Influence of Mineral Additives on Strength Properties of Standard Mortar
Abstract
1. Introduction
2. Materials and Methods
2.1. Materials
2.2. Research Methods
3. Results
3.1. Analysis of Grain Size of Mineral Additives
3.2. Marking the Consistency of Standard Mortar
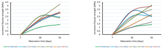
3.3. Designation of Flexural Strength
3.4. Designation of Compressive Strength
3.5. Dependence of Compressive Strength on Mineral Additive Parameters
3.6. Dependence of Flexural Strength on Mineral Additive Parameters
4. Discussion
5. Conclusions
- Five types of additives: compacted microsilica, MIKROSILL+ microsilica, limestone flour, glass granulate, and fly ash, increased compressive strength after 7 and 28 days of maturation.
- The highest increase in compressive strength was obtained for Microsilica 42% and Microsilica MIKROSILL+ 37%.
- An increase in the flexural strength of the standard mortar was obtained for the additive MIKROSILL+ microsilica; for the remaining additives, the results obtained were comparable to or lower than the reference mortar.
- The highest increase in flexural strength was obtained for Microsilica 9.9% and Microsilica MIKROSILL+ 7.5%.
- The use of mineral additives in the form of compacted microsilica or MIKROSILL+ microsilica significantly increases the compressive and flexural strength and can therefore be used for the rapid reconstruction of military infrastructure.
Author Contributions
Funding
Institutional Review Board Statement
Informed Consent Statement
Data Availability Statement
Conflicts of Interest
References
- Gołaszewski, J. Domieszki do Betonu. Efekt Działania, Ocena i Badania Efektywności, Stosowanie; Wydawnictwo Politechniki Śląskiej: Gliwice, Poland, 2016. [Google Scholar]
- Tomasz, R. Naturalne i syntetyczne domieszki uplastyczniają ogon i mechanizmy ich interakcji w mieszance betonowej. 2004. [CrossRef]
- Rudnicki, T. Functional Method of Designing Self-Compacting Concrete. Materials 2021, 14, 267. [Google Scholar] [CrossRef] [PubMed]
- Glinnicki, M. Inżynieria Betonowych Nawierzchni Drogowych; Wydawnictwo Nukowe PWN: Warszawa, Poland, 2019. [Google Scholar]
- Althoey, F.; Ansari, W.S.; Sufian, M.; Deifalla, A.F. Advancements in low-carbon concrete as a construction material for the sustainable built environment. Dev. Built Environ. 2023, 16, 100284. [Google Scholar] [CrossRef]
- Watari, T.; Cao, Z.; Serrenho, A.C.; Cullen, J. Growing role of concrete in sand and climate crises. iScience 2023, 26, 106782. [Google Scholar] [CrossRef]
- Khan, M.; Lao, J.; Ahmad, M.R.; Kai, M.-F.; Dai, J.-G. The role of calcium aluminate cement in developing an efficient ultra-high performance concrete resistant to explosive spalling under high temperatures. Constr. Build. Mater. 2023, 384, 131469. [Google Scholar] [CrossRef]
- Khan, M.; Lao, J.; Dai, J.-G. Comparative study of advanced computational techniques for estimating the compressive strength of UHPC. J. Asian Concr. Fed. 2022, 8, 51–68. [Google Scholar] [CrossRef]
- Sahoo, N.; Kumar, A.; Samsher. Review on energy conservation and emission reduction approaches for cement industry. Environ. Dev. 2022, 44, 100767. [Google Scholar] [CrossRef]
- Nassar, R.-U.-D.; Saeed, D.; Sufyan-Ud-Din, M.; Nassar, S. Production of Eco-Friendly Concrete Masonry Units Using Powder Waste Glass. Civ. Eng. Archit. 2022, 10, 415–424. [Google Scholar] [CrossRef]
- Guo, Y.; Luo, L.; Liu, T.; Hao, L.; Li, Y.; Liu, P.; Zhu, T. A review of low-carbon technologies and projects for the global cement industry. J. Environ. Sci. 2024, 136, 682–697. [Google Scholar] [CrossRef] [PubMed]
- Nagrockienė, D.; Girskas, G.; Skripkiūnas, G. Properties of concrete modified with mineral additives. Constr. Build. Mater. 2017, 135, 37–42. [Google Scholar] [CrossRef]
- Caputo, D.; Liguori, B.; Colella, C. Some advances in understanding the pozzolanic activity of zeolites: The effect of zeolite structure. Cem. Concr. Compos. 2008, 30, 455–462. [Google Scholar] [CrossRef]
- Perraki, T.; Kontori, E.; Tsivilis, S.; Kakali, G. The effect of zeolite on the properties and hydration of blended cements. Cem. Concr. Compos. 2010, 32, 128–133. [Google Scholar] [CrossRef]
- Colella, C.; Gennaro, M.D.; Aiello, R. Use of Zeolitic Tuff in the Building Industry. Rev. Mineral. Geochem. 2001, 45, 551–587. [Google Scholar] [CrossRef]
- Novembre, D.; Di Sabatino, B.; Gimeno, D.; Pace, C. Synthesis and characterization of Na-X, Na-A and Na-P zeolites and hydroxysodalite from metakaolinite. Clay Miner. 2011, 46, 339–354. [Google Scholar] [CrossRef]
- Stonis, R.; Pundiene, I.; Antonoviè, V.; Kligis, M.; Spudulis, E. Study of the Effect of Replacing Microsilica in Heat-Resistant Concrete with Additive based on Metakaolin. Refract. Ind. Ceram. 2013, 54, 232–237. [Google Scholar] [CrossRef]
- Norhasri, M.S.M.; Hamidah, M.S.; Fadzil, A.M.; Megawati, O. Inclusion of nano metakaolin as additive in ultra high performance concrete (UHPC). Constr. Build. Mater. 2016, 127, 167–175. [Google Scholar] [CrossRef]
- Curcio, F.; DeAngelis, B.A.; Pagliolico, S. Metakaolin as a pozzolanic microfiller for high-performance mortars. Cem. Concr. Res. 1998, 28, 803–809. [Google Scholar] [CrossRef]
- Coo, M.; Pheeraphan, T. Effect of sand, fly ash and limestone powder on preplaced aggregate concrete mechanical properties and reinforced beam shear capacity. Constr. Build. Mater. 2016, 120, 581–592. [Google Scholar] [CrossRef]
- Coo, M.; Pheeraphan, T. Effect of sand, fly ash, and coarse aggregate gradation on preplaced aggregate concrete studied through factorial design. Constr. Build. Mater. 2015, 93, 812–821. [Google Scholar] [CrossRef]
- Thongsanitgarn, P.; Wongkeo, W.; Chaipanich, A.; Poon, C.S. Heat of hydration of Portland high-calcium fly ash cement incorporating limestone powder: Effect of limestone particle size. Constr. Build. Mater. 2014, 66, 410–417. [Google Scholar] [CrossRef]
- Nayak, D.K.; Abhilash, P.P.; Singh, R.; Kumar, R.; Kumar, V. Fly ash for sustainable construction: A review of fly ash concrete and its beneficial use case studies. Clean. Mater. 2022, 6, 100143. [Google Scholar] [CrossRef]
- He, Z.; Hu, L.; Li, Y.; Hu, J.; Shao, Y. Use of sandstone powder as a mineral additive for concrete. Constr. Build. Mater. 2018, 186, 276–286. [Google Scholar] [CrossRef]
- Bentz, D.P.; Ferraris, C.F.; Jones, S.Z.; Lootens, D.; Zunino, F. Limestone and silica powder replacements for cement: Early-age performance. Cem. Concr. Compos. 2017, 78, 43–56. [Google Scholar] [CrossRef] [PubMed]
- Bapat, J.D. Mineral Admixtures in Cement and Concrete; CRC Press: New York, NY, USA, 2013. [Google Scholar]
- Woyciechowski, P. Influence of mineral additives on concrete carbonation. In Brittle Matrix Composites 10; Elsevier: Amsterdam, The Netherlands, 2012; pp. 115–124. [Google Scholar] [CrossRef]
- Bapat, J.D. Performance of cement concrete with mineral admixtures. Adv. Cem. Res. 2001, 13, 139–155. [Google Scholar] [CrossRef]
- Gao, S.; Ji, Y.; Qin, Z.; Zhang, H.; Xing, F.; Liu, A. A comprehensive analysis of pore structures and performances of mineral admixtures modified recycled aggregate concrete based on experiment and theory. Constr. Build. Mater. 2022, 358, 129451. [Google Scholar] [CrossRef]
- Chen, B.; Chen, J.; Chen, X.; Qiang, S.; Zheng, Y. Experimental study on compressive strength and frost resistance of steam cured concrete with mineral admixtures. Constr. Build. Mater. 2022, 325, 126725. [Google Scholar] [CrossRef]
- Ayub, T.; Khan, S.U.; Memon, F.A. Mechanical Characteristics of Hardened Concrete with Different Mineral Admixtures: A Review. Sci. World J. 2014, 2014, 875082. [Google Scholar] [CrossRef]
- Faysal, R.M.; Maslehuddin, M.; Shameem, M.; Ahmad, S.; Adekunle, S.K. Effect of mineral additives and two-stage mixing on the performance of recycled aggregate concrete. J. Mater. Cycles Waste Manag. 2020, 22, 1587–1601. [Google Scholar] [CrossRef]
- Atahan, H.N.; Arslan, K.M. Improved durability of cement mortars exposed to external sulfate attack: The role of nano & micro additives. Sustain. Cities Soc. 2016, 22, 40–48. [Google Scholar] [CrossRef]
- Szcześniak, A.; Stolarski, A. Experimental verification of innovative spatial reinforcement of ultra-high performance concrete with mesh tubes. Cem. Concr. Compos. 2024, 150, 105561. [Google Scholar] [CrossRef]
- Szcześniak, A.; Zychowicz, J.; Stolarski, A. Influence of Fly Ash Additive on the Properties of Concrete with Slag Cement. Materials 2020, 13, 3265. [Google Scholar] [CrossRef]
- PN-EN 196-1:2016-07; Cement Testing Method—Part 1: Determinaation of Strength. Comite Europeen de Normalisation: Bruxelles, Belgium, 2016.
- PN-EN 196-3:2016-12; Cement Testing Method—Part 3: Determination of Setting Times and Volume Stability. Comite Europeen de Normalisation: Bruxelles, Belgium, 2016.
- Yang, Y.; Takasu, K.; Suyama, H.; Ji, X.; Xu, M.; Liu, Z. Comparative Analysis of Woody Biomass Fly Ash and Class F Fly Ash as Supplementary Cementitious Materials in Mortar. Materials 2024, 17, 3723. [Google Scholar] [CrossRef] [PubMed]
- Mazilu, C.; Deju, R.; Georgescu, D.P.; Apostu, A.; Barbu, A. Effects of Micro- and Nanosilica on the Mechanical and Microstructural Characteristics of Some Special Mortars Made with Recycled Concrete Aggregates. Materials 2024, 17, 2791. [Google Scholar] [CrossRef] [PubMed]
- Khan, M.I.; Abbas, Y.M.; Fares, G.; Alqahtani, F.K. Flowability and Strength Characteristics of Binary Cementitious Systems Containing Silica Fume, Fly Ash, Metakaolin, and Glass Cullet Powder. Materials 2023, 16, 6436. [Google Scholar] [CrossRef]
- Kang, I.; Shin, S.; Kim, J. Optimal Limestone Content on Hydration Properties of Ordinary Portland Cement with 5% Ground Granulated Blast-Furnace Slag. Materials 2024, 17, 3255. [Google Scholar] [CrossRef] [PubMed]






















| Property | Unit | Value |
|---|---|---|
| Specific surface area | cm2/g | 4124 |
| Start of setting time | min | 184 |
| End of setting time | min | 242 |
| Change in volume | mm | 1.0 |
| Compressive strength | ||
| After 2 days | MPa | 30.1 |
| After 28 days | MPa | 60.2 |
| Contents SO3 | % | 2.95 |
| Contents Cl | % | 0.089 |
| Insoluble residue | % | 0.57 |
| Loss of ignition | % | 3.33 |
| Component | Unit | MZ | MK+ | MW | MS | PB | GS | PL |
|---|---|---|---|---|---|---|---|---|
| SiO2 | % | >80.0 | >85.0 | 3.5 | >65.0 | 38.2 | >65.0 | 57.0 |
| CaO | % | <3.5 | <1.0 | >8.0 | 15.2 | >8.0 | 10.0 | |
| CaCO3 | % | 93.0 | ||||||
| FeO3 | % | 0.3 | <0.2 | 15.9 | <0.2 | 16.0 | ||
| MgO | % | 0.7 | <0.4 | 7.7 | <0.4 | |||
| SO3 | % | <4.0 | <2.0 | 0.2 | ||||
| Na2O | % | <8.0 | <0.5 | >14.0 | 2.9 | >14.0 | ||
| Al2O3 | % | 2.0 | 12.7 | 2.0 | 28.0 | |||
| Cl− | % | <1.8 | <0.3 | 0.07 |
| Mineral Supplement | Contents of the Supplement 10% | Contents of the Supplement 20% |
|---|---|---|
| Compacted microsilica | MZ1 | MZ2 |
| Microsilica Mikrosill+ | MK+1 | MK+2 |
| Limestone flour | MW1 | MW2 |
| Glass flour | MS1 | MS2 |
| Basalt dust | PB1 | PB2 |
| Glass granulate | GS1 | GS2 |
| Fly ash | PL1 | PL2 |
| Addition | Indicator D50 [μm] | Indicator D90 [μm] | Specific Surface Area [cm2/g] |
|---|---|---|---|
| MZ | 0.31 | 6.12 | 75,224 |
| MK+ | 0.26 | 0.39 | 98,677 |
| MW | 8.13 | 61.11 | 4980 |
| MS | 28.64 | 62.82 | 1383 |
| PB | 17.75 | 80.33 | 4277 |
| GS | 334.61 | 521.54 | 131 |
| PL | 10.63 | 24.16 | 3610 |
| CEM I | 16.32 | 56.91 | 4192 |
| Mineral Supplement | Flexural Strength after 7 Days/Standard Deviation [MPa] | Flexural Strength after 28 Days/Standard Deviation [MPa] | Flexural Strength after 56 Days/Standard Deviation [MPa] |
|---|---|---|---|
| P0 | 7.97/0.15 | 9.02/0.38 | 9.38/0.18 |
| MZ1 | 7.27/0.29 | 9.14/0.10 | 10.31/0.43 |
| MZ2 | 6.56/0.15 | 9.84/0.10 | 9.14/0.31 |
| MK+1 | 7.62/0.20 | 10.2/0.33 | 10.08/0.16 |
| MK+2 | 6.80/0.44 | 9.38/0.12 | 9.38/0.14 |
| MW1 | 5.27/0.59 | 7.27/0.84 | 8.44/0.49 |
| MW2 | 6.68/0.69 | 7.73/0.43 | 8.44/0.30 |
| MS1 | 5.39/0.40 | 7.62/0.73 | 9.61/0.25 |
| MS2 | 5.86/0.19 | 8.32/0.62 | 9.38/0.12 |
| PB1 | 6.09/0.48 | 8.67/0.56 | 8.44/0.23 |
| PB2 | 5.04/0.19 | 7.27/0.41 | 9.14/0.40 |
| GS1 | 6.09/0.23 | 8.20/0.36 | 9.14/0.49 |
| GS2 | 5.16/0.42 | 6.56/0.59 | 7.97/0.29 |
| PL1 | 7.27/0.16 | 9.38/0.30 | 10.31/0.56 |
| PL2 | 5.63/0.24 | 8.91/0.57 | 9.61/0.05 |
| Analyzed Dependency | Flexural Strength after 7 Days [MPa] | Flexural Strength after 28 Days [MPa] | Flexural Strength after 56 Days [MPa] |
|---|---|---|---|
| Indicator D50 | 0.1716 | 0.2707 | 0.0008 |
| Indicator D90 | 0.2547 | 0.5958 | 0.1573 |
| Specific surface area | 0.1636 | 0.3976 | 0.0747 |
| Contents SiO2 | 0.0006 | 0.1236 | 0.0536 |
Disclaimer/Publisher’s Note: The statements, opinions and data contained in all publications are solely those of the individual author(s) and contributor(s) and not of MDPI and/or the editor(s). MDPI and/or the editor(s) disclaim responsibility for any injury to people or property resulting from any ideas, methods, instructions or products referred to in the content. |
© 2024 by the authors. Licensee MDPI, Basel, Switzerland. This article is an open access article distributed under the terms and conditions of the Creative Commons Attribution (CC BY) license (https://creativecommons.org/licenses/by/4.0/).
Share and Cite
Rogojsz, G.; Rudnicki, T. Influence of Mineral Additives on Strength Properties of Standard Mortar. Materials 2024, 17, 4158. https://doi.org/10.3390/ma17164158
Rogojsz G, Rudnicki T. Influence of Mineral Additives on Strength Properties of Standard Mortar. Materials. 2024; 17(16):4158. https://doi.org/10.3390/ma17164158
Chicago/Turabian StyleRogojsz, Grzegorz, and Tomasz Rudnicki. 2024. "Influence of Mineral Additives on Strength Properties of Standard Mortar" Materials 17, no. 16: 4158. https://doi.org/10.3390/ma17164158
APA StyleRogojsz, G., & Rudnicki, T. (2024). Influence of Mineral Additives on Strength Properties of Standard Mortar. Materials, 17(16), 4158. https://doi.org/10.3390/ma17164158

