Impedance Spectroscopy of Sm-Doped of BaBi2Nb2O9 Aurivillius Ceramics
Abstract
1. Introduction
2. Materials and Methods
3. Results
3.1. X-ray Diffraction
3.2. Microstructure and EDS Analysis
3.3. Dielectric Measurements
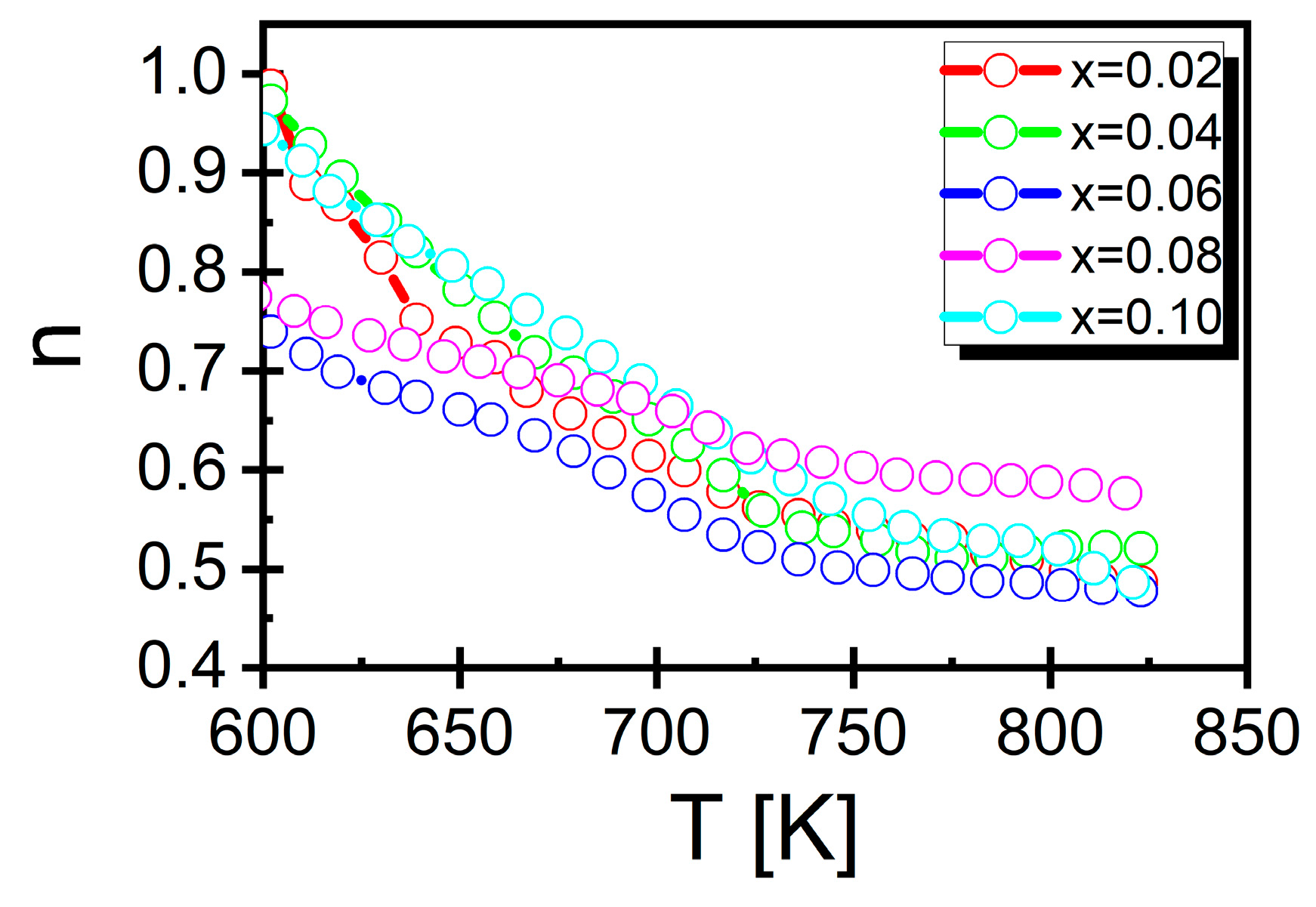
3.4. Impedance Spectroscopic Studies
3.5. AC Conductivity
4. Conclusions
Supplementary Materials
Author Contributions
Funding
Institutional Review Board Statement
Informed Consent Statement
Data Availability Statement
Conflicts of Interest
References
- Bartkowska, J.A.; Szalbot, D.; Makowska, J.; Adamczyk-Habrajska, M.; Stokłosa, Z. Magnetic Properties of Gd-Doped Bi7Fe3Ti3O21 Aurivillius-Type Ceramics. Materials 2024, 17, 3760. [Google Scholar] [CrossRef]
- Skulski, R.; Wawrzała, P.; Ćwikiel, K.; Bochenek, D. Dielectric and Electromechanical Behaviors of PMN-PT Ceramic Samples. J. Intell. Mater. Syst. Struct. 2007, 18, 1049–1056. [Google Scholar] [CrossRef]
- Zhang, M.; Xu, X.; Ahmed, S.; Yue, Y.; Palma, M.; Svec, P.; Gao, F.; Abrahams, I.; Reece, M.J.; Yan, H. Phase Transformations in an Aurivillius Layer Structured Ferroelectric Designed Using the High Entropy Concept. Acta Mater. 2022, 229, 117815. [Google Scholar] [CrossRef]
- Bodulwar, J.M.; Lad, A.B. Recent Advances in Lead-Free Piezoelectric Materials for Sensor and Energy Harvesting Applications. Adv. Funct. Mater. 2023, 33, 2209460. [Google Scholar]
- Bartasyte, A.; Clementi, G.; Micard, Q.; Labbaveettil, I.; Moreira, A.S.L.; Boujnah, S.; Ouhabaz, M.; Verma, A.; Ichangi, A.; Malandrino, G. Material Strategies to Enhance the Performance of Piezoelectric Energy Harvesters Based on Lead-Free Materials. J. Micromech. Microeng. 2023, 33, 053001. [Google Scholar] [CrossRef]
- Micard, Q.; Clementi, G.; Bartasyte, A.; Muralt, P.; Condorelli, G.G.; Malandrino, G. Self-Poled Heteroepitaxial Bi(1−x)DyxFeO3 Films with Promising Pyroelectric Properties. Adv. Mater. Interfaces 2022, 9, 2101539. [Google Scholar] [CrossRef]
- Dawa, T.; Sajjadi, B. Exploring the Potential of Perovskite Structures for Chemical Looping Technology: A State-of-the-Art Review. Fuel Process. Technol. 2024, 253, 108022. [Google Scholar] [CrossRef]
- Svarcova, S.; Wiik, K.; Tolchard, J.; Bouwmeester, H.J.M.; Grande, T. Structural Study of LaFeO3-SrTiO3 Solid Solutions. Solid State Ionics 2008, 178, 1787–1791. [Google Scholar] [CrossRef]
- Li, C.; Soh, K.C.K.; Wu, P. Phase Transition in BaTiO3-Based Ceramics. J. Alloys Compd. 2004, 372, 40–48. [Google Scholar] [CrossRef]
- Yoshimura, M.; Sardar, K. Revisiting the Valence Stability and Preparation of Perovskite Structure Type Oxides ABO3 with the Use of Madelung Electrostatic Potential Energy and Lattice Site Potential. RSC Adv. 2021, 11, 20737–20745. [Google Scholar] [CrossRef]
- He, Q.; Ishikawa, R.; Lupini, A.R.; Qiao, L.; Moon, E.J.; Ovchinnikov, O.; May, S.J.; Biegalski, M.D.; Borisevich, A.Y. Towards 3D Mapping of BO6 Octahedron Rotations at Perovskite Heterointerfaces, Unit Cell by Unit Cell. ACS Nano 2015, 9, 8412–8419. [Google Scholar] [CrossRef] [PubMed]
- Gu, M.; Wang, K.; Wang, Y.; Xie, Q.; Cai, H.; Zhang, G.-P.; Wu, X. Enhancement of Orbital Ordering and Spin Polarization by Controlling the Dimensionality of the Octahedra Network. NPJ Quantum Mater. 2016, 1, 16011. [Google Scholar] [CrossRef][Green Version]
- Adamczyk-Habrajska, M. Synteza i Badania Właściwości Ceramiki BaBi2Nb2O9; Wydawnictwo Gnome: Katowice, Poland, 2012. [Google Scholar]
- Aurivillius, B. Mixed Bismuth Oxides with Layer Lattices: I. The Structure Type of CaNb2Bi2O9. Arkiv Kemi 1949, 1, 463–480. [Google Scholar]
- Aurivillius, B. Mixed Bismuth Oxides with Layer Lattices: II. Structure of Bi4Ti3O12. Arkiv Kemi 1949, 2, 499–512. [Google Scholar]
- Aurivillius, B. Mixed Oxides with Layer Lattices: III. Structure of BaBi4Ti4O15. Arkiv Kemi 1950, 3, 519. [Google Scholar]
- Millan, P.; Castro, A.; Torrance, J.B. The First Doping of Pb2+ into the Bismuth Oxide Layers of the Aurivillius Oxides. Mater. Res. Bull. 1993, 28, 117–122. [Google Scholar] [CrossRef]
- Montero, M.T.; Millan, P.; Duran-Martin, P.; Jimenez, B.; Castro, A. Solid Solutions of Lead-Doped Bismuth Layer of Aurivillius n = 2 and n = 3 Oxides: Structural and Dielectric Characterization. Mater. Res. Bull. 1998, 33, 1103–1115. [Google Scholar] [CrossRef]
- Rentschler, T. Substitution of Lead into the Bismuth Oxide Layers of the n = 2- and n = 3-Aurivillius Phases. Mater. Res. Bull. 1997, 32, 351. [Google Scholar] [CrossRef]
- Kendall, K.; Thomas, J.K.; zur Loye, H.C. Synthesis and Ionic Conductivity of a New Series of Modified Aurivillius Phases. Chem. Mater. 1995, 7, 50–57. [Google Scholar] [CrossRef]
- Weiming, W.; Shijing, L.; Xiaowei, W.; Jinhong, B.; Ping, L.; Ling, W. Synthesis, Structures and Photocatalytic Activities of Microcrystalline ABi2Nb2O9 (A = Sr, Ba) Powders. J. Solid State Chem. 2011, 184, 81–88. [Google Scholar]
- Debasis, D.; Tanmay, G.K.; Panchanan, P. Studies of Dielectric Characteristics of BaBi2Nb2O9 Ferroelectrics Prepared by Chemical Precursor Decomposition Method. Solid State Sci. 2007, 9, 57–64. [Google Scholar] [CrossRef]
- Ramaraghavulu, R.; Buddhudu, S. Structural and Dielectric Properties of BaBi2Nb2O9 Ceramics. AIP Conf. Proc. 2014, 1591, 1702. [Google Scholar]
- Sun, P.; Wang, H.; Bu, X.; Chen, Z.; Du, J.; Li, L.; Wen, F.; Bai, W.; Zheng, P.; Wu, W.; et al. Enhanced Energy Storage Performance in Bismuth Layer-Structured BaBi2Me2O9 (Me = Nb and Ta) Relaxor Ferroelectric Ceramics. Ceram. Int. 2020, 46, 15907–15914. [Google Scholar] [CrossRef]
- Kannan, B.R.; Venkataraman, B.H. Effect of Rare Earth Ion Doping on the Structural, Microstructural and Diffused Phase Transition Characteristics of BaBi2Nb2O9 Relaxor Ferroelectrics. Ceram. Int. 2014, 40, 16365–16369. [Google Scholar] [CrossRef]
- Macquart, R.; Kennedy, B.J.; Vogt, T.; Howard, C.J. Phase Transition in BaBi2Nb2O9: Implications for Layered Ferroelectrics. Phys. Rev. B 2002, 66, 2121. [Google Scholar] [CrossRef]
- Rerak, M.; Makowska, J.; Osinska, K.; Goryczka, T.; Zawada, A.; Adamczyk-Habrajska, M. The Effect of Pr Doping Contents on the Structural, Microstructure and Dielectric Properties of BaBi2Nb2O9 Aurivillius Ceramics. Materials 2022, 15, 5790. [Google Scholar] [CrossRef]
- Gaikwad, S.P.; Samuel, V.; Pasricha, R.; Ravi, V. Preparation of Nanocrystalline Ferroelectric BaBi2Nb2O9 by Citrate Gel Method. Mater. Lett. 2004, 58, 3729–3731. [Google Scholar] [CrossRef]
- Rerak, M.; Makowska, J.; Adamczyk-Habrajska, M.; Kozielski, L. Impedance Spectroscopy of Pr-Doped BaBi2Nb2O9 Aurivillius Ceramics. Materials 2022, 15, 6308. [Google Scholar] [CrossRef]
- Banwal, A.; Bokolia, R. Phase Evolution and Microstructure of BaBi2Nb2O9 Ferroelectric Ceramics. Mater. Today Proc. 2021, 46, 10121–10124. [Google Scholar] [CrossRef]
- Szalbot, D.; Adamczyk, M.; Wodecka-Duś, B.; Dzik, J.; Rerak, M.; Feliksik, K. Influence of Calcium Doping on Microstructure, Dielectric and Electric Properties of BaBi2Nb2O9 Ceramics. Process. Appl. Ceram. 2018, 12, 171–179. [Google Scholar] [CrossRef]
- Adamczyk, M.; Ujma, Z.; Pawełczyk, M. Dielectric Properties of BaBi2Nb2O9 Ceramics. J. Mater. Sci. 2006, 41, 5317. [Google Scholar] [CrossRef]
- Benčan, A.; Boullay, P.; Mercurio, J.P. Characterisation of BaBi2Nb2O9 Powders and Thin Films Prepared by a Solution Synthesis Technique. Solid State Sci. 2004, 6, 547–551. [Google Scholar] [CrossRef]
- Tatsuhiro, S.; Hidenobu, I.; Junichi, T. Low-Temperature Fabrication of BaBi2Nb2O9 Ceramics by Reaction Controlled Sintering. J. Mater. Sci. Mater. Electron. 2010, 21, 302–308. [Google Scholar]
- de Araujo, C.P.; Cuchiaro, J.D.; Mcmillan, L.D.; Scott, M.C.; Scott, J.F. Fatigue-free ferroelectric capacitors with platinum electrodes. Nature 1995, 374, 627. [Google Scholar] [CrossRef]
- Wu, Y.; Nguyen, C.; Seraji, S.; Forbess, M.; Limmer, S.J. Processing and Properties of Strontium Bismuth Vanadate Niobate Ferroelectric Ceramics. J. Am. Ceram. Soc. 2001, 84, 2882. [Google Scholar] [CrossRef]
- Afqir, M.; Tachafine, A.; Fasquelle, D.; Elaatmani, M.; Carru, J.C.; Zegzouti, A.; Daoud, M. Preparation and Dielectric Properties of BaBi1.8Ln0.2Nb2O9 (Ln = Ce, Gd) Ceramics. Mater. Sci. 2018, 36, 46–50. [Google Scholar] [CrossRef]
- Young, R.A. The Rietveld Method; Oxford University Press: Oxford, UK, 1995. [Google Scholar]
- Shannon, R.D. Revised Effective Ionic Radii and Systematic Studies of Interatomic Distances in Halides and Chalcogenides. Acta Crystallogr. Sect. A 1976, A32, 751. [Google Scholar] [CrossRef]
- Watanabe, H.; Kimura, T.; Yamaguchi, T. Sintering of Platelike Bismuth Titanate Powder Compacts with Preferred Orientation. J. Am. Ceram. Soc. 1991, 74, 139. [Google Scholar] [CrossRef]
- Kulkarni, S.R.; Kanamadi, C.M.; Chougule, B.K. Magnetic and Dielectric Properties of Ni0.8Co0.1Cu0.1Fe2O4 + PZT Composites. J. Phys. Chem. Solids 2006, 67, 1607–1611. [Google Scholar]
- Kamble, Y.B.; Chougule, S.S.; Chougule, B.K. Characterization and Property Measurements of (y) Co0.9Cd0.1Fe2O4 + (1 − y) PZT ME Composites. J. Alloys Compd. 2009, 476, 733–738. [Google Scholar] [CrossRef]
- Kumari, L.K.; Prasad, K.; Choudhary, R.N.P. Impedance Spectroscopy of (Na0.5Bi0.5)(Zr0.25Ti0.75)O3 Lead-Free Ceramic. J. Alloys Compd. 2008, 453, 325–331. [Google Scholar]
- Bauerle, J.E. Study of Solid Electrolyte Polarization by a Complex Admittance Method. J. Phys. Chem. Solids 1969, 30, 2657–2670. [Google Scholar] [CrossRef]
- Jonscher, A.K. The ‘Universal’ Dielectric Response. Nature 1977, 267, 673–679. [Google Scholar] [CrossRef]
- Kung, C.Y.; Wei, Y.F.; Leu, C.C.; Chen, Y.C.; Chung, H.H.; Diao, C.C. The Influence of V2O5 on the Characteristics of BaBi2Nb2O9 Ceramics. In Global Roadmap for Ceramics_ICC2 Proceedings; Institute of Science and Technology for Ceramics, National Research Council: Verona, Italy, 2008. [Google Scholar]
- Adamczyk-Habrajska, M.; Goryczka, T.; Szalbot, D.; Dzik, J.; Rerak, M.; Bochenek, D. Influence of Lanthanum Dopant on the Structure and Electric Properties of BaBi2Nb2O9 Ceramics. Arch. Metall. Mater. 2020, 65, 207–214. [Google Scholar]
- Baukamp, B.A. Electrochemical Impedance Spectroscopy in Solid State Ionics: Recent Advances. Solid State Ion. 2004, 169, 65–73. [Google Scholar] [CrossRef]
- Boukamp, B.A. A Linear Kronig-Kramers Transform Test for Immittance Data Validation. J. Electrochem. Soc. 1995, 142, 1885. [Google Scholar] [CrossRef]
- Adamczyk-Habrajska, M.; Wodecka-Duś, B.; Goryczka, T.; Makowska, J. Impedance Spectroscopy of Fe and La-Doped BaTiO3 Ceramics. Crystals 2024, 14, 131. [Google Scholar] [CrossRef]
- Wodecka-Duś, B. Właściwości Perowskitowej Ceramiki Ferroelektrycznej na Bazie Tytanianu Baru; Wydawnictwo Uniwersytetu Śląskiego: Katowice, Poland, 2017; ISBN 978-83-226-3248-2. [Google Scholar]
- Subhadarasani, S.; Choudhary, R.N.P.; Mathur, B.K. Structural, Ferroelectric and Impedance Spectroscopy Properties of Y3+ Modified Pb(Fe0.5Nb0.5)O3 Ceramics. Physica B 2011, 406, 1660–1664. [Google Scholar]
- Achary, P.G.R.; Dehury, S.K.; Choudhary, R.N.P. Structural, Electrical and Dielectric Properties of Double Perovskites: BiHoZnZrO6 and BiHoCuTiO6. J. Mater. Sci. Mater. Electron. 2018, 29, 6805–6816. [Google Scholar] [CrossRef]
- Narang, S.B.; Kaur, D.; Bahel, S. Dielectric Properties of Lanthanum Substituted Barium Titanate Microwave Ceramics. Mater. Lett. 2006, 60, 3179–3182. [Google Scholar] [CrossRef]
- MacDonald, J.R. Impedance Spectroscopy; John Wiley and Sons: New York, NY, USA, 1987. [Google Scholar]
- Nocuń, M. Wprowadzenie Do Spektroskopii Impedancyjnej w Badaniach Materiałów Ceramicznych; Wydawnictwo Naukowe Akapit: Kraków, Poland, 2003. [Google Scholar]
- Adamczyk-Habrajska, M.; Kozielski, L.; Pilch, M. Impedance Spectroscopy of BaBi2Nb2O9 Ceramics. Ferroelectrics 2011, 417, 1–8. [Google Scholar]
- Long, A.R. Frequency-Dependent Loss in Amorphous Semiconductors. Adv. Phys. 1982, 31, 553–637. [Google Scholar] [CrossRef]
- Elliott, S.R. AC Conduction in Amorphous Chalcogenide and Pnictide Semiconductors. Adv. Phys. 1987, 36, 135–217. [Google Scholar] [CrossRef]
- Namikawa, H. Characterization of the Diffusion Process in Oxide Glasses Based on the Correlation between Electric Conduction and Dielectric Relaxation. J. Non-Cryst. Solids 1975, 18, 173–195. [Google Scholar] [CrossRef]
- Kuanr, B.K.; Srivastava, G.P. Dispersion Observed in Electrical Properties of Titanium-Substituted Lithium Ferrites. J. Appl. Phys. 1994, 75, 6115. [Google Scholar] [CrossRef]
- Dyre, J.C.; Schrøder, T.B. Universality of AC Conduction in Disordered Solids. Rev. Mod. Phys. 1999, 72, 873. [Google Scholar] [CrossRef]
- Punia, R.; Kundu, R.S.; Dult, M.; Murugavel, S.; Kishore, N. Temperature and Frequency Dependent Conductivity of Bismuth Zinc Vanadate Semiconducting Glassy System. J. Appl. Phys. 2012, 112, 083701. [Google Scholar] [CrossRef]
- Afqir, M.; Fasquelle, D.; Tachafine, A.; Meng, Y.; Elaatmani, M.; Zegzouti, A.; Daoud, M. Effect of Samarium Substitution on Dielectric and Electrical Properties of Sr1−xBaxBi2Ta2O9 (x = 0, 0.05) Lead-Free Ceramics. Appl. Phys. A 2024, 130, 405. [Google Scholar]
- Dult, M.; Kundu, R.S.; Murugavel, S.; Punia, R.; Kishore, N. Conduction Mechanism in Bismuth Silicate Glasses Containing Titanium. Physica B 2014, 452, 102–107. [Google Scholar] [CrossRef]
- Megdiche Borchani, S.; Megdiche, M. Electrical Properties and Conduction Mechanism in the NaLaMnMo6 Double Perovskite Ceramic. J. Phys. Chem. Solids 2018, 114, 121–128. [Google Scholar]
- Karoui, K.; Rhaiem, A.B.; Guidara, K. Dielectric Properties and Relaxation Behavior of [TMA]2Zn0.5Cu0.5Cl4 Compound. Physica B 2012, 407, 489–493. [Google Scholar] [CrossRef]
- Elliot, S.R. A Theory of A.C. Conduction in Chalcogenide Glasses. Philos. Mag. A 1977, 36, 1291–1304. [Google Scholar]
- Elliot, S.R. A Continuous Random Network Approach to the Structure of Vitreous Boron Trioxide. Philos. Mag. B 1978, 37, 435–446. [Google Scholar] [CrossRef]














| x (Sm) | BaBi2−xSmxNb2O9 | |||
|---|---|---|---|---|
| a (Å) | b (Å) | c (Å) | V (Å3) | |
| 0.00 [32] | 3.9406 | 3.9406 | 25.6378 | 398.1 |
| 0.02 | 3.9303 (1) | 3.9303 (1) | 25.6248 (3) | 395.8 (3) |
| 0.04 | 3.9291 (3) | 3.9291 (3) | 25.6127 (4) | 395.4 (1) |
| 0.06 | 3.9285 (2) | 3.9285 (2) | 25.6089 (4) | 395.2 (3) |
| 0.08 | 3.9259 (4) | 3.9259 (4) | 25.5957 (2) | 394.5 (1) |
| 0.10 | 3.9285 (1) | 3.9285 (1) | 25.6059 (3) | 395.1 (8) |
| x | Theoretical Substrate Content (%) | Content of Substrates from EDS (%) | ||||||
|---|---|---|---|---|---|---|---|---|
| BaO | Bi2O3 | Nb2O5 | Sm2O3 | BaO | Bi2O3 | Nb2O5 | Sm2O3 | |
| 0.02 | 22.3 | 52.2 | 30.1 | 0.4 | 20 | 50.6 | 29.1 | 0.3 |
| 0.04 | 22.4 | 51.7 | 30.1 | 0.8 | 21 | 50.4 | 27.8 | 0.8 |
| 0.06 | 22.4 | 51.3 | 30.2 | 1.2 | 23.2 | 46.9 | 28.9 | 1.1 |
| 0.08 | 22.4 | 50.8 | 30.2 | 1.6 | 21.7 | 45.8 | 31.1 | 1.4 |
| 0.10 | 22.4 | 50.3 | 30.2 | 2.0 | 17.6 | 50.5 | 29.7 | 2.1 |
| x % Sm | EG (eV) | EGB (eV) |
|---|---|---|
| 0.00 [57] | 1 | 0.98 |
| 0.02 | 1.54 | 1.11 |
| 0.04 | 1.08 | 1.36 |
| 0.06 | 1.22 | 1.25 |
| 0.08 | 0.86 | 1.23 |
| 0.10 | 1.22 | 1.02 |
Disclaimer/Publisher’s Note: The statements, opinions and data contained in all publications are solely those of the individual author(s) and contributor(s) and not of MDPI and/or the editor(s). MDPI and/or the editor(s) disclaim responsibility for any injury to people or property resulting from any ideas, methods, instructions or products referred to in the content. |
© 2024 by the authors. Licensee MDPI, Basel, Switzerland. This article is an open access article distributed under the terms and conditions of the Creative Commons Attribution (CC BY) license (https://creativecommons.org/licenses/by/4.0/).
Share and Cite
Makowska, J.; Rerak, M.; Wodecka-Duś, B.; Goryczka, T.; Tytko, G.; Zawada, A.; Adamczyk-Habrajska, M. Impedance Spectroscopy of Sm-Doped of BaBi2Nb2O9 Aurivillius Ceramics. Materials 2024, 17, 4360. https://doi.org/10.3390/ma17174360
Makowska J, Rerak M, Wodecka-Duś B, Goryczka T, Tytko G, Zawada A, Adamczyk-Habrajska M. Impedance Spectroscopy of Sm-Doped of BaBi2Nb2O9 Aurivillius Ceramics. Materials. 2024; 17(17):4360. https://doi.org/10.3390/ma17174360
Chicago/Turabian StyleMakowska, Jolanta, Michał Rerak, Beata Wodecka-Duś, Tomasz Goryczka, Grzegorz Tytko, Anna Zawada, and Małgorzata Adamczyk-Habrajska. 2024. "Impedance Spectroscopy of Sm-Doped of BaBi2Nb2O9 Aurivillius Ceramics" Materials 17, no. 17: 4360. https://doi.org/10.3390/ma17174360
APA StyleMakowska, J., Rerak, M., Wodecka-Duś, B., Goryczka, T., Tytko, G., Zawada, A., & Adamczyk-Habrajska, M. (2024). Impedance Spectroscopy of Sm-Doped of BaBi2Nb2O9 Aurivillius Ceramics. Materials, 17(17), 4360. https://doi.org/10.3390/ma17174360

