scholar] [CrossRef]
- Pokorný, V.; Štejfa, V.; Havlín, J.; Fulem, M.; Růžička, K. Heat Capacities of L-Cysteine, L-Serine, L-Threonine, L-Lysine, and L-Methionine. Molecules 2023, 28, 451. [Google Scholar] [CrossRef]
- Mahnel, T.; Pokorný, V.; Fulem, M.; Sedmidubský, D.; Růžička, K. Measurement of low-temperature heat capacity by relaxation technique: Calorimeter performance testing and heat capacity of benzo[b]fluoranthene, benzo[k]fluoranthene, and indeno[1,2,3-cd]pyrene. J. Chem. Thermodyn. 2020, 142, 105964. [Google Scholar] [CrossRef]
- Suzuki, Y.T.; Yamamura, Y.; Sumita, M.; Yasuzuka, S.; Saito, K. Neat liquid consisting of hydrogen-bonded tetramers: Dicyclohexylmethanol. J. Phys. Chem. B 2009, 113, 10077–10080. [Google Scholar] [CrossRef]
- Archer, D.G. Thermodynamic Properties of the NaCl+H2O System l. Thermodynamic Properties of NaCl(cr). J. Phys. Chem. Ref. Data 1992, 21, 1–21. [Google Scholar] [CrossRef]
- Kresse, G.; Joubert, D. From ultrasoft pseudopotentials to the projector augmented-wave method. Phys. Rev. B 1999, 59, 1758–1775. [Google Scholar] [CrossRef]
- Perdew, J.P.; Burke, K.; Ernzerhof, M. Generalized Gradient Approximation Made Simple. Phys. Rev. Lett. 1996, 77, 3865–3868. [Google Scholar] [CrossRef] [PubMed]
- Knacke, O.; Kubaschewski, O.; Hesselmann, K. Thermochemical Properties of Inorganic Substances, 2nd ed.; Springer: Berlin/Heidelberg, Germany, 1991. [Google Scholar]
- Tyurin, A.V.; Gavrichev, K.S.; Golushina, L.N.; Gorbunov, V.E.; Zlomanov, V.P. Heat Capacity and Thermodynamic Functions of Ga2Se3 from 14 to 320 K. Inorg. Mater. 2005, 41, 1139–1143. [Google Scholar] [CrossRef]
- Tyurin, A.V.; Gavrichev, K.S.; Zlomanov, V.P.; Bykova, T.A. Low-temperature heat capacity and thermodynamic functions of Ga2Te3. Inorg. Mater. 2006, 42, 954–957. [Google Scholar] [CrossRef]
- Koshchenko, V.I.; Grinberg, Y.K.; Demidenko, A.F.; Zhegalina, V.A. Temperature dependence of thermodynamic properties of indium selenide in the 5–300 K range. Izv. Akad. Nauk SSSR Neorg. Mater. 1981, 17, 1979–1982. [Google Scholar]
- Boehnke, U.C.; Kühn, G.; Berezovski, G.A.; Spassov, T. Some aspects of the thermal behaviour of In2Se3. J. Therm. Anal. 1987, 32, 115–120. [Google Scholar] [CrossRef]
- Mills, K.C. Molar heat capacities and enthalpies of transition for the indium selenides, InSe(c), InSe1.2(c) and In2Se3(c). High Temp. High Press. 1976, 8, 225–230. [Google Scholar]
- Zlomanov, V.P.; Sheiman, M.S.; Legendre, B. Phase diagram and thermodynamic properties of phases in the In-Te system. J. Phase Equilib. 2001, 22, 339. [Google Scholar] [CrossRef]
- Bale, C.W.; Bélisle, E.; Chartrand, P.; Decterov, S.A.; Eriksson, G.; Hack, K.; Jung, I.H.; Kang, Y.B.; Melançon, J.; Pelton, A.D.; et al. FactSage thermochemical software and databases—Recent developments. Calphad 2009, 33, 295–311. [Google Scholar] [CrossRef]
- Cox, J.D.; Wagman, D.D.; Medvedev, V.A. CODATA Key Values for Thermodynamics; Hemisphere Publishing Corp.: New York, NY, USA, 1989. [Google Scholar]




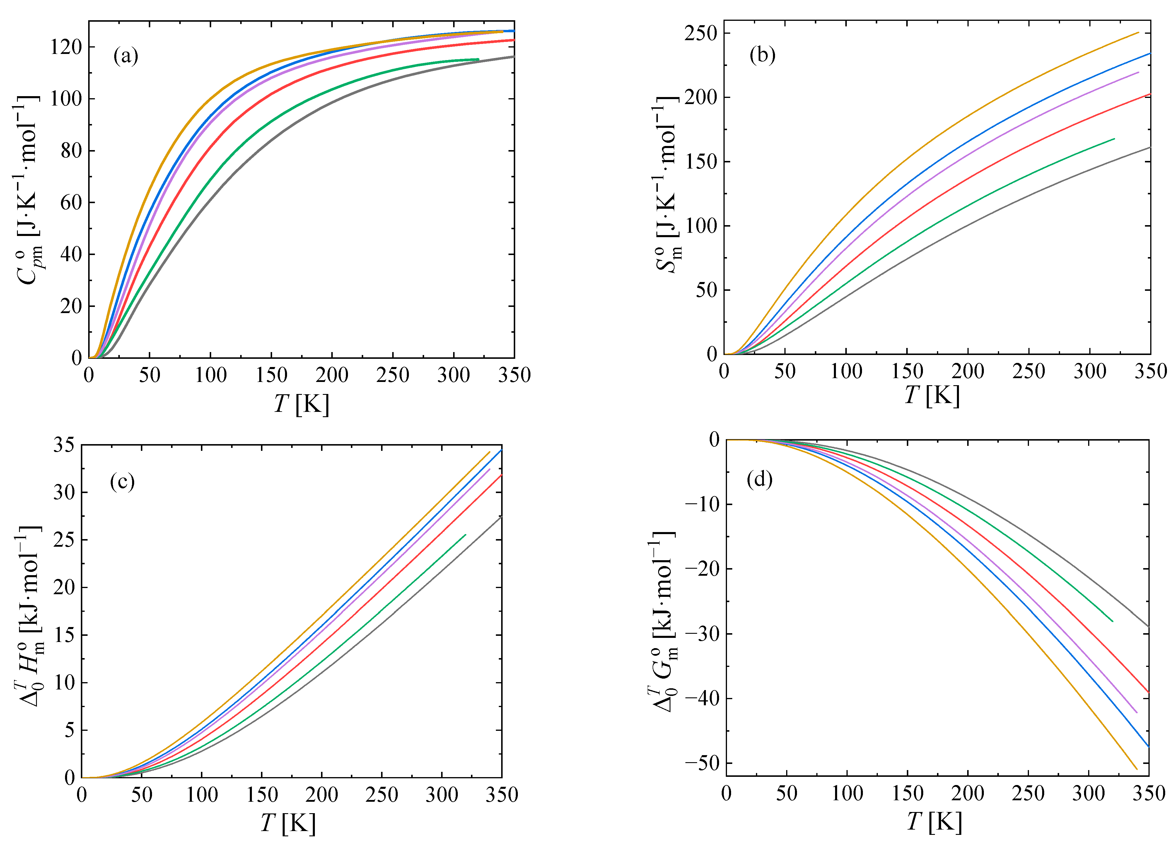
), Ga2Se3 (red
), Ga2Te3 (blue
), In2S3 (green
), In2Se3 (purple
), In2Te3 (olive
). (a) Isobaric heat capacity, (b) entropy, (c) enthalpy, and (d) Gibbs energy.
), Ga2Se3 (red
), Ga2Te3 (blue
), In2S3 (green
), In2Se3 (purple
), In2Te3 (olive
). (a) Isobaric heat capacity, (b) entropy, (c) enthalpy, and (d) Gibbs energy.
, this work (Tian–Calvet calorimetry); blue
, this work (relaxation calorimetry); purple
, Knacke et al. [27] (for all compounds except In2Te3, all data by Knacke et al. [27] are out of scale); green
, Tyurin et al. [28,29]; olive
, Boehnke et al. [31]; black
, Koshchenko et al. [30]; orange
, Zlomanov et al. [33]; cyan
, Mills [32]. Vertical lines mark knot temperatures Ti. Data represented by filled symbols have been used to obtain parameters of Equations (1) and (2). Relaxation calorimetry data of this work for In2Se3 above 230 K have been excluded due to low coupling.
, this work (Tian–Calvet calorimetry); blue
, this work (relaxation calorimetry); purple
, Knacke et al. [27] (for all compounds except In2Te3, all data by Knacke et al. [27] are out of scale); green
, Tyurin et al. [28,29]; olive
, Boehnke et al. [31]; black
, Koshchenko et al. [30]; orange
, Zlomanov et al. [33]; cyan
, Mills [32]. Vertical lines mark knot temperatures Ti. Data represented by filled symbols have been used to obtain parameters of Equations (1) and (2). Relaxation calorimetry data of this work for In2Se3 above 230 K have been excluded due to low coupling.


| Ga2S3 | Ga2Se3 | Ga2Te3 | In2S3 | In2Se3 | In2Te3 | |
|---|---|---|---|---|---|---|
| Space group | Cc | F-43m | F-43m | I41/amd | R-3mH | Imm2 |
| Lattice parameters/Å | a = 11.1172 b = °6.4041 c = °7.0305 ß = °121.19 | a = 5.4235 | a = 5.903 | a = 7.617 c = 32.32 | a = °3.978 c = 28.99 | a = 13.083 b = °4.361 c = °6.168 |
| Reference | N a | (Tmin − Tmax)/K | ur(Cpm)/% b | Method |
|---|---|---|---|---|
| Ga2S3 | ||||
| Knacke et al. [27] | S c | 298–1213 | nosp. | nosp. |
| This work | 18 | 271–353 | 1.0 | Tian–Calvet |
| This work | 126 | 2–302 | d | Relaxation |
| Ga2Se3 | ||||
| Knacke et al. [27] | S c | 298–1278 | nosp. | nosp. |
| Tyurin et al. [28] | 101 | 15–324 | 0.2 | Adiabatic |
| This work | 19 | 266–353 | 1.0 | Tian–Calvet |
| This work | 125 | 2–302 | d | Relaxation |
| Ga2Te3 | ||||
| Knacke et al. [27] | S c | 298–1063 | nosp. | nosp. |
| Tyurin et al. [29] | 134 | 9–310 | 0.2 | Adiabatic |
| This work | 19 | 271–353 | 1.0 | Tian–Calvet |
| This work | 132 | 2–303 | d | Relaxation |
| In2S3 | ||||
| Knacke et al. [27] | S c | 298–660 | nosp. | nosp. |
| This work | 14 | 262–323 | 1.0 | Tian–Calvet |
| This work | 125 | 2–302 | d | Relaxation |
| In2Se3 | ||||
| Knacke et al. [27] | S c | 298–470 | nosp. | nosp. |
| Koshchenko et al. [30] | 99 | 4–304 | 0.5 | Adiabatic |
| Boehnke et al. [31] | 138 | 6–285 | 0.1 | Adiabatic |
| Mills [32] | 5 | 298–486 | 0.5 | DSC |
| This work | 19 | 262–350 | 1.0 | Tian–Calvet |
| This work | 104 | 2–226 | d | Relaxation |
| This work | 22 | 232–302 | d | Relaxation |
| In2Te3 | ||||
| Knacke et al. [27] | S c | 298–898 | nosp. | nosp. |
| Zlomanov et al. [33] | 75 | 5–313 | 0.2 | Adiabatic |
| This work | 19 | 262–348 | 1.0 | Tian–Calvet |
| This work | 126 | 2–303 | d | Relaxation |
| ai | bi | ci | di | Ti/K | Ti, max/K | N a | sr b |
|---|---|---|---|---|---|---|---|
| Ga2S3 | b = 0.18 | ||||||
| 1.10116 × 10−2 | −2.03631 × 10−1 | 9.61860 × 10−1 | 1.23920 × 101 | 0 | 5 | 14 | 0.93 |
| 2.81063 × 10−3 | −3.84571 × 10−2 | −2.48579 × 10−1 | 1.34870 × 101 | 5 | 12 | 8 | 1.17 |
| −6.13516 × 10−4 | 2.05661 × 10−2 | −3.73816 × 10−1 | 1.08266 × 101 | 12 | 20 | 8 | 2.74 |
| −6.72147 × 10−5 | 5.84174 × 10−3 | −1.62553 × 10−1 | 8.83815 | 20 | 50 | 17 | 1.09 |
| 1.43753 × 10−6 | −2.07582 × 10−4 | 6.47156 × 10−3 | 7.40433 | 50 | 100 | 19 | 0.56 |
| 1.74864 × 10−7 | 8.04748 × 10−6 | −3.50518 × 10−3 | 7.38864 | 100 | 200 | 30 | 0.40 |
| −1.34810 × 10−7 | 6.05065 × 10−5 | 3.35023 × 10−3 | 7.29346 | 200 | 353 | 48 | 0.36 |
| Ga2Se3 | b = 0.19 | ||||||
| 5.69538 × 10−2 | −8.73244 × 10−1 | 4.22755 | 2.28158 | 0 | 5 | 10 | 1.60 |
| 1.75173 × 10−3 | −1.89368 × 10−2 | −2.33356 × 10−1 | 8.70745 | 5 | 12 | 10 | 1.00 |
| −6.36373 × 10−4 | 1.78496 × 10−2 | −2.40966 × 10−1 | 6.74691 | 12 | 20 | 8 | 1.07 |
| −3.14760 × 10−5 | 2.57666 × 10−3 | −7.75553 × 10−2 | 5.63574 | 20 | 50 | 16 | 0.77 |
| 2.57153 × 10−6 | −2.56181 × 10−4 | −7.94088 × 10−3 | 4.77822 | 50 | 100 | 19 | 0.42 |
| −3.97876 × 10−7 | 1.29549 × 10−4 | −1.42725 × 10−2 | 4.06217 | 100 | 200 | 30 | 0.26 |
| 7.82412 × 10−8 | 1.01860 × 10−5 | −2.99051 × 10−4 | 3.53252 | 200 | 353 | 37 | 0.18 |
| Ga2Te3 | b = 0.19 | ||||||
| 1.11589 × 10−2 | −1.47396 × 10−1 | 2.08914 × 10−1 | 7.96519 | 0 | 5 | 14 | 0.90 |
| −1.70943 × 10−4 | 1.99869 × 10−2 | −4.28133 × 10−1 | 6.71971 | 5 | 12 | 8 | 1.70 |
| −6.39490 × 10−4 | 1.63972 × 10−2 | −1.73444 × 10−1 | 4.64351 | 12 | 20 | 8 | 2.18 |
| −1.32927 × 10−5 | 1.04939 × 10−3 | −3.38717 × 10−2 | 3.97796 | 20 | 50 | 16 | 0.74 |
| 1.62523 × 10−6 | −1.46950 × 10−4 | −6.79852 × 10−3 | 3.54735 | 50 | 100 | 20 | 0.56 |
| −3.13065 × 10−7 | 9.68342 × 10−5 | −9.30432 × 10−3 | 3.04321 | 100 | 200 | 30 | 0.29 |
| 1.02416 × 10−7 | 2.91463 × 10−6 | 6.70564 × 10−4 | 2.76805 | 200 | 353 | 34 | 0.18 |
| In2S3 | b = 0.19 | ||||||
| 2.79528 × 10−2 | −3.99655 × 10−1 | 1.29063 | 1.00431 × 101 | 0 | 5 | 14 | 1.78 |
| 4.94311 × 10−4 | 1.96370 × 10−2 | −6.09463 × 10−1 | 9.99897 | 5 | 12 | 8 | 3.11 |
| −1.21050 × 10−3 | 3.00175 × 10−2 | −2.61881 × 10−1 | 6.86449 | 12 | 20 | 8 | 2.61 |
| −1.61253 × 10−5 | 9.65519 × 10−4 | −1.40172 × 10−2 | 6.07079 | 20 | 50 | 17 | 0.69 |
| 4.10646 × 10−6 | −4.85758 × 10−4 | 3.75668 × 10−4 | 6.08385 | 50 | 100 | 19 | 0.48 |
| −3.81795 × 10−7 | 1.30212 × 10−4 | −1.74016 × 10−2 | 5.40155 | 100 | 200 | 30 | 0.29 |
| 2.88444 × 10−7 | 1.56732 × 10−5 | −2.81313 × 10−3 | 4.58171 | 200 | 323 | 38 | 0.33 |
| In2Se3 | b = 0.18 | ||||||
| 1.51705 × 10−2 | −1.95861 × 10−1 | 3.7698 × 108−1 | 8.19467 | 0 | 5 | 14 | 0.94 |
| −8.54900 × 10−4 | 3.16966 × 10−2 | −4.43834 × 10−1 | 7.07940 | 5 | 12 | 14 | 3.24 |
| −5.67811 × 10−4 | 1.37437 × 10−2 | −1.25752 × 10−1 | 5.23246 | 12 | 20 | 18 | 1.71 |
| −3.28446 × 10−7 | 1.16225 × 10−4 | −1.48729 × 10−2 | 4.81532 | 20 | 50 | 41 | 1.03 |
| 9.00517 × 10−8 | 8.66649 × 10−5 | −8.78617 × 10−3 | 4.46487 | 50 | 100 | 66 | 0.59 |
| −3.04634 × 10−7 | 1.00173 × 10−4 | 5.55706 × 10−4 | 4.25348 | 100 | 200 | 100 | 0.31 |
| −5.99553 × 10−8 | 8.78254 × 10−6 | 1.14512 × 10−2 | 5.00614 | 200 | 350 | 56 | 0.20 |
| In2Te3 | b = 0.19 | ||||||
| 1.46034 × 10−2 | −1.76452 × 10−1 | 1.85958 × 10−1 | 6.88854 | 0 | 5 | 14 | 0.33 |
| −1.45817 × 10−3 | 4.25984 × 10−2 | −4.83311 × 10−1 | 5.23244 | 5 | 12 | 8 | 1.60 |
| −5.00450 × 10−4 | 1.19768 × 10−2 | −1.01284 × 10−1 | 3.43644 | 12 | 20 | 8 | 2.36 |
| −9.09745 × 10−8 | −3.39669 × 10−5 | −5.74150 × 10−3 | 3.13645 | 20 | 50 | 16 | 0.87 |
| 9.49425 × 10−7 | −4.21546 × 10−5 | −8.02514 × 10−3 | 2.93118 | 50 | 100 | 20 | 0.45 |
| −3.69997 × 10−7 | 1.00259 × 10−4 | −5.11991 × 10−3 | 2.54321 | 100 | 200 | 30 | 0.23 |
| 9.21853 × 10−8 | −1.07400 × 10−5 | 3.83202 × 10−3 | 2.66382 | 200 | 348 | 49 | 0.28 |
| /J·K−1·mol−1 | ∆fH°/kJ·mol−1 | /J·K−1·mol−1 | /kJ·mol−1 | /kJ·mol−1 | |
|---|---|---|---|---|---|
| Ga2S3 | 112.6 | −353.5 | 142.8 | 21.51 | −21.06 |
| Ga2Se3 | 120.6 | −299.9 | 183.2 | 25.54 | −29.09 |
| Ga2Te3 | 125.1 | −140.7 | 214.2 | 27.97 | −35.88 |
| In2S3 | 114.6 | −282.5 | 159.6 | 23.05 | −24.53 |
| In2Se3 | 123.8 | −263.6 | 203.1 | 27.21 | −33.36 |
| In2Te3 | 124.7 | −68.4 | 234.1 | 29.02 | −40.78 |
Disclaimer/Publisher’s Note: The statements, opinions and data contained in all publications are solely those of the individual author(s) and contributor(s) and not of MDPI and/or the editor(s). MDPI and/or the editor(s) disclaim responsibility for any injury to people or property resulting from any ideas, methods, instructions or products referred to in the content. |
© 2024 by the authors. Licensee MDPI, Basel, Switzerland. This article is an open access article distributed under the terms and conditions of the Creative Commons Attribution (CC BY) license (https://creativecommons.org/licenses/by/4.0/).
Share and Cite
Růžička, K.; Pokorný, V.; Plutnar, J.; Plutnarová, I.; Wu, B.; Sofer, Z.; Sedmidubský, D. Heat Capacity of Indium or Gallium Sesqui-Chalcogenides. Materials 2024, 17, 361. https://doi.org/10.3390/ma17020361
Růžička K, Pokorný V, Plutnar J, Plutnarová I, Wu B, Sofer Z, Sedmidubský D. Heat Capacity of Indium or Gallium Sesqui-Chalcogenides. Materials. 2024; 17(2):361. https://doi.org/10.3390/ma17020361
Chicago/Turabian StyleRůžička, Květoslav, Václav Pokorný, Jan Plutnar, Iva Plutnarová, Bing Wu, Zdeněk Sofer, and David Sedmidubský. 2024. "Heat Capacity of Indium or Gallium Sesqui-Chalcogenides" Materials 17, no. 2: 361. https://doi.org/10.3390/ma17020361
APA StyleRůžička, K., Pokorný, V., Plutnar, J., Plutnarová, I., Wu, B., Sofer, Z., & Sedmidubský, D. (2024). Heat Capacity of Indium or Gallium Sesqui-Chalcogenides. Materials, 17(2), 361. https://doi.org/10.3390/ma17020361

