Exploring the Influences of BaO Amount on the Wettability and Mechanical Behavior of Vitrified Bond Diamond Composites
Abstract
1. Introduction
2. Materials and Methods
2.1. Sample Preparation
2.2. Sample Characterization
3. Results and Discussion
3.1. Phases and Microstructure of the Vitrified Bond
3.2. Crystallization Mechanism of Vitrified Bonds with Different Content of BaO
3.3. Impact of BaO on Thermal Behavior of the Vitrified Bond
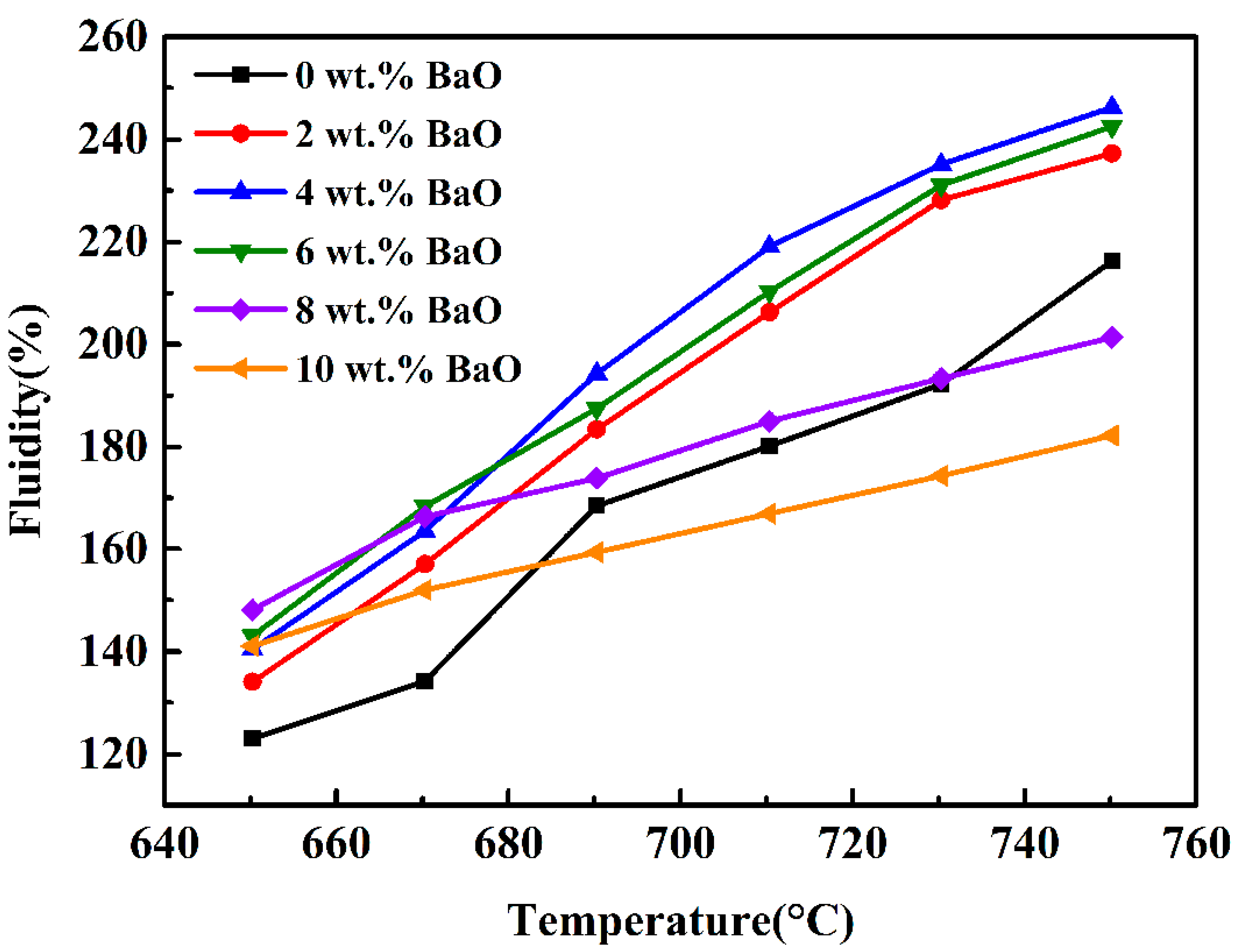
3.4. Impact of BaO on the Wet Property of Vitrified Bond Diamond Composites
3.5. Effect of BaO on Mechanical Behavior of Vitrified Bond Diamond Composites
4. Conclusions
- The change of the amount of BaO can control the phase transformation of barium feldspar in the vitrified bond, thus adjusting its refractoriness and thermal expansion coefficient. When the content of BaO is higher than 4 wt.%, according to the precipitation of the monoclinic barium feldspar phase, the expansion coefficient of the bond drops to 4.98 × 10−6/K; when the content of BaO reaches 10 wt.%, it matches well with the diamond abrasives.
- When the vitrified bonds encompassing 4–6 wt.% BaO are sintered with the diamond abrasive at 750 °C, a continuous barium feldspar phase transition layer emerges at the bond–diamond abrasive interface, increasing the wet property of the bond–diamond abrasive.
- When more BaO is added, the Rockwell hardness and flexural strength of the vitrified bond diamond composites rise firstly and fall subsequently. When the addition of BaO is 6 wt.%, maximums of 117.5 MPa and HRB113.6 are obtained, respectively, which increase by 20.2% and 16.5% compared with that of the sample without added BaO. This illustrates that BaO in vitrified bonds can certainly improve the mechanical behavior of diamond abrasives.
Author Contributions
Funding
Institutional Review Board Statement
Informed Consent Statement
Data Availability Statement
Acknowledgments
Conflicts of Interest
References
- Souza, A.M.; Silva, E.J. Global strategy of grinding wheel performance evaluation applied to grinding of superalloys. Precis. Eng. 2019, 57, 113–126. [Google Scholar] [CrossRef]
- Shekhar, M.; Yadav, S.K.S. Diamond abrasive based cutting tool for processing of advanced engineering materials: A review. Mater. Today Proc. 2020, 22, 3126–3135. [Google Scholar] [CrossRef]
- Jackson, M.J.; Mills, B. Materials selection applied to vitrified alumina & CBN grinding wheels. J. Mater. Process. Technol. 2000, 108, 114–124. [Google Scholar] [CrossRef]
- Sato, B.K.; Rodriguez, R.L.; Talon, A.G.; Lopes, J.C.; Mello, H.J.; Aguiar, P.R.; Bianchi, E.C. Grinding performance of AISI D6 steel using CBN wheel vitrified and resinoid bonded. Int. J. Adv. Manuf Technol. 2019, 105, 2167–2182. [Google Scholar] [CrossRef]
- Capela, P.; Carvalho, S.F.; Guedes, A.; Pereira, M.; Carvalho, L.; Correia, J.; Soares, D.; Gomes, J.R. Effect of sintering temperature on mechanical and wear behaviour of a ceramic composite. Tribol. Int. 2018, 120, 502–509. [Google Scholar] [CrossRef]
- Chowdhury, M.A.; Shuvho, B.A.; Hossain, N.; Hassan, M.; Debnath, U.K.; Mia, S. Friction and wear characteristics of ceramics composite under multidirectional motions. Proc. Inst. Mech. Eng. Part J 2022, 236, 867–880. [Google Scholar] [CrossRef]
- Bhowmik, S.; Naik, R. Selection of Abrasive Materials for Manufacturing Grinding Wheels. Mater. Today Proc. 2018, 5, 2860–2864. [Google Scholar] [CrossRef]
- Kopac, J.; Krajnik, P. High-performance grinding—A review. J. Mater. Process. Technol. 2006, 175, 278–284. [Google Scholar] [CrossRef]
- Capela, P.; Costa, S.; Souza, M.S.; Carvalho, S.; Pereira, M.; Carvalho, L.; Gomes, J.R.; Soares, D. Wear behavior of a new composite formulation, with TEOS addition, for abrasive vitrified grinding wheels. Wear 2023, 512–513, 204524. [Google Scholar] [CrossRef]
- Nagaraj, N.; Jule, L.T.; Shanmugakani, S.K.; Prakash, C.; Singhal, P.; Sivasankaran, S.T.; Ramaswamy, K. Investigation of the performance characteristics of grinding wheel using low melting vitrified bonds. Proc. Inst. Mech. Eng. Part E J. Process Mech. Eng. 2022, 1–7. [Google Scholar] [CrossRef]
- Choudhary, A.; Paul, S. The wear mechanisms of diamond grits in grinding of alumina and yttria-stabilized zirconia under different cooling-lubrication schemes. Wear 2020, 454–455, 203315. [Google Scholar] [CrossRef]
- Flegner, P.; Kačur, J.; Durdán, M.; Laciak, M.; Stehlíková, B.; Pástor, M. Significant damages of core diamond bits in the process of rocks drilling. Eng. Fail. Anal. 2016, 59, 354–365. [Google Scholar] [CrossRef]
- Radetzky, M.; Heß, P.; Fiur, P.; Bracke, S. The influence of contact force variation on surface topographies within high precision cutlery fine grinding. Procedia CIRP 2021, 101, 186–189. [Google Scholar] [CrossRef]
- Jackson, M.J.; Davis, C.J.; Hitchiner, M.P.; Mills, B. High-speed grinding with CBN grinding wheels—Applications and future technology. J. Mater. Process. Technol. 2001, 110, 78–88. [Google Scholar] [CrossRef]
- Choudhary, A.; Paul, S. Surface generation in high-speed grinding of brittle and tough ceramics. Ceram. Int. 2021, 47, 30546–30562. [Google Scholar] [CrossRef]
- Węgrzyk, S.; Herman, D. Strengthening of Al2O3 porous composites with a glass-ceramic binder doped with nanocopper. J. Eur. Ceram. Soc. 2021, 41, 5558–5569. [Google Scholar] [CrossRef]
- Ribeiro, F.S.F.; Lopes, J.C.; Talon, A.G.; Garcia, M.V.; Mello, H.J.; Sanchez, L.E.D.; Aguiar, P.R.; Bianchi, E.C. Comparative analysis between resinoid and vitrified bond grinding wheel under interrupted cutting. Int. J. Adv. Manuf. Technol. 2020, 109, 75–85. [Google Scholar] [CrossRef]
- Rumiantseva, Y.; Melnichuk, I.; Garashchenko, V.; Zaporozhets, O.; Turkevich, V.; Bushlya, V. Influence of cBN content, Al2O3 and Si3N4 additives and their morphology on microstructure, properties, and wear of PCBN with NbN binder. Ceram. Int. 2020, 46, 22230–22238. [Google Scholar] [CrossRef]
- Kwinda, T.I.; Koppka, S.; Sander, S.A.H.; Kohns, R.; Enke, D. Effect of Al2O3 on phase separation and microstructure of R2O–B2O3–Al2O3–SiO2 glass system (R = Li, Na). J. Non-Cryst. Solids 2020, 531, 119849. [Google Scholar] [CrossRef]
- Khater, G.A.; Idris, M.H. Role of TiO2 and ZrO2 on crystallizing phases and microstructure in Li, Ba aluminosilicate glass. Ceram. Int. 2007, 33, 233–238. [Google Scholar] [CrossRef]
- Rabiey, M.; Jochum, N.; Kuster, F. High performance grinding of zirconium oxide (ZrO2) using hybrid bond diamond tools. CIRP Ann. 2013, 62, 343–346. [Google Scholar] [CrossRef]
- Zandonà, A.; Moustrous, M.; Genevois, C.; Véron, E.; Canizarès, A.; Allix, M. Glass-forming ability and ZrO2 saturation limits in the magnesium aluminosilicate system. Ceram. Int. 2022, 48, 8433–8439. [Google Scholar] [CrossRef]
- Brendt, J.; Gross-Barsnick, S.M.; Babelot, C.; Natour, G. The influence of ZnO and V2O5 on the crystallization behavior of BaO-CaO-SiO2 glass-ceramic sealants. J. Non-Cryst. Solids 2018, 501, 78–84. [Google Scholar] [CrossRef]
- Chen, S.P.; Liu, X.P.; Wan, L.; Gao, P.Z.; Zhang, W.; Hou, Z.Q. Effect of V2O5 addition on the wettability of vitrified bond to diamond abrasive and grinding performance of diamond wheels. Diam. Relat. Mater. 2020, 102, 107672. [Google Scholar] [CrossRef]
- Jia, Y.N.; Liang, K.K.; Jiao, X.L.; Chen, D.R.; Zhang, J.; Lu, Y. Preparation and mechanical properties of Al2O3–SiO2–B2O3 continuous fibers. Mater. Rev. 2021, 35, 14025–14029. [Google Scholar]
- Walia, T.; Singh, K. BaO Variation Effect on Crystallization Kinetics of SrO-SiO2-B2O3-ZrO2 Glasses. Silicon 2023, 15, 3737–3746. [Google Scholar] [CrossRef]
- Khater, G.A.; Idris, M.H. Expansion characteristics of some Li2O–BaO–Al2O3–SiO2 glass and glass-ceramics. Ceram. Int. 2006, 32, 833–838. [Google Scholar] [CrossRef]
- Sung, Y.M. Influence of BaO addition on the phase formation characteristics in Li2O–Al2O3–ZnO–SiO2–TiO2–ZrO2 glass. J. Mater. Res. 2002, 17, 517–520. [Google Scholar] [CrossRef]
- Zhou, R.C.; Liu, X.P.; Wan, L.; Gao, P.Z.; Liao, M.Y.; Zhu, Y.L. Influence of TiO2 amount on the interfacial wettability and relevant properties of vitrified bond CBN composites. J. Eur. Ceram. Soc. 2021, 41, 300–309. [Google Scholar] [CrossRef]
- Ostrovskaya, L.; Perevertailo, V.; Ralchenko, V.; Saveliev, A.; Zhuravlev, V. Wettability of nanocrystalline diamond films. Diam. Relat. Mater. 2007, 16, 2109–2113. [Google Scholar] [CrossRef]
- Han, L.C.; Ding, S.H.; Song, T.X.; Huang, L.; Zhang, X.Y.; Xiong, Z. ZBAS vs BaAl2Si2O8. Effect of structure and microwave dielectric properties. J. Inor. Mater. 2018, 33, 883–888. [Google Scholar]
- Yang, J.M.; Zhou, W.C.; Zhang, L.T. Effect of monoclinic barium feldspar as crystal seed on phase transformation of BAS glass ceramics. J. Xi’an Inst. Technol. 1998, 1, 42–47. [Google Scholar]
- Pascual, M.J.; Pascual, L.; Durán, A. Phase separation and crystallization of glasses in the system R2O–B2O3–SiO2 with R = Li, K, Na—Influence on thermal properties. Glass. Sci. Technol. 2002, 75, 280–289. [Google Scholar]
- Guo, B.; Jiang, H. Influence of Li2O addition on the performance of vitrified bond and vitrified diamond composites. J. Wuhan Univ. Technol.-Mater. Sci. Edit. 2020, 35, 699–705. [Google Scholar] [CrossRef]
- Shi, J.; He, F.; Xie, J.L.; Liu, X.Q.; Yang, H. Effects of Na2O/BaO ratio on the structure and the physical properties of low-temperature glass-ceramic vitrified bonds. Ceram. Int. 2018, 44, 10871–10877. [Google Scholar] [CrossRef]
- Lin, H.L.; Chiang, R.K.; Li, W.T. Low-temperature synthesis of pure BaAl2Si2O8 glass-ceramic powder by citrate process. J. Non-Cryst. Solids 2005, 351, 3044–3049. [Google Scholar] [CrossRef]
- Allameh, S.M.; Sandhage, K.H. Synthesis of celsian (BaAl2Si2O8) form solid Ba-Al–Al2O3–SiO2 precursors: I, XRD and SEM/EDS analyses of phase evolution. J. Am. Ceram. Soc. 1997, 80, 3109–3126. [Google Scholar] [CrossRef]
- Lee, K.T.; Aswath, P.B. Role of mineralizers on the hexacelsian to celsian transformation in the barium aluminosilicate (BAS) system. Mater. Sci. Eng. A 2003, 352, 1–7. [Google Scholar] [CrossRef]
- Narottam, P.B. Celsian formation in fiber-reinforced barium aluminosilicate glass-ceramic matrix composites. Mater. Sci. Eng. A 2003, 342, 23–27. [Google Scholar] [CrossRef]
- Lin, S.E.; Cheng, Y.R.; Wei, W.C.J. BaO–B2O3–SiO2–Al2O3 sealing glass for intermediate temperature solid oxide fuel cell. J. Non-Cryst. Solids 2012, 358, 174–181. [Google Scholar] [CrossRef]
- Li, J.W.; Fang, W.J.; Long, W. Research on the bonding properties of vitrified bonds with porous diamonds and the grinding performance of porous diamond abrasive tools. Diam. Relat. Mater. 2022, 123, 108841. [Google Scholar] [CrossRef]
- Kang, Q.; He, X.; Ren, S.; Liu, T.T.; Liu, Q.; Wu, M. Microstructure and thermal properties of copper–diamond composites with tungsten carbide coating on diamond particles. Mater. Charact. 2015, 105, 18–23. [Google Scholar] [CrossRef]








| Element | I | III | IV | |||
|---|---|---|---|---|---|---|
| wt.% | at.% | wt.% | at.% | wt.% | at.% | |
| O | 47.32 | 60.46 | 33.05 | 60.31 | 34.07 | 61.44 |
| Al | 38.75 | 29.34 | 14.46 | 15.64 | 14.37 | 15.36 |
| Si | 13.93 | 10.17 | 15.51 | 16.17 | 15.05 | 15.51 |
| Ba | - | - | 36.98 | 7.88 | 36.51 | 7.69 |
Disclaimer/Publisher’s Note: The statements, opinions and data contained in all publications are solely those of the individual author(s) and contributor(s) and not of MDPI and/or the editor(s). MDPI and/or the editor(s) disclaim responsibility for any injury to people or property resulting from any ideas, methods, instructions or products referred to in the content. |
© 2024 by the authors. Licensee MDPI, Basel, Switzerland. This article is an open access article distributed under the terms and conditions of the Creative Commons Attribution (CC BY) license (https://creativecommons.org/licenses/by/4.0/).
Share and Cite
Guo, B.; Kuang, H.; Liu, X.; Jiang, H.; Tu, R.; Yang, M.; Zhang, S. Exploring the Influences of BaO Amount on the Wettability and Mechanical Behavior of Vitrified Bond Diamond Composites. Materials 2024, 17, 339. https://doi.org/10.3390/ma17020339
Guo B, Kuang H, Liu X, Jiang H, Tu R, Yang M, Zhang S. Exploring the Influences of BaO Amount on the Wettability and Mechanical Behavior of Vitrified Bond Diamond Composites. Materials. 2024; 17(2):339. https://doi.org/10.3390/ma17020339
Chicago/Turabian StyleGuo, Bingjian, Haifeng Kuang, Xiaopan Liu, Hongyi Jiang, Rong Tu, Meijun Yang, and Song Zhang. 2024. "Exploring the Influences of BaO Amount on the Wettability and Mechanical Behavior of Vitrified Bond Diamond Composites" Materials 17, no. 2: 339. https://doi.org/10.3390/ma17020339
APA StyleGuo, B., Kuang, H., Liu, X., Jiang, H., Tu, R., Yang, M., & Zhang, S. (2024). Exploring the Influences of BaO Amount on the Wettability and Mechanical Behavior of Vitrified Bond Diamond Composites. Materials, 17(2), 339. https://doi.org/10.3390/ma17020339

