Durability Properties of Macro-Polypropylene Fiber Reinforced Self-Compacting Concrete
Abstract
1. Introduction
2. Research Aims, Scope, and Novelty
3. Materials
4. Methodology
5. Concrete Mix Design
6. Results and Discussion
6.1. Properties of Fresh Mix
6.2. Hardened Concrete Test Results
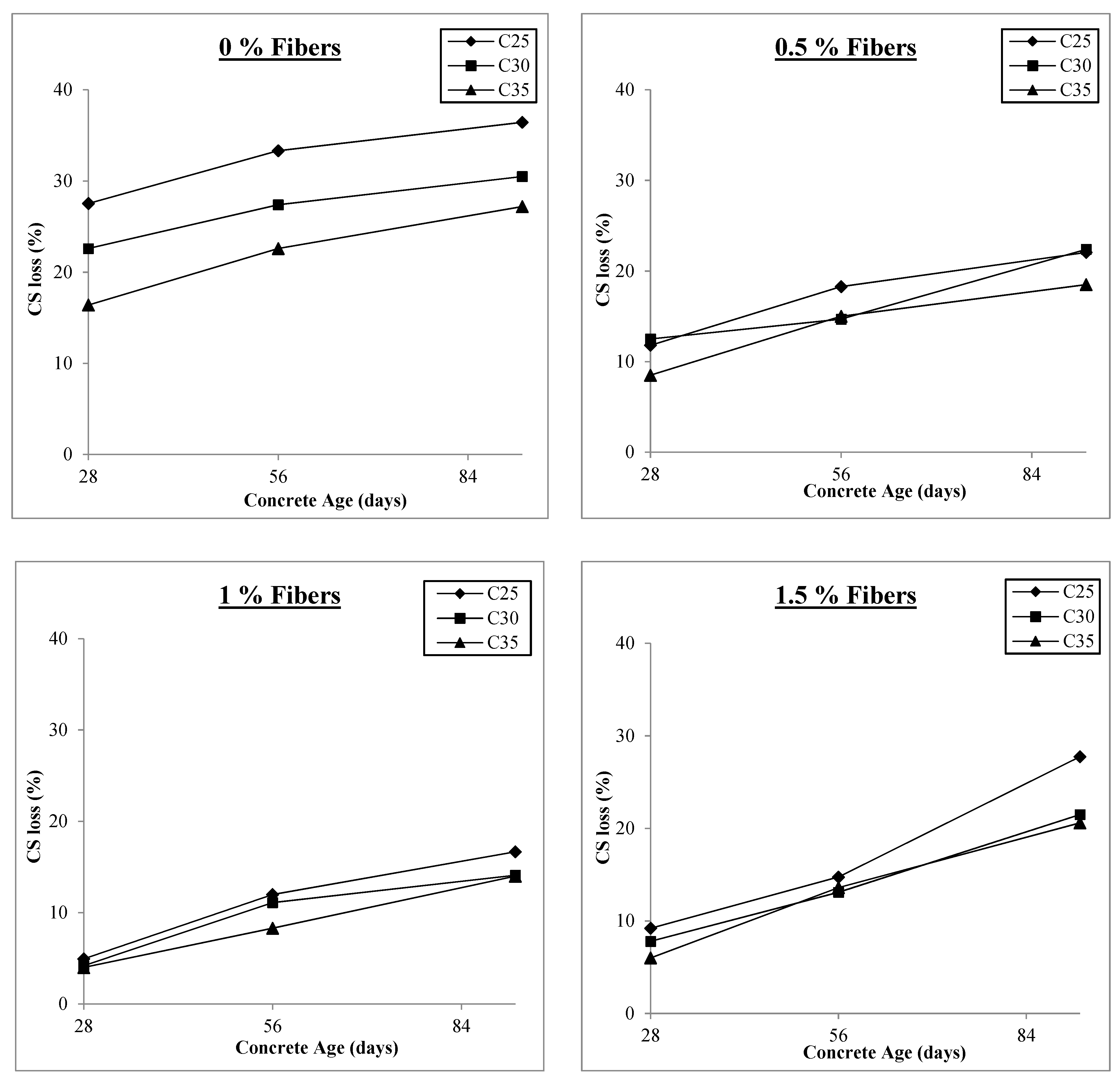
6.2.1. Freezing and Thawing
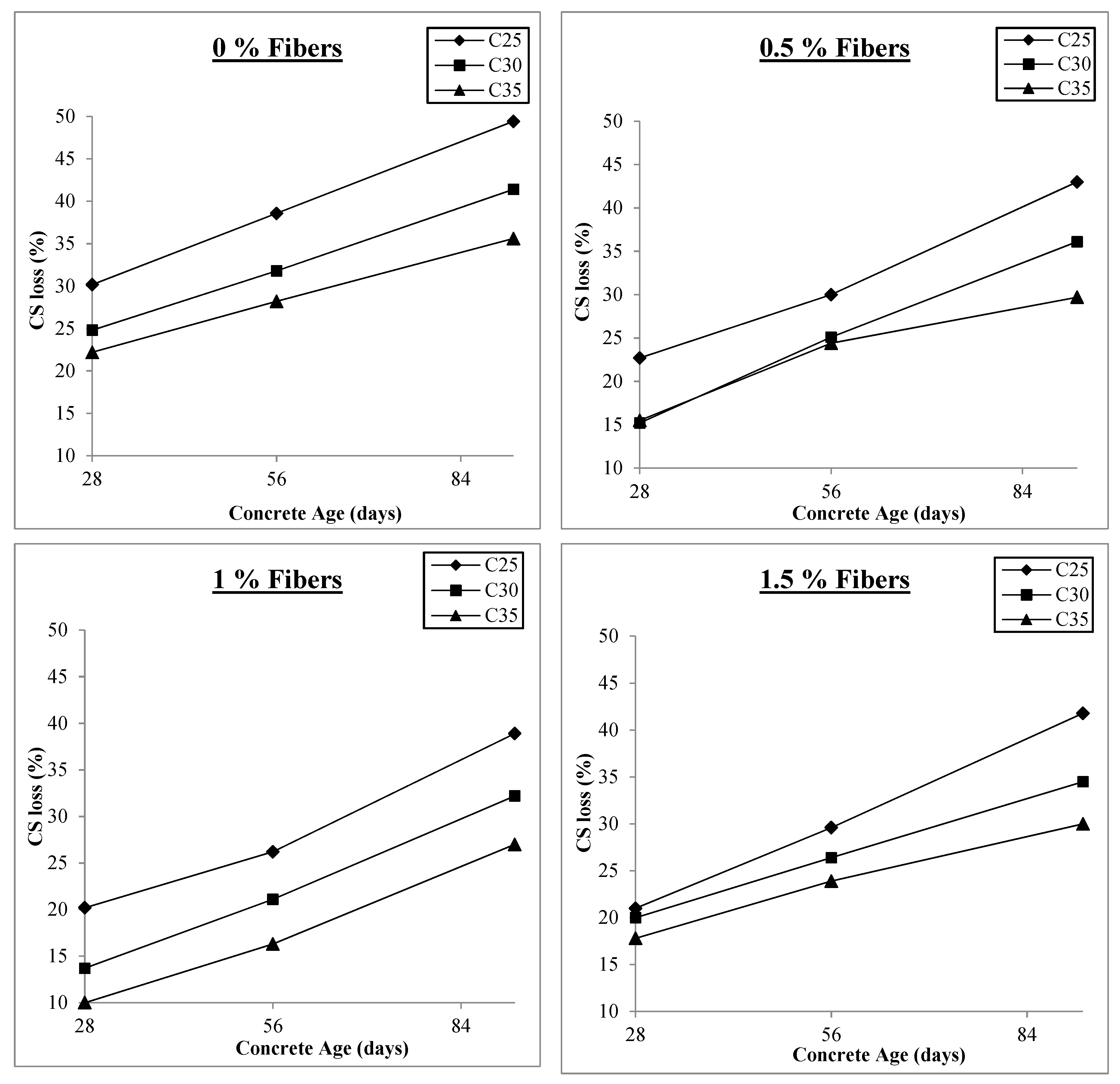
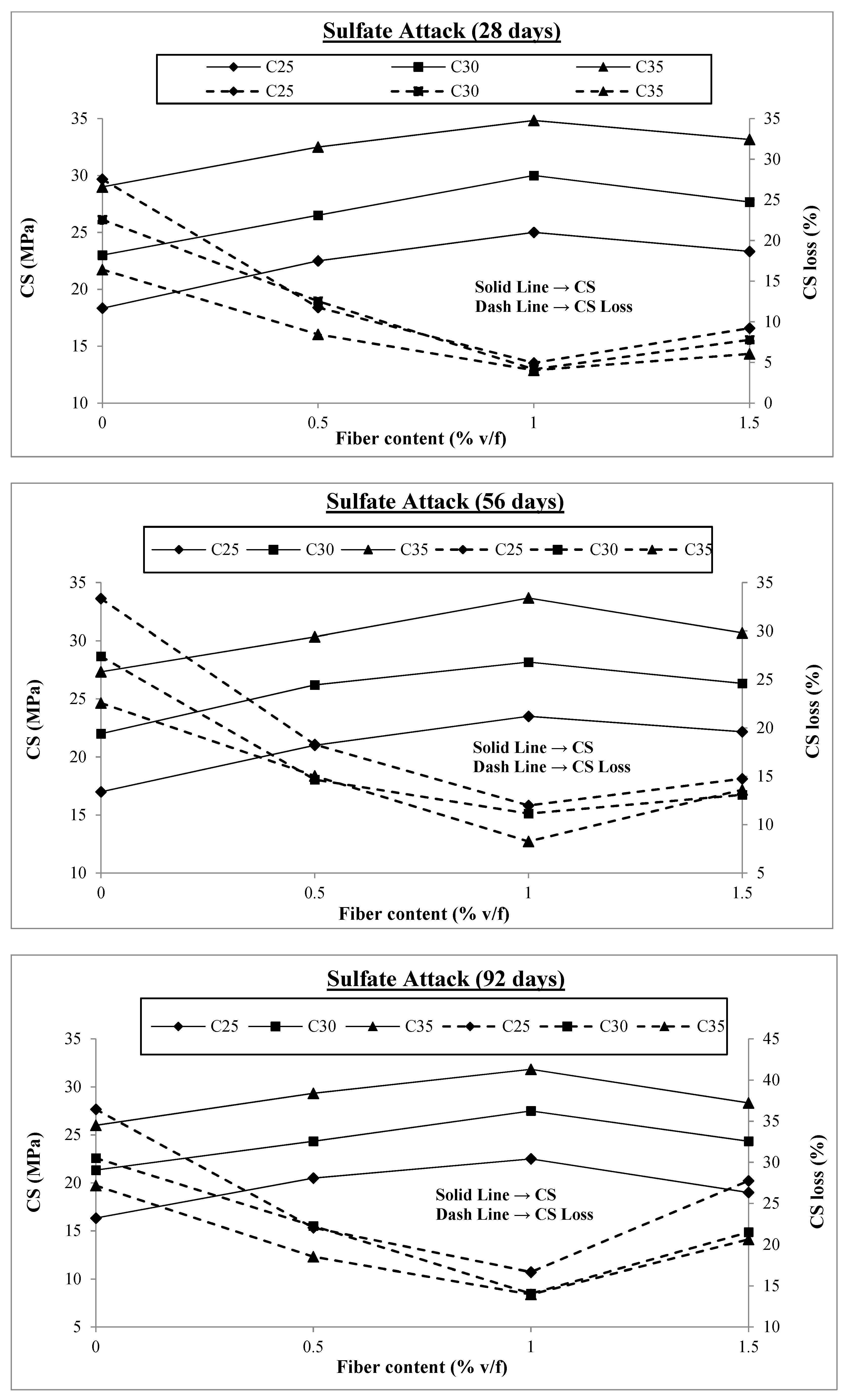
6.2.2. Sulfate Attack
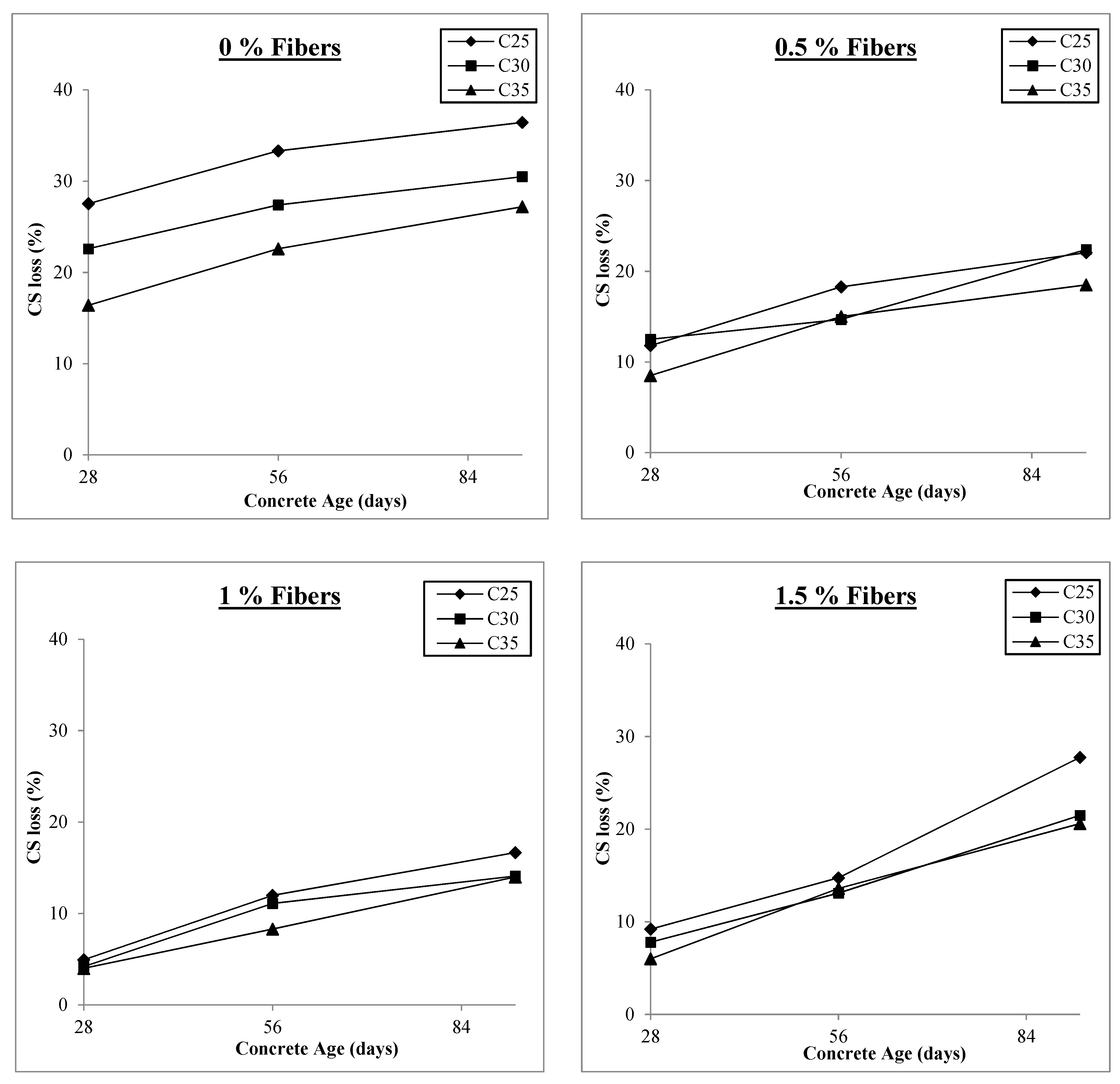
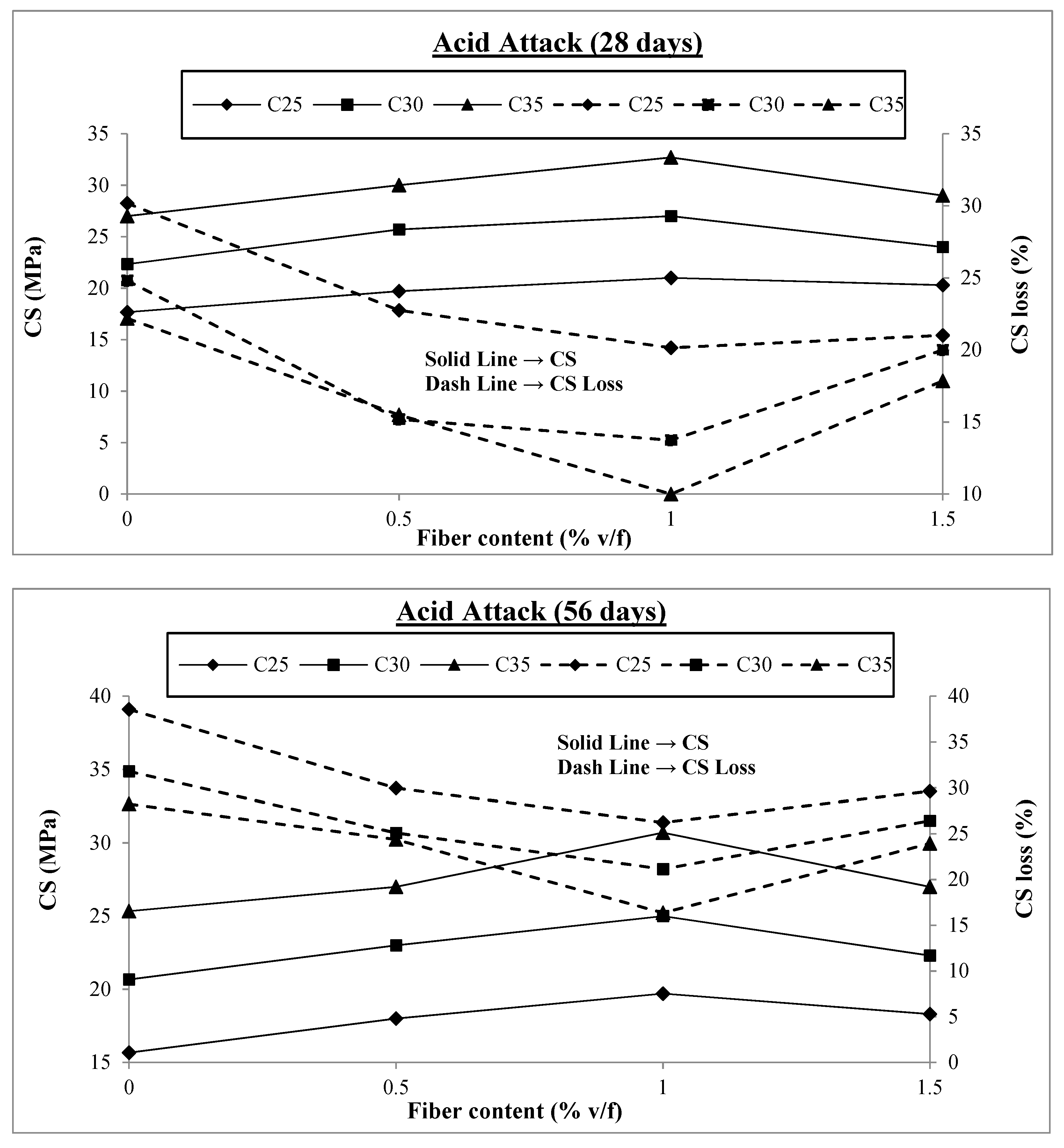
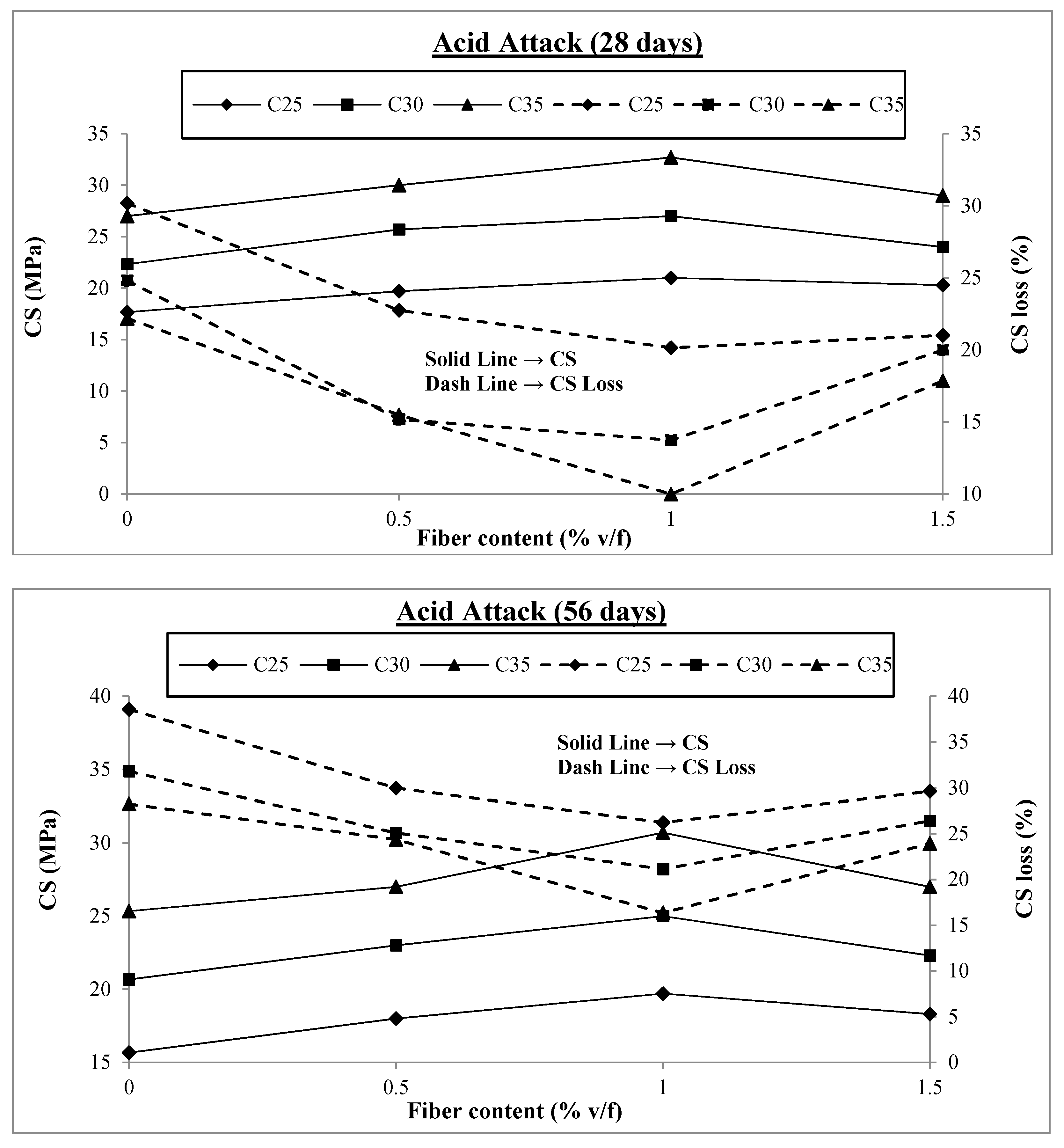
6.2.3. Acid Attack
7. Conclusions
- There is a reduction in the slump flow of concrete when macro PP fibers are added to concrete, and its content is further increased because fibers hinder concrete flow. However, this reduction is not as significant as that of steel fibers, which may be because the comparatively smoother surface of PP fibers reduces surface friction during concrete flow.
- There is a significant increase in the air content of concrete when macro-polypropylene fibers are added to it. This significant increase may be attributed to the hindrance fibers provide to concrete compaction and, most notably, the undulations on the surface of fibers facilitating the entrapment of air around these undulations.
- The resistance of concrete containing macro-polypropylene fibers to freezing and thawing cycles is significantly improved up to a fiber content of 1% and then starts to decrease. The resistance in this study improved by up to 72% at 92 days. This significant increase may be attributed to the improved bridging effect of fibers because of the enhanced mechanical anchorage provided by the fibers’ surface undulations. However, beyond the optimal fiber content, its performance starts to degrade, which is 1% in this study.
- The addition of macro-polypropylene fibers to concrete significantly increases its resistance against sulfate attacks due to their bridging effect, like in freezing and thawing. The maximum resistance is up to 54% at a 1% fiber content, but this resistance reduces significantly after the fiber content is increased beyond the optimal level because of the increase in the porosity of the concrete facilitating the sulfate ingress.
- The addition of macro-polypropylene fibers to concrete improves its resistance against acid attack, however, to a lesser extent compared to freezing and thawing cycles and sulfate attack. The maximum resistance of up to 24% is achieved with a 1% fiber content and starts to lower with a further increase in fiber content because the increase in the porosity of the concrete makes the attack more severe. The lower resistance in the case of acid attack may be because, in this case, the cement paste is directly attacked by acid, disintegrating it, and thus, the fiber bridging effect is of lower importance.
- Higher-strength concrete possesses more resistance to severe exposures like freezing and thawing, sulfate, and acid attacks because of better concrete quality and improved bonding of fibers in concrete, boosting its performance.
Author Contributions
Funding
Data Availability Statement
Conflicts of Interest
References
- Thaker, T.; Dalal, S.P.; Motiani, R.; Contractor, H. Effect of Electrical Grade Glass fibers and Alkaline Resistant Glass fibers on high strength concrete. Mater. Today Proc. 2022, 62, 6998–7001. [Google Scholar] [CrossRef]
- Tran, T.Q.; Thomas, B.S.; Zhang, W.; Ji, B.; Li, S.; Brand, A.S. A comprehensive review on treatment methods for end-of-life tire rubber used for rubberized cementitious materials. Constr. Build. Mater. 2022, 359, 129365. [Google Scholar] [CrossRef]
- Daneshvar, D.; Behnood, A.; Robisson, A. Interfacial bond in concrete-to-concrete composites: A review. Constr. Build. Mater. 2022, 359, 129195. [Google Scholar] [CrossRef]
- Iqbal, S.; Ali, A.; Holschemacher, K.; Bier, T.A. Mechanical properties of steel fiber reinforced high strength lightweight self-compacting concrete (SHLSCC). Constr. Build. Mater. 2015, 98, 325–333. [Google Scholar] [CrossRef]
- Paktiawal, A.; Alam, M. Alkali-resistant glass fiber high strength concrete and its durability parameters. Mater. Today 2021, 47, 4758–4766. [Google Scholar] [CrossRef]
- Iqbal, S.; Ali, I.; Room, S.; Khan, S.A.; Ali, A. Enhanced mechanical properties of fiber reinforced concrete using closed steel fibers. Mater. Struct. 2019, 52, 56. [Google Scholar] [CrossRef]
- Awani, O.; El-Maaddawy, T.; Ismail, N. Fabric-reinforced cementitious matrix: A promising strengthening technique for concrete structures. Constr. Build. Mater. 2017, 132, 94–111. [Google Scholar] [CrossRef]
- Pruthviraj, K.N.; Mahalingasharma, S.J.; Patil, S. Experimental study on strength behaviour of concrete reinforced with natural fibers. Mater. Today Proc. 2023, 80, 659–667. [Google Scholar] [CrossRef]
- American Concrete Institute. ACI Committee Report 237R-07 Self-Consolidating Concrete; American Concrete Institute: Farmington Hills, MI, USA, 2007. [Google Scholar]
- Guo, Z.; Jiang, T.; Zhang, J.; Kong, X.; Chen, C.; Lehman, D.E. Mechanical and durability properties of sustainable self-compacting concrete with recycled concrete aggregate and fly ash, slag and silica fume. Constr. Build. Mater. 2019, 231, 117115. [Google Scholar] [CrossRef]
- Rehman, S.; Iqbal, S.; Ali, A. Combined influence of glass powder and granular steel slag on fresh and mechanical properties of self-compacting concrete. Constr. Build. Mater. 2018, 178, 153–160. [Google Scholar] [CrossRef]
- Ali, S.; Iqbal, S.; Room, S.; Ali, A.; Rahman, Z. Effect of Fly Ash on Properties of Self-Compacting High Strength Lightweight Concrete. Period. Polytech. Civ. Eng. 2016, 61, 81–87. [Google Scholar]
- Karakurt, C.; Dumangöz, M. Rheological and Durability Properties of Self-Compacting Concrete Produced Using Marble Dust and Blast Furnace Slag. Materials 2022, 15, 1795. [Google Scholar] [CrossRef] [PubMed]
- Kovačević, M.; Lozančić, S.; Nyarko, E.K.; Hadzima-Nyarko, M. Application of Artificial Intelligence Methods for Predicting the Compressive Strength of Self-Compacting Concrete with Class F Fly Ash. Materials 2022, 15, 4191. [Google Scholar] [CrossRef] [PubMed]
- Longarini, N.; Crespi, P.G.; Zucca, M.; Giordano, N.; Silvestro, G. The advantages of fly ash use in concrete structures. Inżynieria Miner. 2014, 15, 141–145. [Google Scholar]
- Hasan, R.; Sobuz, M.H.R.; Akid, A.S.M.; Awall, M.R.; Houda, M.; Saha, A. Eco-friendly self-consolidating concrete production with reinforcing jute fiber. J. Build. Eng. 2023, 63, 105519. [Google Scholar] [CrossRef]
- Hari, R.; Mini, K. Mechanical and durability properties of sisal-Nylon 6 hybrid fibre reinforced high strength SCC. Constr. Build. Mater. 2019, 204, 479–491. [Google Scholar] [CrossRef]
- Kumar, S.; Doshi, H.; Srinivasarao, M.; Park, J.O.; Schiraldi, D.A. Fibers from polypropylene/nano carbon fiber composites. Polymer 2002, 43, 1701–1703. [Google Scholar] [CrossRef]
- Yakhlaf, M.; Safiuddin, M.; Soudki, K. Properties of freshly mixed carbon fibre reinforced self-consolidating concrete. Constr. Build. Mater. 2013, 46, 224–231. [Google Scholar] [CrossRef]
- Zhang, P.; Wei, S.; Wu, J.; Zhang, Y.; Zheng, Y. Investigation of mechanical properties of PVA fiber-reinforced cementitious composites under the coupling effect of wet-thermal and chloride salt environment. Case Stud. Constr. Mater. 2022, 17, e01325. [Google Scholar] [CrossRef]
- Murthy, A.R.; Ganesh, P. Effect of steel fibres and nano silica on fracture properties of medium strength concrete. Adv. Concr. Constr. 2019, 7, 143–150. [Google Scholar]
- Zhang, P.; Wang, W.; Lv, Y.; Gao, Z.; Dai, S. Effect of polymer coatings on the permeability and chloride ion penetration resistances of nano-particles and fibers-modified cementitious composites. Polymers 2022, 14, 3258. [Google Scholar] [CrossRef] [PubMed]
- Zheng, Y.; Zhuo, J.; Zhang, P.; Ma, M. Mechanical properties and meso-microscopic mechanism of basalt fiber-reinforced recycled aggregate concrete. J. Clean. Prod. 2022, 370, 133555. [Google Scholar] [CrossRef]
- Simalti, A.; Singh, A. Comparative study on performance of manufactured steel fiber and shredded tire recycled steel fiber reinforced self-consolidating concrete. Constr. Build. Mater. 2021, 266, 121102. [Google Scholar] [CrossRef]
- Salam, A.; Room, S.; Iqbal, S.; Mahmood, K.; Iqbal, Q. An Experimental Study of Bond Behavior of Micro Steel Fibers Added Self-compacting Concrete with Steel Reinforcement. Period. Polytech. Civ. Eng. 2020, 64, 1144–1152. [Google Scholar] [CrossRef]
- Ali, A.; Iqbal, S.; Holschemacher, K.; Bier, T.A. Comparison of Flexural Performance of Lightweight Fibre-Reinforced Concrete and Normalweight Fibre-reinforced Concrete. Period. Polytech. Civ. Eng. 2017, 61, 498–504. [Google Scholar] [CrossRef]
- Zhang, P.; Wang, C.; Gao, Z.; Wang, F. A review on fracture properties of steel fiber reinforced concrete. J. Build. Eng. 2023, 67, 105975. [Google Scholar] [CrossRef]
- Wang, J.; Dai, Q.; Si, R.; Ma, Y.; Guo, S. Fresh and mechanical performance and freeze-thaw durability of steel fiber-reinforced rubber self-compacting concrete (SRSCC). J. Clean. Prod. 2020, 277, 123180. [Google Scholar] [CrossRef]
- Aarthi, K.; Arunachalam, K. Durability studies on fibre reinforced self compacting concrete with sustainable wastes. J. Clean. Prod. 2018, 174, 247–255. [Google Scholar] [CrossRef]
- Yehia, S.; Douba, A.; Abdullahi, O.; Farrag, S. Mechanical and durability evaluation of fiber-reinforced self-compacting concrete. Constr. Build. Mater. 2016, 121, 120–133. [Google Scholar] [CrossRef]
- Frazão, C.; Camões, A.; Barros, J.; Gonçalves, D. Durability of steel fiber reinforced self-compacting concrete. Constr. Build. Mater. 2015, 80, 155–166. [Google Scholar] [CrossRef]
- Sereewatthanawut, I.; Pansuk, W.; Pheinsusom, P.; Prasittisopin, L. Chloride-induced corrosion of a galvanized steel-embedded calcium sulfoaluminate stucco system. J. Build. Eng. 2021, 44, 103376. [Google Scholar] [CrossRef]
- Hwang, J.P.; Jung, M.S.; Kim, M.; Ann, K.Y. Corrosion risk of steel fibre in concrete. Constr. Build. Mater. 2015, 101, 239–245. [Google Scholar] [CrossRef]
- Lv, L.S.; Wang, J.Y.; Xiao, R.C.; Fang, M.S.; Tan, Y. Influence of steel fiber corrosion on tensile properties and cracking mechanism of ultra-high performance concrete in an electrochemical corrosion environment. Constr. Build. Mater. 2021, 278, 122338. [Google Scholar] [CrossRef]
- Granju, J.L.; Balouch, S.U. Corrosion of steel fibre reinforced concrete from the cracks. Cem. Concr. Res. 2005, 35, 572–577. [Google Scholar] [CrossRef]
- Morse, D.C.; Williamson, G.R. Corrosion Behavior of Steel Fibrous Concrete; Department of Defense, Department of the Army Corps of Engineers Construction Engineering Research Laboratory: Champaign, IL, USA, 1977. [Google Scholar]
- Shin, W.; Yoo, D.Y. Influence of steel fibers corroded through multiple microcracks on the tensile behavior of ultra-high-performance concrete. Constr. Build. Mater. 2020, 259, 120428. [Google Scholar] [CrossRef]
- Güneyisi, E.; Atewi, Y.R.; Hasan, M.F. Fresh and rheological properties of glass fiber reinforced self-compacting concrete with nanosilica and fly ash blended. Constr. Build. Mater. 2019, 211, 349–362. [Google Scholar] [CrossRef]
- Liao, J.; Zeng, J.-J.; Bai, Y.-L.; Zhang, L. Bond strength of GFRP bars to high strength and ultra-high strength fiber reinforced seawater sea-sand concrete (SSC). Compos. Struct. 2022, 281, 115013. [Google Scholar] [CrossRef]
- Mirza, F.A.; Soroushian, P. Effects of alkali-resistant glass fiber reinforcement on crack and temperature resistance of lightweight concrete. Cem. Concr. Compos. 2002, 24, 223–227. [Google Scholar] [CrossRef]
- Deng, Z.C.; Xue, H.Q.; Wang, L.; Zeng, H.C.; Zhang, L. Flexural toughness of alkaliresistance glass fiber reinforced concrete. New Build. Mater. 2009, 36, 23–24. [Google Scholar]
- Atewi, Y.R.; Hasan, M.F.; Güneyisi, E. Fracture and permeability properties of glass fiber reinforced self-compacting concrete with and without nanosilica. Constr. Build. Mater. 2019, 226, 993–1005. [Google Scholar] [CrossRef]
- Scheffler, C.; Gao, S.; Plonka, R.; Mäder, E.; Hempel, S.; Butler, M.; Mechtcherine, V. Interphase modification of alkali-resistant glass fibres and carbon fibres for textile reinforced concrete I: Fibre properties and durability. Compos. Sci. Technol. 2009, 69, 531–538. [Google Scholar] [CrossRef]
- Salehi, P.; Dabbagh, H.; Ashengroph, M. Effects of microbial strains on the mechanical and durability properties of lightweight concrete reinforced with polypropylene fiber. Constr. Build. Mater. 2022, 322, 126519. [Google Scholar] [CrossRef]
- Murthy, S.S.; Patil, N.N. Mechanical and durability characteristics of flyash and GGBFS based polypropylene fibre reinforced geopolymer concrete. Mater. Today Proc. 2022, 59, 18–24. [Google Scholar] [CrossRef]
- Rashid, M.U. Experimental investigation on durability characteristics of steel and polypropylene fiber reinforced concrete exposed to natural weathering action. Constr. Build. Mater. 2020, 250, 118910. [Google Scholar] [CrossRef]
- Cui, K.; Xu, L.; Li, X.; Hu, X.; Huang, L.; Deng, F.; Chi, Y. Fatigue life analysis of polypropylene fiber reinforced concrete under axial constant-amplitude cyclic compression. J. Clean. Prod. 2021, 319, 128610. [Google Scholar] [CrossRef]
- Dharmaraj, R.; Anusha, G.; Narayanan, K.; Rathipriya, C.; Girish, G.; Chandraprakash, V. Performance of polypropylene reinforced self-compacting concrete. Mater. Today Proc. 2023, in press. [CrossRef]
- Kumar, M.A.; Balaji, S.; Selvapraveen, S.; Kulanthaivel, P. Laboratory study on mechanical properties of self compacting concrete using marble waste and polypropylene fiber. Clean. Mater. 2022, 6, 100156. [Google Scholar] [CrossRef]
- Cao, Y.; Zhao, G.; Zhang, Y.; Hou, C.; Mao, L. Unified Stress–Strain Model of FRP-Confined Square and Circle Rubber Concrete Columns. Materials 2022, 15, 1832. [Google Scholar] [CrossRef]
- Bhat, A.R.; Vikram, A. Performance of concrete with polypropylene fibre and polyvinyl chloride fibre. Mater. Today Proc. 2023, in press. [CrossRef]
- Wang, J.; Dai, Q.; Si, R.; Guo, S. Mechanical, durability, and microstructural properties of macro synthetic polypropylene (PP) fiber-reinforced rubber concrete. J. Clean. Prod. 2019, 234, 1351–1364. [Google Scholar] [CrossRef]
- Zainal, S.M.I.S.; Hejazi, F.; Mafaileh, A.M.A. Strengthening of Reinforced Concrete slabs using macro and micro synthetic fibers. Structures 2023, 51, 1579–1590. [Google Scholar] [CrossRef]
- Mohammadhosseini, H.; Alrshoudi, F.; Tahir, M.M.; Alyousef, R.; Alghamdi, H.; Alharbi, Y.R.; Alsaif, A. Durability and thermal properties of prepacked aggregate concrete reinforced with waste polypropylene fibers. J. Build. Eng. 2020, 32, 101723. [Google Scholar] [CrossRef]
- ASTM C150/C150M-17; Standard Specification for Portland Cement. ASTM International: West Conshohocken, PA, USA, 2017.
- ASTM C 33e03; Standard Specifications for Coarse Aggregate. ASTM International: West Conshohocken, PA, USA, 2003.
- ASTM C 127e01; Standard Test Method for Density, Relative Density (Specific Gravity), and Absorption of Coarse Aggregate. ASTM International: West Conshohocken, PA, USA, 2001.
- ASTM C 128e01; Standard Test Method for Density, Relative Density (Specific Gravity), and Absorption of Fine Aggregate. ASTM International: West Conshohocken, PA, USA, 2001.
- EFNARC. Specification and Guidelines for Self-Compacting Concrete; European Project Group: Surrey, UK, 2002. [Google Scholar]
- ASTM C1611/C1611M; Standard Test Method for Slump Flow of Self-Consolidating Concrete. ASTM International: West Conshohocken, PA, USA, 2021.
- ASTM C138/C138M; Standard Test Method for Density (Unit Weight), Yield and Air Content (Gravimetric) of Concrete. ASTM international: West Conshohocken, PA, USA, 2013.
- ASTM C192/C192M 16a; Standard Practice for Making and Curing Concrete Test Specimens in the Laboratory. ASTM International: West Conshohocken, PA, USA, 2016.
- Thwe Win, T.; Jongvivatsakul, P.; Jirawattanasomkul, T.; Prasittisopin, L.; Likitlersuang, S. Use of polypropylene fibers extracted from recycled surgical face masks in cement mortar. Constr. Build. Mater. 2023, 391, 131845. [Google Scholar] [CrossRef] [PubMed]
- Ahmad, J.; Burduhos-Nergis, D.D.; Arbili, M.M.; Alogla, S.M.; Majdi, A.; Deifalla, A.F. A Review on Failure Modes and Cracking Behaviors of Polypropylene Fibers Reinforced Concrete. Buildings 2022, 12, 1951. [Google Scholar] [CrossRef]
- Karahan, O.; Atiş, C.D. The durability properties of polypropylene fiber reinforced fly ash concrete. Mater. Des. 2011, 32, 1044–1049. [Google Scholar] [CrossRef]
- Wang, R.; Hu, Z.; Li, Y.; Wang, K.; Zhang, H. Review on the deterioration and approaches to enhance the durability of concrete in the freeze–thaw environment. Constr. Build. Mater. 2022, 321, 126371. [Google Scholar] [CrossRef]
- Hosseinzadeh, H.; Salehi, A.M.; Mehraein, M.; Asadollahfardi, G. The effects of steel, polypropylene, and high-performance macro polypropylene fibers on mechanical properties and durability of high-strength concrete. Constr. Build. Mater. 2023, 386, 131589. [Google Scholar] [CrossRef]
- Kakooei, S.; Akil, H.M.; Jamshidi, M.; Rouhi, J. The effects of polypropylene fibers on the properties of reinforced concrete structures. Constr. Build. Mater. 2012, 27, 73–77. [Google Scholar] [CrossRef]
- Ganesan, N.; Abraham, R.; Raj, S.D. Durability characteristics of steel fibre reinforced geopolymer concrete. Constr. Build. Mater. 2015, 93, 471–476. [Google Scholar] [CrossRef]











| Constituents | % Age by Weight |
|---|---|
| Lime (CaO) | 60.24 |
| Silica (SiO2) | 19.57 |
| Alumina (Al2O3) | 5.95 |
| Iron Oxide (Fe2O3) | 3.96 |
| Magnesia (MgO) | 3.71 |
| Sulphur Trioxide (SO3) | 2.81 |
| Sodium Oxide (Na2O) | 0.93 |
| Loss on ignition | 1.92 |
| Insoluble residue | 0.91 |
| C3S | 42.8 |
| C2S | 23.9 |
| C3A | 9.1 |
| C4AF | 12 |
| Material | Size (mm) | Water Absorption (%) | Specific Gravity |
|---|---|---|---|
| Fine Aggregate | 0–2 | 1.3 | 2.60 |
| Coarse Aggregate | 2–12.5 | 1.1 | 2.62 |
| Fly Ash | - | - | 2.08 |
| Superplasticizer | - | - | 1.08 |
| Sr. No. | Description | Property |
|---|---|---|
| 1 | Color | Natural white |
| 2 | Length | 30 mm |
| 3 | Width | 1.24 mm |
| 4 | Density | 910 kg/m3 |
| 5 | Melting point | 160 °C |
| 6 | Ignition point | 350 °C |
| 7 | Thermal and electrical conductivity | Low |
| 8 | Absorption | Nil |
| 9 | Tensile strength | 465 N/mm2 |
| 10 | Modulus of elasticity | 7.5 kN/mm2 |
| Concrete Type | Quantities (kg/m3) | ||||||
|---|---|---|---|---|---|---|---|
| MPF | Cement | Fly Ash | Super Plasticizer | Coarse Aggregate | Fine Aggregate | Water | |
| C25 | 0 | 400 | 100 | 4 | 915 | 650 | 170 |
| 4.55 | 400 | 100 | 4 | 915 | 650 | 170 | |
| 9.1 | 400 | 100 | 4 | 915 | 650 | 170 | |
| 13.65 | 400 | 100 | 4 | 915 | 650 | 170 | |
| C30 | 0 | 400 | 100 | 4.75 | 915 | 650 | 160 |
| 4.55 | 400 | 100 | 4.75 | 915 | 650 | 160 | |
| 9.1 | 400 | 100 | 4.75 | 915 | 650 | 160 | |
| 13.65 | 400 | 100 | 4.75 | 915 | 650 | 160 | |
| C35 | 0 | 400 | 100 | 5.75 | 915 | 650 | 150 |
| 4.55 | 400 | 100 | 5.75 | 915 | 650 | 150 | |
| 9.1 | 400 | 100 | 5.75 | 915 | 650 | 150 | |
| 13.65 | 400 | 100 | 5.75 | 915 | 650 | 150 | |
| Concrete | Fiber Content (% v/f) | Slump Flow (mm) | J-Ring (mm) | L-Box Value | V-Funnel Time (Sec) | Density (kg/m3) | Air Content (%) |
|---|---|---|---|---|---|---|---|
| C25 | 0 | 820 | 800 | 0.98 | 6 | 2410 | 3.7 |
| 0.5 | 800 | 760 | 0.89 | 8 | 2395 | 4.1 | |
| 1 | 785 | 730 | 0.85 | 11 | 2385 | 4.4 | |
| 1.5 | 755 | 680 | 0.82 | 15 | 2350 | 4.9 | |
| C30 | 0 | 775 | 750 | 0.96 | 7 | 2415 | 3.6 |
| 0.5 | 740 | 695 | 0.87 | 10 | 2390 | 3.9 | |
| 1 | 725 | 665 | 0.84 | 12 | 2380 | 4.3 | |
| 1.5 | 705 | 630 | 0.80 | 17 | 2365 | 5.2 | |
| C35 | 0 | 720 | 690 | 0.92 | 8 | 2425 | 3.7 |
| 0.5 | 670 | 625 | 0.86 | 11 | 2395 | 4 | |
| 1 | 645 | 600 | 0.81 | 14 | 2370 | 4.6 | |
| 1.5 | 630 | 540 | 0.76 | 20 | 2350 | 5.3 |
| Concrete | Fiber Content (% v/f) | Compressive Strength (MPa) | ||
|---|---|---|---|---|
| 28 Days | 56 Days | 92 Days | ||
| C25 | 0 | 24.3 | 26 | 26.9 |
| 0.5 | 24.5 | 26.2 | 27.6 | |
| 1 | 25.3 | 27.5 | 28.1 | |
| 1.5 | 24.7 | 26.5 | 27.4 | |
| C30 | 0 | 28.7 | 30.9 | 32.3 |
| 0.5 | 29.3 | 31.2 | 32.6 | |
| 1 | 30.3 | 32.4 | 33.2 | |
| 1.5 | 29 | 30.8 | 32.4 | |
| C35 | 0 | 33.7 | 35.8 | 36.9 |
| 0.5 | 34.5 | 36.3 | 37.1 | |
| 1 | 35.3 | 37.2 | 38.2 | |
| 1.5 | 34.3 | 36 | 37.2 | |
Disclaimer/Publisher’s Note: The statements, opinions and data contained in all publications are solely those of the individual author(s) and contributor(s) and not of MDPI and/or the editor(s). MDPI and/or the editor(s) disclaim responsibility for any injury to people or property resulting from any ideas, methods, instructions or products referred to in the content. |
© 2024 by the authors. Licensee MDPI, Basel, Switzerland. This article is an open access article distributed under the terms and conditions of the Creative Commons Attribution (CC BY) license (https://creativecommons.org/licenses/by/4.0/).
Share and Cite
Chen, Y.; Waheed, M.S.; Iqbal, S.; Rizwan, M.; Room, S. Durability Properties of Macro-Polypropylene Fiber Reinforced Self-Compacting Concrete. Materials 2024, 17, 284. https://doi.org/10.3390/ma17020284
Chen Y, Waheed MS, Iqbal S, Rizwan M, Room S. Durability Properties of Macro-Polypropylene Fiber Reinforced Self-Compacting Concrete. Materials. 2024; 17(2):284. https://doi.org/10.3390/ma17020284
Chicago/Turabian StyleChen, Yaqin, Muhammad Shukat Waheed, Shahid Iqbal, Muhammad Rizwan, and Shah Room. 2024. "Durability Properties of Macro-Polypropylene Fiber Reinforced Self-Compacting Concrete" Materials 17, no. 2: 284. https://doi.org/10.3390/ma17020284
APA StyleChen, Y., Waheed, M. S., Iqbal, S., Rizwan, M., & Room, S. (2024). Durability Properties of Macro-Polypropylene Fiber Reinforced Self-Compacting Concrete. Materials, 17(2), 284. https://doi.org/10.3390/ma17020284
