Magnetomechanical Behaviors of Hard-Magnetic Elastomer Membranes Placed in Uniform Magnetic Field
Abstract
1. Introduction
2. Basic Equations of Nonlinear Magnetoelasticity
3. Hard-Magnetic Elastomer Membrane Theory
3.1. Nonlinear Magnetoelasticity
3.1.1. Deformation Procedures of the HMEM
3.1.2. Kinematics
3.1.3. Viscoelasticity
3.2. Solving Procedure
4. Results and Discussions
4.1. Validation
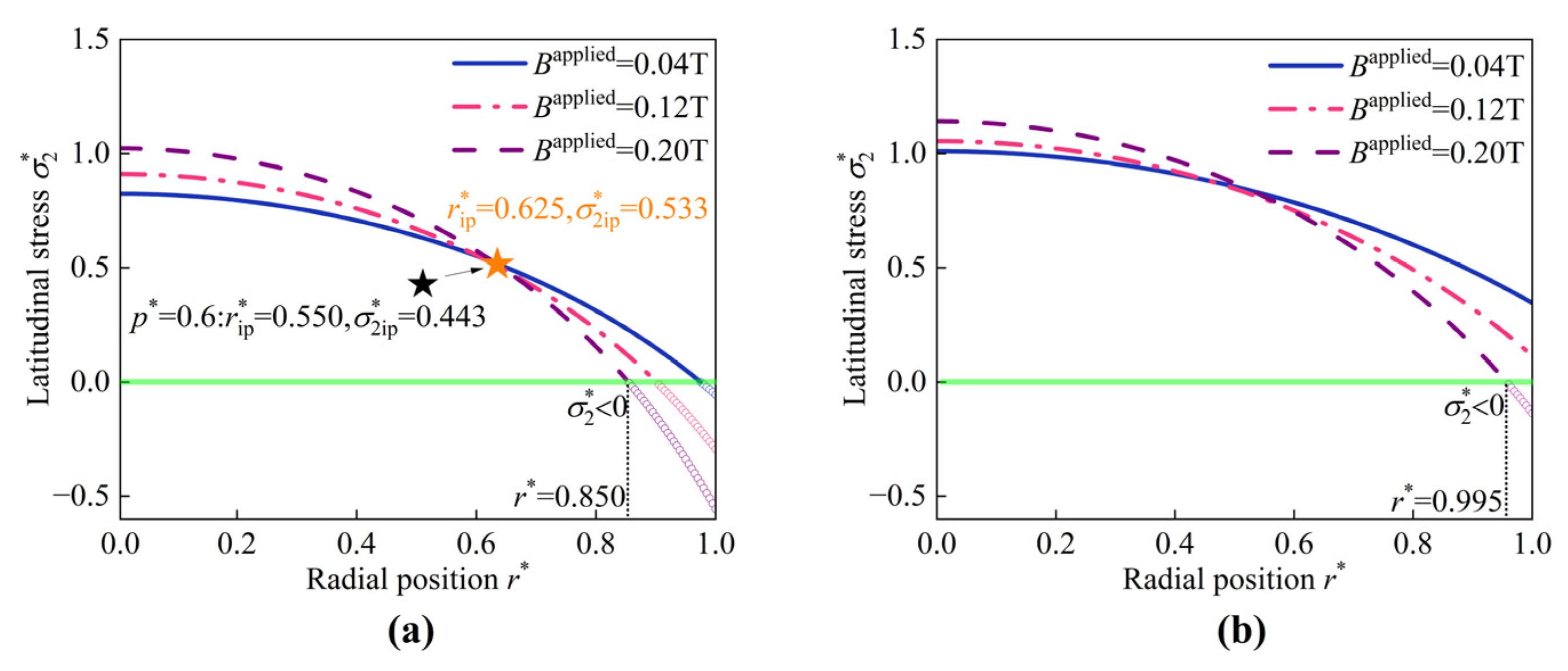
4.2. Magnetomechanical Behaviors under Magneto-Pneumatic Coupling
5. Conclusions
- Hyperelastic deformations of the HMEM.
- Viscoelasticity and instability of the HMEM.
Author Contributions
Funding
Institutional Review Board Statement
Informed Consent Statement
Data Availability Statement
Conflicts of Interest
Appendix A
References
- Kim, J.; Chung, S.E.; Choi, S.E.; Lee, H.; Kim, J.; Kwon, S. Programming magnetic anisotropy in polymeric microactuators. Nat. Mater. 2011, 10, 747–752. [Google Scholar] [CrossRef] [PubMed]
- Boncheva, M.; Andreev, S.A.; Mahadevan, L.; Winkleman, A.; Reichman, D.R.; Prentiss, M.G.; Whitesides, S.; Whitesides, G.M. Magnetic self-assembly of three-dimensional surfaces from planar sheets. Proc. Natl. Acad. Sci. USA 2005, 102, 3924–3929. [Google Scholar] [CrossRef] [PubMed]
- Jolly, M.R.; Carlson, J.D.; Munoz, B.C. A model of the behaviour of magnetorheological materials. Smart. Mater. Struct. 1996, 5, 607. [Google Scholar] [CrossRef]
- Chen, W.; Yan, Z.; Wang, L. Complex transformations of hard-magnetic soft beams by designing residual magnetic flux density. Soft. Matter. 2020, 16, 6379–6388. [Google Scholar] [CrossRef]
- Danas, K.; Kankanala, S.V.; Triantafyllidis, N. Experiments and modeling of iron-particle-filled magnetorheological elastomers. J. Mech. Phys. Solids. 2012, 60, 120–138. [Google Scholar] [CrossRef]
- Han, Y.; Hong, W.; Faidley, L.E. Field-stiffening effect of magneto-rheological elastomers. Int. J. Solids. Struct. 2013, 50, 2281–2288. [Google Scholar] [CrossRef]
- Chin, S.Y.; Poh, Y.C.; Kohler, A.C.; Compton, J.T.; Hsu, L.L.; Lau, K.M.; Kim, S.Y.; Lee, B.W.; Lee, F.Y.; Sia, S.K. Additive manufacturing of hydrogel-based materials for next-generation implantable medical devices. Sci. Robot. 2017, 2, 6451. [Google Scholar] [CrossRef] [PubMed]
- Erb, R.M.; Martin, J.J.; Soheilian, R.; Pan, C.Z.; Barber, J.R. Actuating soft matter with magnetic torque. Adv. Funct. Mater. 2016, 26, 3859–3880. [Google Scholar] [CrossRef]
- Hines, L.; Petersen, K.; Lum, G.Z.; Sitti, M. Soft actuators for small-scale robotics. Adv. Mater. 2017, 29, 1603483. [Google Scholar] [CrossRef]
- Martel, S. Beyond imaging: Macro-and microscale medical robots actuated by clinical MRI scanners. Sci. Robot. 2017, 2, 8119. [Google Scholar] [CrossRef]
- Hu, W.Q.; Lum, G.Z.; Mastrangeli, M.; Sitti, M. Small-scale soft-bodied robot with multimodal locomotion. Nature 2018, 554, 81–85. [Google Scholar] [CrossRef] [PubMed]
- Jeon, S.; Hoshiar, A.K.; Kim, S.; Lee, S.; Kim, E.; Lee, S.; Kim, K.; Lee, J.; Kim, J.Y.; Choi, H. Improving guidewire-mediated steerability of a magnetically actuated flexible microrobot. Micro Nano Syst. Lett. 2018, 6, 15. [Google Scholar] [CrossRef]
- Zhao, J.S.; Li, X.Y.; Tan, Y.; Liu, X.K.; Lu, T.P.; Shi, M.X. Smart Adhesive via Magnetic Actuation. Adv. Mater. 2022, 34, 2107748. [Google Scholar] [CrossRef]
- Böse, H.; Rabindranath, R.; Ehrlich, J. Soft magnetorheological elastomers as new actuators for valves. J. Intel. Mat. Syst. Str. 2012, 23, 989–994. [Google Scholar] [CrossRef]
- Snyder, R.L.; Nguyen, V.Q.; Ramanujan, R.V. Design parameters for magneto-elastic soft actuators. Smart. Mater. Struct. 2010, 19, 055017. [Google Scholar] [CrossRef]
- Veloso, S.R.S.; Andrade, R.G.D.; Castanheira, E.M.S. Review on the advancements of magnetic gels: Towards multifunctional magnetic liposome-hydrogel composites for biomedical applications. Adv. Colloid. Interface Sci. 2021, 288, 102351. [Google Scholar]
- Zhao, X.H.; Kim, J.; Cezar, C.A.; Huebsch, N.; Lee, K.; Bouhadir, K.; Mooney, D.J. Active scaffolds for on-demand drug and cell delivery. Proc. Natl. Acad. Sci. USA 2011, 108, 67–72. [Google Scholar] [CrossRef] [PubMed]
- Tang, J.D.; Qiao, Y.C.; Chu, Y.H.; Tong, Z.F.; Zhou, Y.F.; Zhang, W.L.; Xie, S.J.; Hu, J.; Wang, T.J. Magnetic double-network hydrogels for tissue hyperthermia and drug release. J. Mater. Chem. B 2019, 7, 1311–1321. [Google Scholar] [CrossRef]
- Fu, J.; Wang, Y.; Liao, G.; Yu, M. Model-free fuzzy control of a magnetorheological elastomer vibration isolation system: Analysis and experimental evaluation. Smart. Mater. Struct. 2016, 25, 035030. [Google Scholar] [CrossRef]
- Yu, Y.; Li, Y.; Li, J.; Gu, X. A hysteresis model for dynamic behaviour of magnetorheological elastomer base isolator. Smart Mater. Struct. 2016, 25, 055029. [Google Scholar] [CrossRef]
- Yang, J.; Du, H.P.; Li, W.H.; Li, Y.C.; Li, J.C.; Sun, S.S.; Deng, H.X. Experimental study and modeling of a novel magnetorheological elastomer isolator. Smart Mater. Struct. 2013, 22, 117001. [Google Scholar] [CrossRef]
- Zhao, R.K.; Kim, Y.; Chester, S.A.; Sharma, P.; Zhao, X.H. Mechanics of hard-magnetic soft materials. J. Mech. Phys. Solids 2019, 124, 244–263. [Google Scholar] [CrossRef]
- Kim, Y.; Yuk, H.; Zhao, R.K.; Chester, S.A.; Zhao, X.H. Printing ferromagnetic domains for untethered fast-transforming soft materials. Nature 2018, 558, 274–279. [Google Scholar] [CrossRef] [PubMed]
- Truesdell, C.; Toupin, R. The Classical Field Theories; Springer: Berlin/Heidelberg, Germany, 1960. [Google Scholar]
- Tiersten, H.F. Coupled magnetomechanical equations for magnetically saturated insulators. J. Math. Phys. 1964, 5, 1298–1318. [Google Scholar] [CrossRef]
- Maugin, G.A.; Eringen, A.C. Deformable magnetically saturated media, I. Field equations. J. Math. Phys. 1972, 13, 143–155. [Google Scholar] [CrossRef]
- Pao, Y.H. Electromagnetic forces in deformable continua. In Mechanics Today; Pergamon Press: New York, NY, USA, 1978; Volume 4, pp. 209–305. [Google Scholar]
- Tiersten, H.F. Variational principle for saturated magnetoelastic insulators. J. Math. Phys. 1965, 6, 779–787. [Google Scholar] [CrossRef]
- Brown, W.F. Magnetoelastic interactions. In The Energy Method; Springer: Berlin/Heidelberg, Germany, 1966; Volume 9, pp. 71–107. [Google Scholar]
- Dorfmann, A.; Ogden, R.W. Magnetoelastic modelling of elastomers. Eur. J. Mech. A-Solid 2003, 22, 497–507. [Google Scholar] [CrossRef]
- Dorfmann, A.; Ogden, R.W. Nonlinear magnetoelastic deformations of elastomers. Acta. Mech. 2004, 167, 13–28. [Google Scholar] [CrossRef]
- Kankanala, S.V.; Triantafyllidis, N. On finitely strained magnetorheological elastomers. J. Mech. Phys. Solids. 2004, 52, 2869–2908. [Google Scholar] [CrossRef]
- Steigmann, D.J. Equilibrium theory for magnetic elastomers and magnetoelastic membranes. Int. J. Nonlin. Mech. 2004, 39, 1193–1216. [Google Scholar] [CrossRef]
- Saxena, P.; Hossain, M.; Steinmann, P. A theory of finite deformation magneto-viscoelasticity. Int. J. Solids Struct. 2013, 50, 3886–3897. [Google Scholar] [CrossRef]
- Haldar, K.; Kiefer, B.; Menzel, A. Finite element simulation of rate-dependent magneto-active polymer response. Smart Mater. Struct. 2016, 25, 104003. [Google Scholar] [CrossRef]
- Bustamante, R. Transversely isotropic nonlinear magneto-active elastomers. Acta Mech. 2010, 210, 183–214. [Google Scholar] [CrossRef]
- Saxena, P.; Hossain, M.; Steinmann, P. Nonlinear magneto-viscoelasticity of transversally isotropic magneto-active polymers. Proc. Math. Phys. Eng. Sci. 2014, 470, 20140082. [Google Scholar] [CrossRef]
- Saxena, P.; Pelteret, J.P.; Steinmann, P. Modelling of iron-filled magneto-active polymers with a dispersed chain-like microstructure. Eur. J. Mech. A-Solid 2015, 50, 132–151. [Google Scholar] [CrossRef]
- Lum, G.Z.; Ye, Z.; Dong, X.G.; Marvi, H.; Erin, O.; Hu, W.Q.; Sitti, M. Shape-programmable magnetic soft matter. Proc. Natl. Acad. Sci. USA 2016, 13, 6007–6015. [Google Scholar] [CrossRef]
- Kim, Y.; Parada, G.A.; Liu, S.; Zhao, X.H. Ferromagnetic soft continuum robots. Sci. Robot. 2019, 4, 7329. [Google Scholar] [CrossRef]
- Garcia-Gonzalez, D. Magneto-visco-hyperelasticity for hard-magnetic soft materials: Theory and numerical applications. Smart Mater. Struct. 2019, 28, 085020. [Google Scholar] [CrossRef]
- Chen, W.; Wang, L. Theoretical modeling and exact solution for extreme bending deformation of hard-magnetic soft beams. J. Appl. Mech. 2020, 87, 041002. [Google Scholar] [CrossRef]
- Chen, W.; Wang, L.; Yan, Z. On the dynamics of curved magnetoactive soft beams. Int. J. Eng. Sci. 2023, 183, 103792. [Google Scholar] [CrossRef]
- Chen, W.; Wang, L.; Yan, Z.; and Luo, B. Three-dimensional large-deformation model of hard-magnetic soft beams. Compos. Struct. 2021, 266, 113822. [Google Scholar] [CrossRef]
- Chen, W.; Yan, Z.; Wang, L. On mechanics of functionally graded hard-magnetic soft beams. Int. J. Eng. Sci. 2020, 157, 103391. [Google Scholar] [CrossRef]
- Firouzi, N.; Rabczuk, T. Growth mechanics of the viscoelastic membranes. Comput. Method. Appl. Mech. Eng. 2022, 401, 115637. [Google Scholar] [CrossRef]
- García-Arribas, A.; Fernández, E.; Svalov, A.; Kurlyandskaya, G.V.; Barandiaran, J.M. Thin-film magneto-impedance structures with very large sensitivity. J. Magn. Magn. Mater. 2016, 400, 321–326. [Google Scholar] [CrossRef]
- Duffett, G.; Reddy, B.D. The analysis of incompressible hyperelastic bodies by the finite element method. Comput. Method. Appl. Mech. Eng. 1983, 41, 105–120. [Google Scholar] [CrossRef]
- Gruttmann, F.; Taylor, R.L. Theory and finite element formulation of rubberlike membrane shells using principal stretches. Int. J. Numer. Meth. Eng. 1992, 35, 1111–1126. [Google Scholar] [CrossRef]
- De Neto, E.A.S.; Perić, D.; Owen, D.R.J. Finite elasticity in spatial description: Linearization aspects with 3-D membrane applications. Int. J. Numer. Meth. Eng. 1995, 38, 3365–3381. [Google Scholar] [CrossRef]
- Steigmann, D.J. A concise derivation of membrane theory from three-dimensional nonlinear elasticity. J. Elast. 2009, 97, 97–101. [Google Scholar] [CrossRef][Green Version]
- Kanner, L.M.; Horgan, C.O. Elastic instabilities for strain-stiffening rubber-like spherical and cylindrical thin shells under inflation. Int. J. Nonlin. Meth. 2007, 42, 204–215. [Google Scholar] [CrossRef]
- Il’ichev, A.; Fu, Y.B. Stability of an inflated hyperelastic membrane tube with localized wall thinning. Int. J. Eng. Sci. 2014, 80, 53–61. [Google Scholar] [CrossRef]
- Barham, M.; Steigmann, D.J.; McElfresh, M.; Rudd, R.E. Finite deformation of a pressurized magnetoelastic membrane in a stationary dipole field. Acta Mech. 2007, 191, 105–120. [Google Scholar] [CrossRef]
- Barham, M.; Steigmann, D.J.; McElfresh, M.; Rudd, R.E. Limit-point instability of a magnetoelastic membrane in a stationary magnetic field. Acta Mech. 2008, 17, 055003. [Google Scholar] [CrossRef]
- Barham, M.; Steigmann, D.J.; White, D.A. Magnetoelasticity of highly deformable thin films: Theory and simulation. Int. J. Nonlin. Mech. 2012, 47, 185–196. [Google Scholar] [CrossRef]
- Barham, M.I.; White, D.A.; Steigmann, D.J. Finite element modeling of the deformation of magnetoelastic film. J. Comput. Phys. 2010, 229, 6193–6207. [Google Scholar] [CrossRef]
- Reddy, N.H.; Saxena, P. Limit points in the free inflation of a magnetoelastic toroidal membrane. Int. J. Nonlin. Mech. 2017, 95, 248–263. [Google Scholar] [CrossRef]
- Reddy, N.H.; Saxena, P. Instabilities in the axisymmetric magnetoelastic deformation of a cylindrical membrane. Int. J. Solids Struct. 2018, 136, 203–219. [Google Scholar] [CrossRef]
- Saxena, P.; Reddy, N.H.; Pradhan, S.P. Magnetoelastic deformation of a circular membrane: Wrinkling and limit point instabilities. Int. J. Nonlin. Mech. 2019, 116, 250–261. [Google Scholar] [CrossRef]
- Ali, M.N.; Wahi, S.K.; Santapuri, S. Modeling and analysis of a magnetoelastic annular membrane placed in an azimuthal magnetic field. Math. Mech. Solids 2021, 26, 1614–1634. [Google Scholar] [CrossRef]
- Salidkul, N.; Mongkolthanaruk, W.; Faungnawakij, K.; Pinitsoontorn, S. Hard magnetic membrane based on bacterial cellulose -Barium ferrite nanocomposites. Carbohyd. Polym. 2021, 264, 118016. [Google Scholar] [CrossRef]
- Lee, M.; Park, T.; Kim, C.; Park, S.M. Characterization of a magneto-active membrane actuator comprising hard magnetic particles with varying crosslinking degrees. Mater. Design. 2020, 195, 108921. [Google Scholar] [CrossRef]
- Dorfmann, L.; Ogden, R.W. Hard-magnetic soft magnetoelastic materials: Energy considerations. Int. J. Solids Struct. 2024, 294, 112789. [Google Scholar] [CrossRef]
- Wang, H.; Lei, M.; Cai, S. Viscoelastic deformation of a dielectric elastomer membrane subject to electromechanical loads. J. Appl. Phys. 2013, 113, 213508. [Google Scholar] [CrossRef]
- Foo, C.C.; Cai, S.Q.; Koh, J.A.K.; Bauer, S.; Suo, Z.G. Model of dissipative dielectric elastomers. J. Appl. Phys. 2012, 113, 034102. [Google Scholar]



















Disclaimer/Publisher’s Note: The statements, opinions and data contained in all publications are solely those of the individual author(s) and contributor(s) and not of MDPI and/or the editor(s). MDPI and/or the editor(s) disclaim responsibility for any injury to people or property resulting from any ideas, methods, instructions or products referred to in the content. |
© 2024 by the authors. Licensee MDPI, Basel, Switzerland. This article is an open access article distributed under the terms and conditions of the Creative Commons Attribution (CC BY) license (https://creativecommons.org/licenses/by/4.0/).
Share and Cite
Qu, W.; Chen, J.; Wang, H. Magnetomechanical Behaviors of Hard-Magnetic Elastomer Membranes Placed in Uniform Magnetic Field. Materials 2024, 17, 4732. https://doi.org/10.3390/ma17194732
Qu W, Chen J, Wang H. Magnetomechanical Behaviors of Hard-Magnetic Elastomer Membranes Placed in Uniform Magnetic Field. Materials. 2024; 17(19):4732. https://doi.org/10.3390/ma17194732
Chicago/Turabian StyleQu, Wenchao, Jun Chen, and Huiming Wang. 2024. "Magnetomechanical Behaviors of Hard-Magnetic Elastomer Membranes Placed in Uniform Magnetic Field" Materials 17, no. 19: 4732. https://doi.org/10.3390/ma17194732
APA StyleQu, W., Chen, J., & Wang, H. (2024). Magnetomechanical Behaviors of Hard-Magnetic Elastomer Membranes Placed in Uniform Magnetic Field. Materials, 17(19), 4732. https://doi.org/10.3390/ma17194732
