Low-Cycle Fatigue Properties of Bimetallic Steel Bar with Buckling: Energy-Based Numerical and Experimental Investigations
Abstract
1. Introduction
2. Low-Cycle Fatigue Experiment
2.1. Materials
2.2. Test Methods
2.3. Buckling Mode
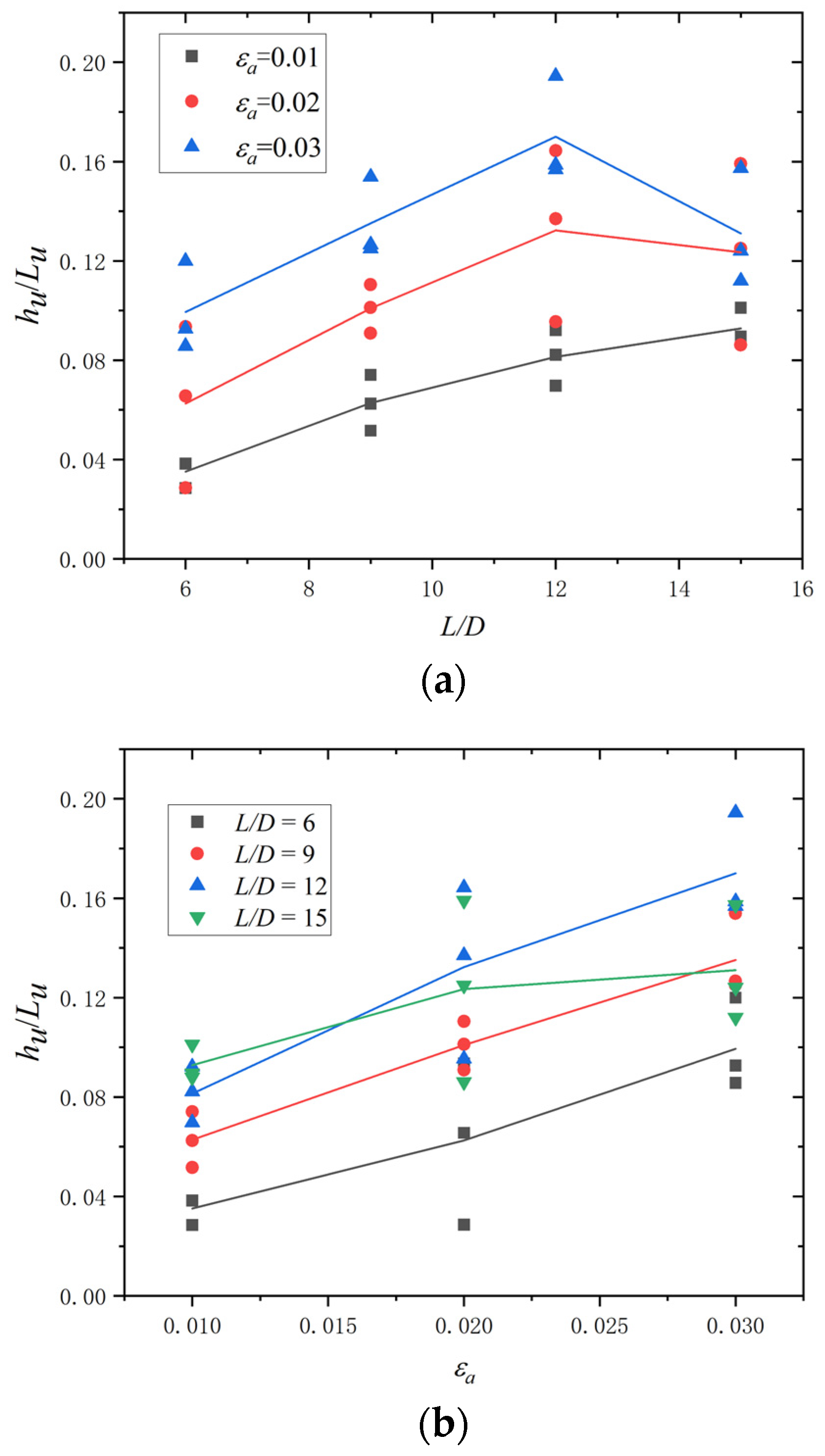
2.4. Test Results and Discussion
3. Numerical Model of BSB Specimen
3.1. Modelling Method
3.2. Validation and Discussion
3.3. Effect of Slenderness Ratio and Fatigue Strain Amplitude
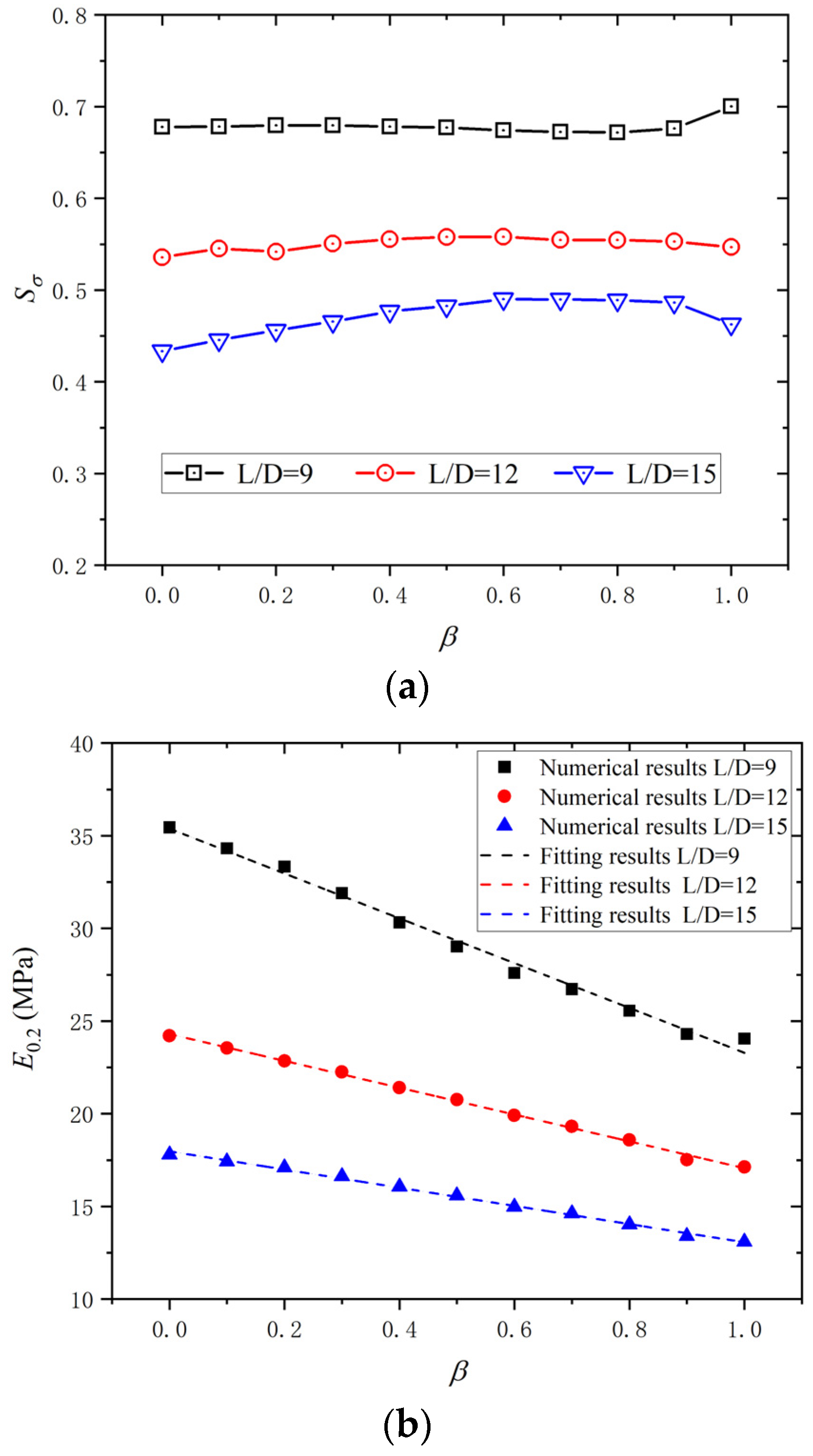
3.4. Effect of Cladding Ratio
4. Conclusions
- (1)
- An experiment including five different L/D and three different εa values was conducted to quantify the influences of buckling on the LCF properties of BSBs. The typical buckling mode of the BSBs was determined and three plastic hinges were observed. The impacts of the L/D and εa on the hu/Lu were revealed.
- (2)
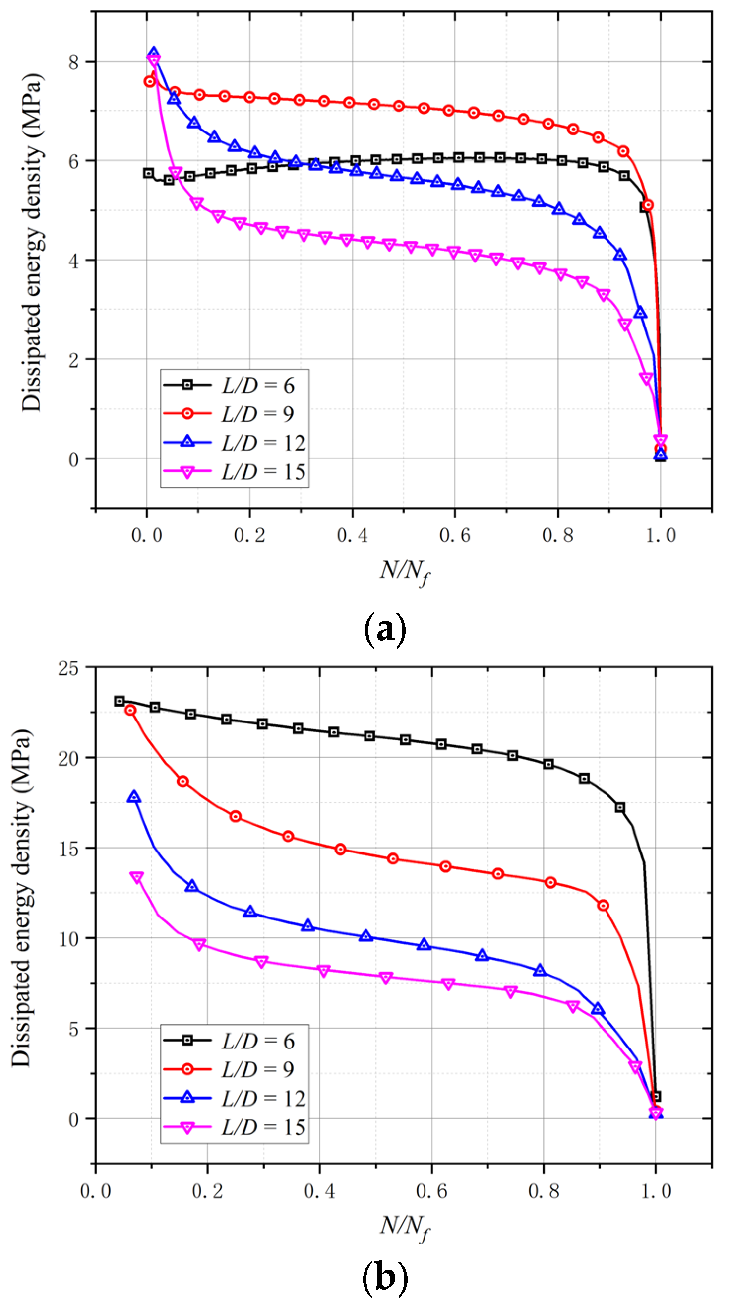
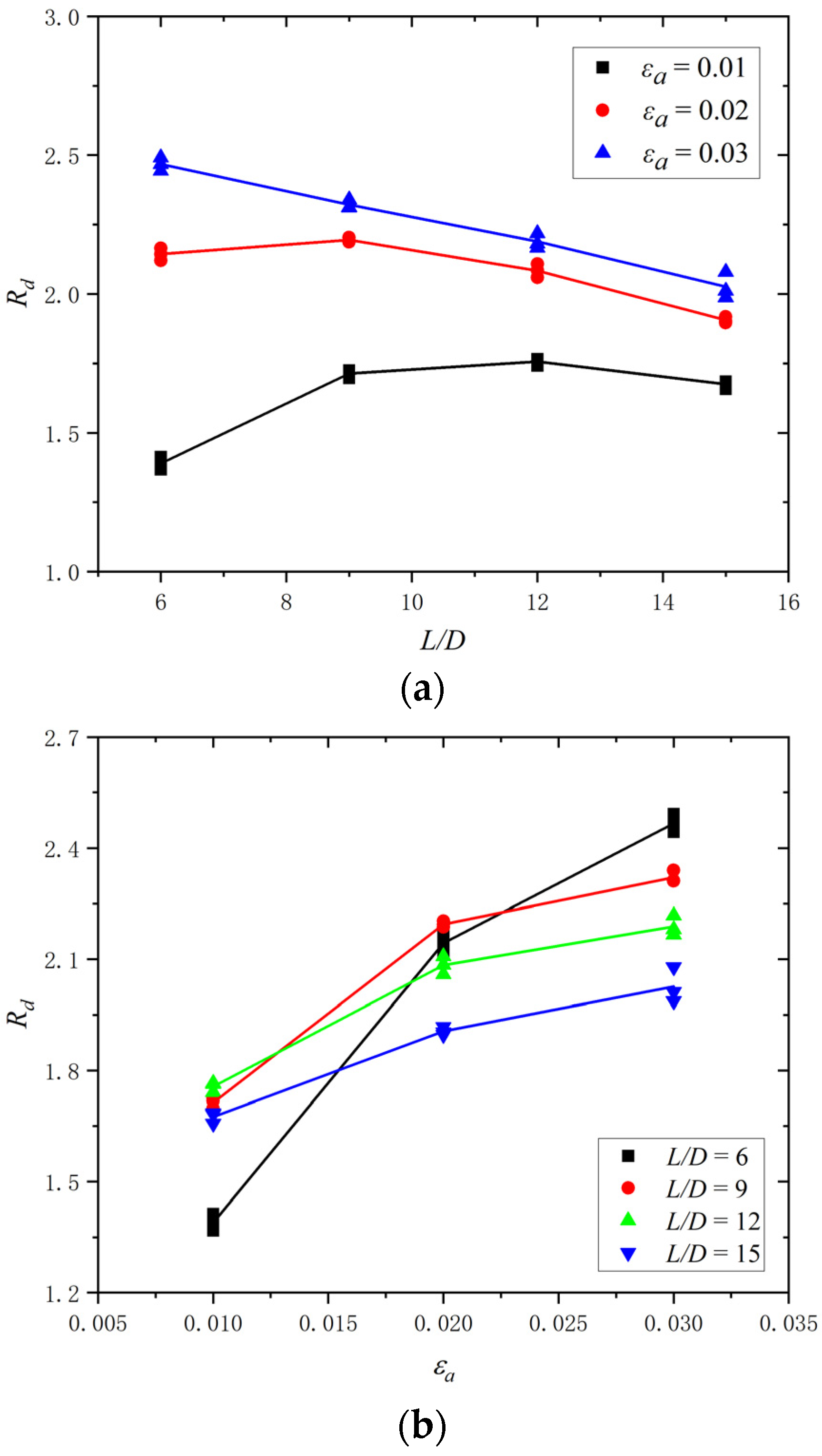
- The hysteretic loops of BSBs with various L/D and εa values were compared. The hysteresis loops of the BSBs with L/D = 6 and εa = 0.01 exhibited original symmetry. With increases in the L/D, the original symmetry of the hysteresis loop gradually disappeared owing to buckling. Test results stated that the L/D and εa exhibited a coupling effect on the cycles to failure of the BSBs. The variation trends of the dissipated energy density and energy dissipation coefficient Rd of the BSBs were discussed to clarify the effects of buckling.
- (3)
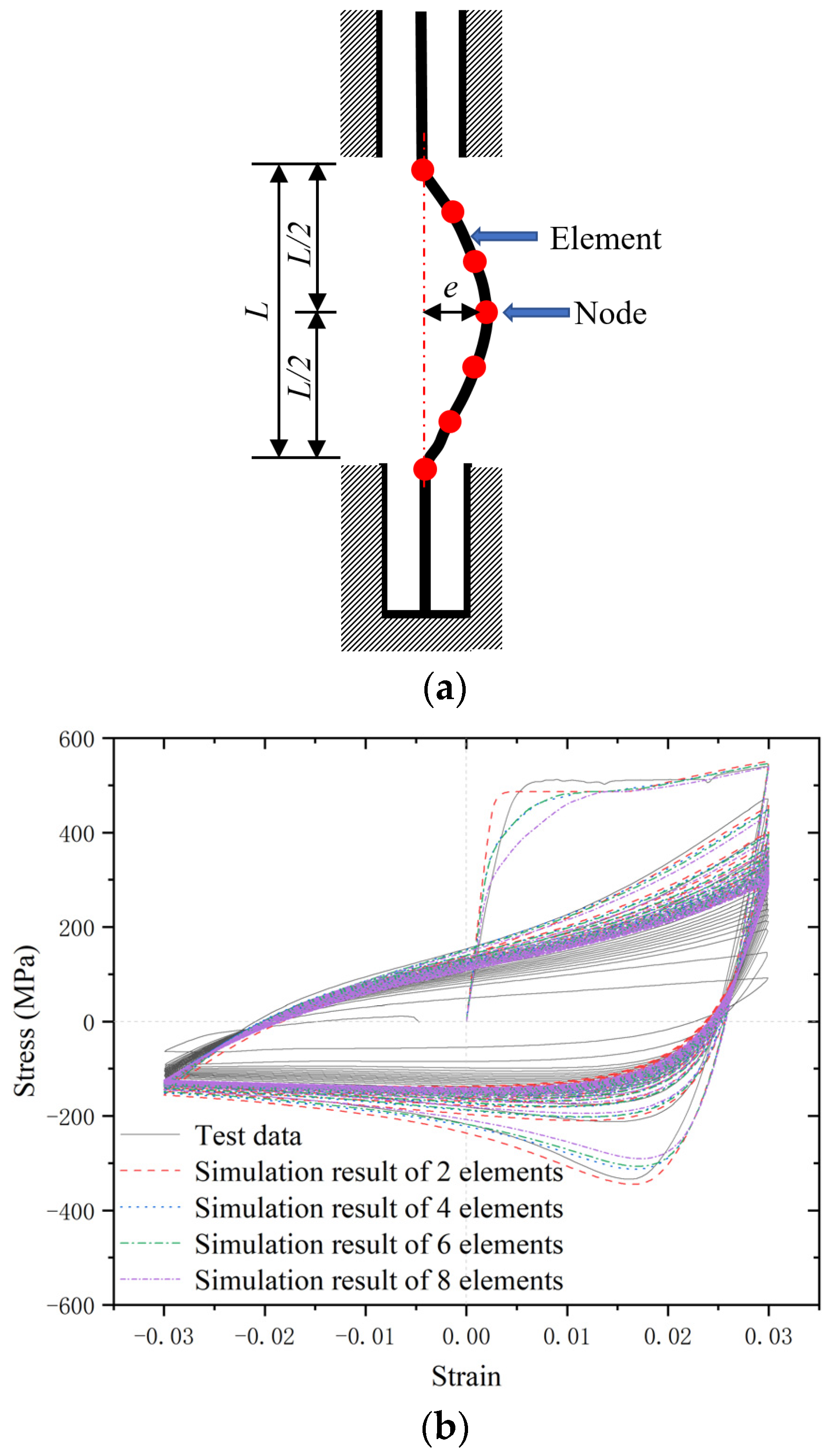
- A numerical modelling method was suggested, which was carefully validated. The numerical results revealed that the influence of the number of elements on the simulation results was negligible. A predictive equation, which considered the effects of the L/D, was proposed to reveal relations between εa and Nf. With increases in the L/D, a pinching phenomenon of the hysteresis loop corresponding to 20% Nf was gradually revealed. The σc,max and σp,max were reduced by increasing the L/D.
- (4)
- For BSBs with various εa values, the hysteretic loops corresponding to 20% Nf shared a similar shape. Increases in β reduced the peak stress and dissipated energy properties of BSBs, so it is recommended that the proportion of stainless steel in BSBs should be minimized once the corrosion resistance requirements are met. Furthermore, Sσ and Rd were selected to determine the impacts of the L/D and εa on the stress and dissipated energy properties.
Author Contributions
Funding
Informed Consent Statement
Data Availability Statement
Conflicts of Interest
References
- Zheng, Y.; Zheng, S.S.; Yang, L.; Dong, L.G.; Ruan, S.; Ming, M. Experimental study on the seismic behavior of corroded reinforced concrete walls in an artificial climate corrosion environment. Eng. Struct. 2022, 252, 113469. [Google Scholar] [CrossRef]
- Zhao, X.; Wu, J.; Zhang, L.; Yang, X. Bond properties between corroded steel bars and recycled aggregate concrete after high-temperature exposure. J. Build. Eng. 2024, 93, 109835. [Google Scholar] [CrossRef]
- Yu, X.; Yan, Z.; Li, J. Comprehensive study on corrosion induced structural deterioration of steel bars in reinforced concrete beams. J. Constr. Steel Res. 2024, 214, 108504. [Google Scholar] [CrossRef]
- Forsdyke, J.C.; Lees, J.M. Model fitting to concrete carbonation data with non-zero initial carbonation depth. Mater. Struct. 2023, 56, 22. [Google Scholar] [CrossRef]
- Yu, B.; Fang, Z.; Gao, Y.; Yang, W.; Wang, C.; Zhou, S. Carbonation of supersulfated cement concrete after 8 years of natural exposure. Cem. Concr. Compos. 2023, 142, 105165. [Google Scholar] [CrossRef]
- Tang, B.; Fan, M.; Yang, Z.; Sun, Y.; Yuan, L. A comparison study of aggregate carbonation and concrete carbonation for the enhancement of recycled aggregate pervious concrete. Constr. Build. Mater. 2023, 371, 130797. [Google Scholar] [CrossRef]
- Londhe, S.N.; Kulkarni, P.S.; Dixit, P.R.; Silva, A.; Neves, R.; de Brito, J. Predicting carbonation coefficient using Artificial neural networks and genetic programming. J. Build. Eng. 2021, 39, 102258. [Google Scholar] [CrossRef]
- Paul, S.C.; van Zijl, G. Chloride-induced corrosion modelling of cracked reinforced SHCC. Arch. Civ. Mech. Eng. 2016, 16, 734–742. [Google Scholar] [CrossRef]
- Yuan, Y.; Ji, Y. Modeling corroded section configuration of steel bar in concrete structure. Constr. Build. Mater. 2009, 23, 2461–2466. [Google Scholar] [CrossRef]
- Moreno, E.; Cobo, A.; Palomo, G.; González, M.N. Mathematical models to predict the mechanical behavior of reinforcements depending on their degree of corrosion and the diameter of the rebars. Constr. Build. Mater. 2014, 61, 156–163. [Google Scholar] [CrossRef]
- Zhou, Y.; Dang, L.; Sui, L.; Li, D.; Zhao, X.; Xing, F.; Wu, Y. Experimental study on the bond behavior between corroded rebar and concrete under dual action of FRP confinement and sustained loading. Constr. Build. Mater. 2017, 155, 605–616. [Google Scholar] [CrossRef]
- Yalciner, H.; Eren, O.; Sensoy, S. An experimental study on the bond strength between reinforcement bars and concrete as a function of concrete cover, strength and corrosion level. Cem. Concr. Res. 2012, 42, 643–655. [Google Scholar] [CrossRef]
- Zhang, Y.B.; Zheng, S.S.; Dong, L.G.; Zheng, Y. Bond behavior of corroded reinforcements in concrete: An experimental study and hysteresis model. Arch. Civ. Mech. Eng. 2023, 23, 95. [Google Scholar] [CrossRef]
- Hou, L.; Zhou, B.; Guo, S.; Zhuang, N.; Chen, D. Bond-slip behavior between pre-corroded rebar and steel fiber reinforced concrete. Constr. Build. Mater. 2018, 182, 637–645. [Google Scholar] [CrossRef]
- Lin, H.; Zhao, Y. Effects of confinements on the bond strength between concrete and corroded steel bars. Constr. Build. Mater. 2016, 118, 127–138. [Google Scholar] [CrossRef]
- Dastgerdi, A.A.; Brenna, A.; Ormellese, M.; Pedeferri, M.P.; Bolzoni, F. Experimental design to study the influence of temperature, pH, and chloride concentration on the pitting and crevice corrosion of UNS S30403 stainless steel. Corros. Sci. 2019, 159, 108160. [Google Scholar] [CrossRef]
- Gao, S.; Guo, L.H.; Zhang, S.M. Performance of circular stainless-carbon steel tube confined concrete stubs under axial compression. Arch. Civ. Mech. Eng. 2022, 22, 104. [Google Scholar] [CrossRef]
- Hai, L.; Ban, H.; Shi, Y. Preliminary numerical investigation on uniaxial monotonic properties of titanium-clad bimetallic steel. In Proceedings of the 17th Colloquium of Institute of Structural Stability and Fatigue, Xi’an, China, 3–4 September 2021; pp. 223–227. [Google Scholar]
- Shi, Y.; Luo, Z.; Zhou, X.; Xue, X.; Li, J. Post-fire mechanical properties of titanium–clad bimetallic steel in different cooling approaches. J. Constr. Steel Res. 2022, 191, 107169. [Google Scholar] [CrossRef]
- Hai, L.T.; Li, G.Q.; Wang, Y.B.; Wang, Y.Z. Experimental and numerical investigation on Q690 high strength steel beam-columns under cyclic lateral loading about weak axis. Eng. Struct. 2021, 236, 112107. [Google Scholar] [CrossRef]
- Li, W.; Wang, Q.; Qu, H.; Xiang, Y.; Li, Z. Mechanical properties of HRB400E/316L stainless steel clad rebar under low-cycle fatigue. Structures 2022, 38, 292–305. [Google Scholar] [CrossRef]
- Ban, H.; Zhu, J.; Shi, G.; Zhang, Y. Tests and modelling on cyclic behaviour of stainless-clad bimetallic steel. J. Constr. Steel Res. 2020, 166, 105944. [Google Scholar] [CrossRef]
- Hai, L.; Ban, H. Full-range stress-strain relation of stainless-clad bimetallic steel: Constitutive modelling. J. Build. Eng. 2022, 57, 104868. [Google Scholar] [CrossRef]
- Hua, J.; Wang, F.; Xiang, Y.; Yang, Z.; Xue, X.; Huang, L.; Wang, N. Mechanical properties of stainless-clad bimetallic steel bars exposed to elevated temperatures. Fire Saf. J. 2022, 127, 103521. [Google Scholar] [CrossRef]
- Ban, H.; Chen, Z.; Xiang, Y.; Li, Z. Bond behaviour of stainless-clad bimetallic rebar in concrete. Structures 2022, 37, 1069–1079. [Google Scholar] [CrossRef]
- Mantawy, A.; Anderson, J.C. Effect of long-duration earthquakes on the low-cycle fatigue damage in RC frame buildings. Soil Dyn. Earthq. Eng. 2018, 109, 46–57. [Google Scholar] [CrossRef]
- Apostolopoulos, C.; Konstantopoulos, G.; Koulouris, K. Seismic resistance prediction of corroded S400 (BSt420) reinforcing bars. Int. J. Struct. Integr. 2018, 9, 119–138. [Google Scholar] [CrossRef]
- Abdalla, J.A.; Hawileh, R.A.; Oudah, F.; Abdelrahman, K. Energy-based prediction of low-cycle fatigue life of BS 460B and BS B500B steel bars. Mater. Des. 2009, 30, 4405–4413. [Google Scholar] [CrossRef]
- Apostolopoulos, C.A.; Papadopoulos, M.P. Tensile and low cycle fatigue behavior of corroded reinforcing steel bars S400. Constr. Build. Mater. 2007, 21, 855–864. [Google Scholar] [CrossRef]
- Caprili, S.; Salvatore, W. Cyclic behaviour of uncorroded and corroded steel reinforcing bars. Constr. Build. Mater. 2015, 76, 168–186. [Google Scholar] [CrossRef]
- Loporcaro, G.; Cuevas, A.; Pampanin, S.; Kral, M.V. Monotonic and low-cycle fatigue properties of earthquake-damaged New Zealand steel reinforcing bars. The experience after the Christchurch 2010/2011 earthquakes. Procedia Struct. Integr. 2018, 11, 194–201. [Google Scholar] [CrossRef]
- Kashani, M.M.; Lowes, L.N.; Crewe, A.J.; Alexander, N.A. Finite element investigation of the influence of corrosion pattern on inelastic buckling and cyclic response of corroded reinforcing bars. Eng. Struct. 2014, 75, 113–125. [Google Scholar] [CrossRef]
- Tripathi, M.; Dhakal, R.P.; Dashti, F.; Massone, L.M. Low-cycle fatigue behaviour of reinforcing bars including the effect of inelastic buckling. Constr. Build. Mater. 2018, 190, 1226–1235. [Google Scholar] [CrossRef]
- Aldabagh, S.; Alam, M.S. Low-cycle fatigue performance of high-strength steel reinforcing bars considering the effect of inelastic buckling. Eng. Struct. 2021, 235, 112114. [Google Scholar] [CrossRef]
- Hua, J.; Wang, F.; Yang, Z.; Xue, X.; Huang, L.; Chen, Z. Low-cycle fatigue properties of bimetallic steel bars after exposure to elevated temperature. J. Constr. Steel Res. 2021, 187, 106959. [Google Scholar] [CrossRef]
- GB/T 26077-2021; Metallic Materials—Fatigue Testing—Axial-Strain-Controlled Method. China Standard Press: Beijing, China, 2021. (In Chinese)
- Sheng, G.; Gong, S. Investigation of low cycle fatigue behavior of building structural steels under earthquake loading. Acta Metall. Sin. 1997, 10, 51–55. [Google Scholar]
- GB 50017-2017; Standard for Design of Steel Structures. China Architecture & Building Press: Beijing, China, 2017.
- Hua, J.; Fan, H.; Yan, W.; Wang, N.; Xue, X.; Huang, L. Seismic resistance of the corroded bimetallic steel bar under different strain amplitudes. Constr. Build. Mater. 2022, 319, 126088. [Google Scholar] [CrossRef]
- Hua, J.; Fan, H.; Xue, X.; Wang, F.; Chen, Z.; Huang, L.; Wang, N. Tensile and low-cycle fatigue performance of bimetallic steel bars with corrosion. J. Build. Eng. 2021, 43, 103188. [Google Scholar] [CrossRef]
- Kashani, M.M.; Barmi, A.K.; Malinova, V.S. Influence of inelastic buckling on low-cycle fatigue degradation of reinforcing bars. Constr. Build. Mater. 2015, 94, 644–655. [Google Scholar] [CrossRef]
- Hua, J.; Wang, F.; Huang, L.; Wang, N.; Xue, X. Experimental study on mechanical properties of corroded stainless-clad bimetallic steel bars. Constr. Build. Mater. 2021, 287, 123019. [Google Scholar] [CrossRef]



























| Category (%) | C | Si | Mn | P | S | Ni | Cr | Cu | Al | Mo |
|---|---|---|---|---|---|---|---|---|---|---|
| S30408 | 0.201 | 0.421 | 1.441 | 0.008 | 0.004 | 0.047 | 0.087 | 0.045 | 0.014 | 0.009 |
| HRB400 | 0.050 | 0.415 | 1.005 | 0.012 | <0.001 | 8.230 | 18.410 | 0.071 | 0.002 | 0.024 |
| Number | L/D | Test Segment (mm) | Clamped Length (mm) | Full Length (mm) |
|---|---|---|---|---|
| B-6 | 6 | 108 | 80 | 268 |
| B-9 | 9 | 162 | 80 | 322 |
| B-12 | 12 | 216 | 80 | 376 |
| B-15 | 15 | 270 | 80 | 430 |
| Number | L/D | εa | Peak Tensile Stress (MPa) | Peak Compressive Stress (MPa) |
|---|---|---|---|---|
| B-6-0.01 | 6 | 0.01 | 462.28 | 518.50 |
| B-6-0.02 | 6 | 0.02 | 550.47 | 554.93 |
| B-6-0.03 | 6 | 0.03 | 570.22 | 547.50 |
| B-9-0.01 | 9 | 0.01 | 495.39 | 521.48 |
| B-9-0.02 | 9 | 0.02 | 522.24 | 423.74 |
| B-9-0.03 | 9 | 0.03 | 526.83 | 323.10 |
| B-12-0.01 | 12 | 0.01 | 497.49 | 367.55 |
| B-12-0.02 | 12 | 0.02 | 507.45 | 270.09 |
| B-12-0.03 | 12 | 0.03 | 506.42 | 201.53 |
| B-15-0.01 | 15 | 0.01 | 500.97 | 296.09 |
| B-15-0.02 | 15 | 0.02 | 499.32 | 172.42 |
| B-15-0.03 | 15 | 0.03 | 520.70 | 142.76 |
| L/D | m | n | Coefficient of Determination (R2) |
|---|---|---|---|
| 9 | 35.38 | −12.09 | 0.990 |
| 12 | 24.30 | −7.24 | 0.998 |
| 15 | 17.97 | −4.91 | 0.995 |
Disclaimer/Publisher’s Note: The statements, opinions and data contained in all publications are solely those of the individual author(s) and contributor(s) and not of MDPI and/or the editor(s). MDPI and/or the editor(s) disclaim responsibility for any injury to people or property resulting from any ideas, methods, instructions or products referred to in the content. |
© 2024 by the authors. Licensee MDPI, Basel, Switzerland. This article is an open access article distributed under the terms and conditions of the Creative Commons Attribution (CC BY) license (https://creativecommons.org/licenses/by/4.0/).
Share and Cite
Xue, X.; Wang, F.; Wang, N.; Hua, J.; Deng, W. Low-Cycle Fatigue Properties of Bimetallic Steel Bar with Buckling: Energy-Based Numerical and Experimental Investigations. Materials 2024, 17, 3974. https://doi.org/10.3390/ma17163974
Xue X, Wang F, Wang N, Hua J, Deng W. Low-Cycle Fatigue Properties of Bimetallic Steel Bar with Buckling: Energy-Based Numerical and Experimental Investigations. Materials. 2024; 17(16):3974. https://doi.org/10.3390/ma17163974
Chicago/Turabian StyleXue, Xuanyi, Fei Wang, Neng Wang, Jianmin Hua, and Wenjie Deng. 2024. "Low-Cycle Fatigue Properties of Bimetallic Steel Bar with Buckling: Energy-Based Numerical and Experimental Investigations" Materials 17, no. 16: 3974. https://doi.org/10.3390/ma17163974
APA StyleXue, X., Wang, F., Wang, N., Hua, J., & Deng, W. (2024). Low-Cycle Fatigue Properties of Bimetallic Steel Bar with Buckling: Energy-Based Numerical and Experimental Investigations. Materials, 17(16), 3974. https://doi.org/10.3390/ma17163974

