Multiferroic and Phonon Properties of the Double Perovskite Pr2FeAlO6
Abstract
1. Introduction
2. Model and Method
3. Numerical Results and Discussion
3.1. Temperature Dependence of the Magnetization in PFAO
3.2. Magnetic Field Dependence of the Polarization in PFAO
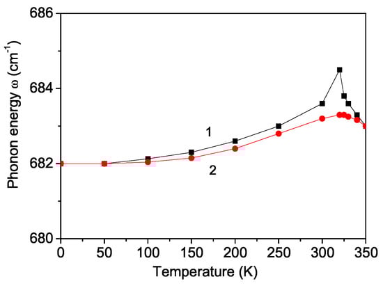
3.3. Temperature and Magnetic Field Dependence of the Phonon Energy in PFAO
3.4. Temperature and Magnetic Field Dependence of Phonon Damping in PFAO
4. Conclusions
Author Contributions
Funding
Institutional Review Board Statement
Informed Consent Statement
Data Availability Statement
Conflicts of Interest
References
- Fiebig, M. Revival of the magnetoelectric effect. J. Phys. D 2005, 38, R123. [Google Scholar] [CrossRef]
- Liu, S.; Xiang, F.; Cheng, Y.; Luo, Y.; Sun, J. Multiferroic and Magnetodielectric Effects in Multiferroic Pr2FeAlO6 Double Perovskite. Nanomater 2022, 12, 3011. [Google Scholar] [CrossRef]
- Ravi, S. Multiferroism in Pr2FeCrO6 perovskite. J. RareEarth. 2018, 36, 1175–1178. [Google Scholar] [CrossRef]
- Vasala, S.; Karppinen, M. A2B′B″O6 perovskites: A review. Prog. SolidStateChem. 2015, 43, 1–36. [Google Scholar] [CrossRef]
- Hossain, A.; Bandyopadhyay, P.; Roy, S. An overview of double perovskites A2B′B″O6 with small ions at A site: Synthesis, structure and magnetic properties. J. AlloysCompd. 2018, 740, 414–427. [Google Scholar] [CrossRef]
- Song, B.; Shen, J.; Zhao, H.; Kumar, A.; Xu, Q.; Zhai, Y.; Li, Q. A new room-temperature multiferroic material: Y2FeAlO6. Ceram. Int. 2021, 47, 10873–10879. [Google Scholar] [CrossRef]
- Das, R.; Choudhary, R.N.P. Dielectric relaxation and magneto-electric characteristics of lead-free double perovskite: Sm2NiMnO6. J. Adv. Ceram. 2019, 8, 174–185. [Google Scholar] [CrossRef]
- Wu, S.-Q.; Cheng, S.; Lu, L.; Liu, M.; Jin, X.-W.; Cheng, S.-D.; Mi, S.-B. B-Site ordering and strain-induced phase transition in double-perovskite La2NiMnO6 Films. Sci. Rep. 2018, 8, 2516. [Google Scholar] [CrossRef] [PubMed]
- Masud, M.G.; Dey, K.; Ghosh, A.; Majumdar, S.; Giri, S. Occurrence of magnetoelectric effect correlated to the Dy order in Dy2NiMnO6 double perovskite. J. Appl. Phys. 2015, 118, 064104. [Google Scholar] [CrossRef]
- Das, N.; Singh, S.; Joshi, A.G.; Thirumal, M.; Reddy, V.R.; Gupta, L.C.; Ganguli, A.K. Pr2FeCrO6: A type I multiferroic. Inorg. Chem. 2017, 56, 12712–12718. [Google Scholar] [CrossRef]
- Zhao, H.; Song, B.; Shen, J.; Li, Q. Enhancement of Magnetoelectric Coupling in Rare Earth Substituted Y2FeAlO6 Ceramics. J. Supercond. NovelMagn. 2023, 36, 1133–1142. [Google Scholar] [CrossRef]
- Filho, R.B.M.; Ayala, A.P.; Paschoal, C.W.A. Spin-phonon coupling in Y2NiMnO6 double perovskite probed by Raman spectroscopy. Appl. Phys. Lett. 2013, 102, 192902. [Google Scholar] [CrossRef]
- Silva, R.X.; Santos, C.C.; Reichlova, H.; Marti, X.; Paniago, R.; Paschoal, C.W.A. Short-range antiferromagnetic interaction and spin-phonon coupling in La2CoMnO6 double perovskite. Vibr. Spectr. 2022, 123, 103426. [Google Scholar] [CrossRef]
- Iliev, M.N.; Guo, K.; Gupta, A. Raman spectroscopy evidence of strong spin-phonon coupling in epitaxial thin films of the double perovskite La2NiMnO6. Appl. Phys. Lett. 2007, 90, 151914. [Google Scholar] [CrossRef]
- Harbi, A.; Azouaoui, A.; Benmokhtar, S.; Moutaabbid, M. Synthesis, Characterization, and DFT Investigation of the Role of Oxygen Vacancy on the Structural, Magnetic, and Electronic Properties of La2CoMnO6. J. Supercond. NovelMagn. 2022, 35, 1–8. [Google Scholar] [CrossRef]
- Kumar, D.; Kumar, S.; Sathe, V.G. Raman studies of ordered double perovskite thin film at high temperatures. AIPConf. Proc. 2015, 1665, 140030. [Google Scholar] [CrossRef]
- Nair, H.S.; Swain, D.; Adiga, H.N.S.; Narayana, C.; Elzabeth, S. Griffiths phase-like behavior and spin-phonon coupling in double perovskite Tb2NiMnO6. J. Appl. Phys. 2011, 110, 123919. [Google Scholar] [CrossRef]
- Truong, K.D.; Singh, M.P.; Jandl, S.; Fournier, P. Investigation of phonon behavior in Pr2NiMnO6 by micro-Raman spectroscopy. J. Phys. Condens. Matter 2011, 23, 052202. [Google Scholar] [CrossRef] [PubMed]
- Tserkovnikov, Y.A. Decoupling of chains of equations for two-time Green’s functions. Theor. Math. Phys. 1971, 7, 511. [Google Scholar] [CrossRef]
- Apostolov, A.T.; Apostolova, I.N.; Wesselinowa, J.M. Magnetic field effect on the dielectric properties of rare earth doped multiferroic BiFeO3. J. Magn. Magn. Mater. 2020, 513, 167101. [Google Scholar] [CrossRef]
- Apostolov, A.T.; Apostolova, I.N.; Wesselinowa, J.M. The magnetoelectric effect in thin films of ferromagnetic semiconductor La2NiMnO6. Phys. StatusSolidiB 2014, 251, 1219–1224. [Google Scholar] [CrossRef]
- Wesselinowa, J.M.; Kovachev, S. Theoretical study of the phonon spectra of hexagonal multiferroics RMnO3. J. Phys. Condens. Matter 2007, 19, 386218. [Google Scholar] [CrossRef]
- Nasir, M.; Ahmed, A.; Park, H.J.; Sen, S. Evidence of spin-phonon coupling in La2NiMnO6 double perovskite. J. Korean Crystal Growth Crystal Techn. 2021, 31, 112–115. [Google Scholar] [CrossRef]
- Kumar, D.; Kumar, S.; Sathe, V.G. Spin–phonon coupling in ordered double perovskites A2CoMnO6 (A=La, Pr, Nd) probed by micro-Raman spectroscopy. Solid State Commun. 2014, 194, 59–64. [Google Scholar] [CrossRef]
- Bhatti, I.N.; Bhatti, I.N. Spin-phonon coupling and dielectric spectroscopy in nano-crystalline Pr2CoMnO6 double perovskite manganite. PhysicaB 2021, 610, 412943. [Google Scholar] [CrossRef]




Disclaimer/Publisher’s Note: The statements, opinions and data contained in all publications are solely those of the individual author(s) and contributor(s) and not of MDPI and/or the editor(s). MDPI and/or the editor(s) disclaim responsibility for any injury to people or property resulting from any ideas, methods, instructions or products referred to in the content. |
© 2024 by the authors. Licensee MDPI, Basel, Switzerland. This article is an open access article distributed under the terms and conditions of the Creative Commons Attribution (CC BY) license (https://creativecommons.org/licenses/by/4.0/).
Share and Cite
Apostolov, A.T.; Apostolova, I.N.; Wesselinowa, J.M. Multiferroic and Phonon Properties of the Double Perovskite Pr2FeAlO6. Materials 2024, 17, 4785. https://doi.org/10.3390/ma17194785
Apostolov AT, Apostolova IN, Wesselinowa JM. Multiferroic and Phonon Properties of the Double Perovskite Pr2FeAlO6. Materials. 2024; 17(19):4785. https://doi.org/10.3390/ma17194785
Chicago/Turabian StyleApostolov, Angel T., Iliana N. Apostolova, and Julia M. Wesselinowa. 2024. "Multiferroic and Phonon Properties of the Double Perovskite Pr2FeAlO6" Materials 17, no. 19: 4785. https://doi.org/10.3390/ma17194785
APA StyleApostolov, A. T., Apostolova, I. N., & Wesselinowa, J. M. (2024). Multiferroic and Phonon Properties of the Double Perovskite Pr2FeAlO6. Materials, 17(19), 4785. https://doi.org/10.3390/ma17194785

