A Polymethionine Nanoparticle Fluorescent Probe for Sensitive Detection of Naringin and Naringenin
Abstract
1. Introduction
2. Experimental Section
2.1. Materials
2.2. Synthesis of the PMNPs
2.3. Characterizations
2.4. General Procedure for NRG and NRGe Sensing
2.5. Analysis of NRG and NRGe in Citrus Fruits Samples
3. Results and Discussion
3.1. Characterization of PMNPs
3.2. Stability Studies of PMNPs
3.3. Fluorescence Sensing of NRG and NRGe Based on the PMNPs Probe
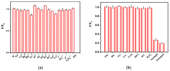
3.4. Selectivity of the Sensing System
3.5. Fluorescence Quenching Mechanism
3.6. Practical Application in Real Samples
4. Conclusions
Supplementary Materials
Author Contributions
Funding
Institutional Review Board Statement
Informed Consent Statement
Data Availability Statement
Conflicts of Interest
References
- Cohen, E.; Sharonr, R.; Volman, L.; Hoenig, R.; Saguy, I. Characteristics of israeli citrus peel and citrus juice. J. Food. Sci. 1984, 49, 987–990. [Google Scholar] [CrossRef]
- Mouly, P.; Gaydou, E.M.; Estienne, J. Column liquid chromatographic determination of flavanone glycosides in Citrus: Application to grapefruit and sour orange juice adulterations. J. Chromatogr. 1993, 634, 129–134. [Google Scholar] [CrossRef] [PubMed]
- Castlllo, J.; Benavente-garcfa, O.; Del Rio, J.A. Study and optimization of citrus flavanone and flavones elucidation by reverse phase HPLC with several mobile phases: Influorescence of the structural characteristics. J. Liq. Chromatogr. 1994, 17, 1497–1523. [Google Scholar] [CrossRef]
- Fan, S.H.; Zhang, Z.F.; Zheng, Y.L.; Lu, J.; Wu, D.M.; Shan, Q.; Hu, B.; Wang, Y.Y. Troxerutin protects the mouse kidney from D-galactose-caused injury through anti-inflammation and anti-oxidation. Int. Immunopharmacol. 2009, 9, 91–96. [Google Scholar] [CrossRef] [PubMed]
- Zheng, H.; Zhen, X.T.; Chen, Y.; Zhu, S.C.; Ye, L.H.; Yang, S.Y.; Wang, Q.Y.; Cao, J. In situ antioxidation-assisted matrix solid-phase dispersion microextraction and discrimination of chiral flavonoids from citrus fruit via ion mobility quadrupole time-of-flight high-resolution mass spectrometry. Food Chem. 2021, 343, 128422. [Google Scholar] [CrossRef]
- Martin, M.J.; Marhuenda, E.; Franco, J.M. Anticulcer effect of naringin on gastric lesions induced by ethanol in rats. Pharmacology 1994, 49, 144–150. [Google Scholar] [CrossRef]
- Mohamed, E.A.; Hashim, I.I.A.; Yusif, R.M.; Shaaban, A.A.A.; El-Sheakh, A.R.; Hamed, M.F.; Badria, F.A.E. Polymeric micelles for potentiated antiulcer and anticancer activities of naringin. Int. J. Nanomed. 2018, 13, 1009–1027. [Google Scholar] [CrossRef] [PubMed]
- Fang, T.Z.; Wang, Y.G.; Ma, Y.; Su, W.W.; Bai, Y.; Zhao, P.Y. A rapid LC/MS/MS quantitation assay for naringin and its two metabolites in rats plasma. J. Pharm. Biomed. Anal. 2006, 40, 454–459. [Google Scholar] [CrossRef] [PubMed]
- Li, X.L.; Xiao, H.B.; Liang, X.M.; Shi, D.Z.; Liu, J.G. LC–MS/MS determination of naringin, hesperidin and neohesperidin in rat serum after orally administrating the decoction of Bulpleurum falcatum, L. and Fractus aurantii. J. Pharm. Biomed. Anal. 2004, 34, 159–166. [Google Scholar] [CrossRef]
- Agus, S.; Achmadi, S.S.; Mubarik, N.R. Antibacterial activity of naringenin-rich fraction of pigeon pea leaves toward Salmonella thypi. Asian Pac. J. Trop. Biomed. 2017, 78, 725–728. [Google Scholar] [CrossRef]
- Patel, K.; Gadewar, M.; Tahilyan, V.; Patel, D.K. A review on pharmacological and analytical aspects of diosgenin: A concise report. Nat. Prod. Bioprospect. 2012, 2, 46–52. [Google Scholar] [CrossRef]
- Lin, B.Q.; Li, P.B.; Wang, Y.G.; Peng, W.; Wu, Z.; Su, W.W.; Ji, H. The expectorant activity of naringenin. Pulm. Pharmacol Ther. 2008, 21, 259–263. [Google Scholar]
- Wang, L.Y.; Zeng, W.F.; Wang, L.Y.; Wang, Z.H.; Yin, X.Z.; Qin, Y.; Zhang, F.Y.; Zhang, C.L.; Liang, W. Naringenin enhances the antitumor effect of therapeutic vaccines by promoting antigen cross-presentation. J. Immunol. 2020, 204, 622–631. [Google Scholar] [CrossRef] [PubMed]
- Chang, H.L.; Chang, Y.M.; Lai, S.C.; Chen, K.M.; Wang, K.C.; Chiu, T.T.; Chang, F.H.; Hsu, L.S. Naringenin inhibits migration of lung cancer cells via the inhibition of matrix metalloproteinases-2 and -9. Exp. Ther. Med. 2017, 13, 739–744. [Google Scholar] [CrossRef] [PubMed]
- Orhan, I.E.; Nabavi, S.F.; Daglia, M.; Tenore, G.C.; Mansouri, K.; Nabavi, S.M. Naringenin and atherosclerosis: A review of literature. Curr. Pharm. Biotechno. 2015, 16, 245–251. [Google Scholar] [CrossRef] [PubMed]
- Hsiu, S.L.; Huang, T.Y.; Hou, Y.C.; Chin, D.H.; Chao, P.D.L. Comparison of metabolic pharmacokinetics of naringin and naringenin in rabbits. Life Sci. 2002, 70, 1481–1489. [Google Scholar] [CrossRef] [PubMed]
- Cordenonsi, L.M.; Bromberger, N.G.; Raffin, R.P.; Scherman, E.E. Simultaneous separation and sensitive detection of naringin and naringenin in nanoparticles by chromatographic method indicating stability and photodegradation kinetics. Biomed. Chromatogr. 2016, 30, 155–162. [Google Scholar] [CrossRef] [PubMed]
- Xiong, X.; Jiang, J.J.; Duan, J.L.; Xie, Y.M.; Wang, J.N.; Zhai, S.D. Development and validation of a sensitive Liquid chromatography—Tandem Mass Spectrometry method for the determination of naringin and its metabolite, naringenin, in Human Plasma. J. Chromatogr. Sci. 2014, 52, 654–660. [Google Scholar] [CrossRef]
- Zou, W.; Yang, C.; Liu, M.; Su, W. Tissue Distribution Study of Naringin in Rats by Liquid Chromatography-Tandem Mass Spectrometry. Arzneimittelforschung 2012, 62, 181–186. [Google Scholar] [CrossRef]
- Ziyatdinova, G.; Yakupova, E.; Guss, E.; Budnikov, H.; Pereira, N.M. The Selective Electrochemical Sensing of Naringin Using Electropolymerized Ellagic Acid Film. J. Electrochem. Soc. 2020, 167, 107502. [Google Scholar] [CrossRef]
- Sousa, C.S.; Lima, K.C.M.S.; Botelho, C.N.; Pereira, N.M.; Fernandes, R.N.; Silva, G.G.; Damos, F.S.; Luz, R.C.S. Photoelectrochemical sensor for determination of naringin at low oxidation potential using a modified FTO electrode with cadmium sulfide and titanium dioxide sensitized with chloroprotoporphyrin IX iron (III). J. Solid State Electr. 2020, 24, 1715–1726. [Google Scholar] [CrossRef]
- Gupta, A.K.; Mishra, P.; Senapati, M.; Sahu, P.P. A novel electrochemical device for naringin quantiffcation and removal from bitter variety of citrus fruits. J. Food Eng. 2021, 306, 110637. [Google Scholar] [CrossRef]
- Volikakis, G.J.; Efstathiou, C.E. Determination of rutin and other flavonoids by flow-injection/adsorptive stripping voltammetry using nujol-graphite and diphenylether-graphite paste electrodes. Talanta 2000, 51, 775–785. [Google Scholar] [CrossRef] [PubMed]
- Hu, H.T.; Xu, J.T.; Li, B.L.; Han, G.C.; Feng, X.Z.; Kraatz, H.B. Construction of rGO and GSH Electrochemical Sensor by Electrodeposition for Naringenin Sensing. J. Electrochem. Soc. 2024, 171, 072501. [Google Scholar] [CrossRef]
- Reichart, E.; Obendorf, D. Determination of naringin in grapefruit juice by cathodic stripping differential pulse voltammetry at the hanging mercury drop electrode. Anal. Chim. Acta 1998, 360, 179–187. [Google Scholar] [CrossRef]
- Jiang, Z.; Zhou, X.; Zhong, T.Y.; Wang, G. A new pyrene-based “turn-on” fuorescent probe for highly selective detection of hypochlorite in aqueous solution and in living cells. Chem. Pap. 2023, 77, 197–205. [Google Scholar] [CrossRef]
- Çenet, E.N.; Aydin, Z.; Keles, M.; Bayrakci, M. A highly sensitive fluorescent sensor for fenamiphos detection in vegetable samples and living cells based-on an enzyme free system. Spectrochim. Acta Part A Mol. Biomol. Spectrosc. 2023, 284, 121798. [Google Scholar]
- Sua, Y.; Shi, B.F.; Liao, S.Q.; Qin, Y.F.; Zhang, L.L.; Huang, M.J.; Zhao, S.L. Facile preparation of fluorescent polydihydroxyphenylalanine nanoparticles for label-free detection of copper ions. Sens. Actuators B. 2016, 225, 334–339. [Google Scholar] [CrossRef]
- Yildirim, A.; Bayindir, M. Turn-on fluorescent dopamine sensing based on in situ formation of visible light emitting polydopamine nanoparticles. Anal. Chem. 2014, 86, 5508–5512. [Google Scholar] [CrossRef]
- Nighswander-Rempel, S.P.; Riesz, J.; Gilmore, J.; Meredith, P. A quantum yield map for synthetic eumelanin. J. Chem. Phys. 2005, 123, 194901. [Google Scholar] [CrossRef]
- Song, Q.W.; Yang, L.X.; Chen, H.K.; Zhang, R.; Na, N.; Ouyang, J. A label-free fluorometric assay for actin detection based on enzyme_responsive DNA-templated copper nanoparticles. Talanta 2017, 174, 444–447. [Google Scholar] [CrossRef] [PubMed]
- Han, B.Y.; Peng, T.T.; Li, Y.; Yu, M.B.; Hu, X.X.; He, G.H. Ultra-stable L-proline protected copper nanoclusters and their solvent effect. Methods Appl. Fluoresc. 2018, 6, 035015. [Google Scholar] [CrossRef] [PubMed]
- Yuan, P.X.; Deng, S.Y.; Zheng, C.Y.; Cosnier, S.; Shan, D. In situ formed copper nanoparticles templated by TdT-mediated DNA for enhanced SPR sensor-based DNA assay. Biosens. Bioelectron. 2017, 97, 1–7. [Google Scholar] [CrossRef] [PubMed]
- Shao, C.Y.; Li, C.B.; Zhang, C.; Ni, Z.; Liu, X.H.; Wang, Y.X. Novel synthesis of orange-red emitting copper nanoclusters stabilized by methionine as a fluorescent probe for norfloxacin sensing. Spectrochim. Acta Part A 2020, 236, 118334. [Google Scholar] [CrossRef] [PubMed]
- Shaw, M.; Samanta, D.; Shaik, M.M.D.; Bhattacharya, A.; Basu, R.; Mondal, I.; Pathak, A. Solvent-induced switching between static and dynamic fluorescence quenching of N, S Co-doped carbon dots in sensing of Crotonaldehyde: A detailed systematic study. Opt. Mater. 2003, 137, 113600. [Google Scholar] [CrossRef]
- Goswami, U.; Dutta, A.; Raza, A.; Kandimalla, R.; Kalita, S.; Ghosh, S.S.; Chattopadhyay, A. Transferrin-Copper Nanocluster-Doxorubicin Nanoparticles as Targeted Theranostic Cancer Nanodrug. ACS Appl. Mater. Interfaces 2018, 10, 3282–3294. [Google Scholar] [CrossRef] [PubMed]
- Li, H.L.; Luo, Y.L.; Sun, X.P. Fluorescence resonance energy transfer dye-labeled probe for fluorescence-enhanced DNA detection: An effective strategy to greatly improve discrimination ability toward single-base mismatch. Biosens. Bioelectron. 2011, 27, 167–171. [Google Scholar] [CrossRef] [PubMed]
- Xu, S.Y.; Wang, J.; Dong, J. Nonspecific interaction and overlap concentration influence macromolecular crowding effect on glucose oxidase activity. Int. J. Biol. Macromol. 2023, 241, 124525. [Google Scholar] [CrossRef] [PubMed]
- Kharajinezhadian, R.; Chaichi, M.J.; Nazari, O.; Lakouraj, M.M.; Hasantabar, V. Disposable luminescent kit based on dithizone-functionalized waste blue-phosphor as field-deployable sensor for environment monitoring. Mater. Sci. Eng. B 2023, 288, 116149. [Google Scholar] [CrossRef]
- Qi, S.; He, X.F.; Zhang, S.S.; Xu, P.; Su, M.; Dong, B.; Song, B. Turn-off near-infrared fluorescent probe for free bilirubin detection constructed by enhanced excimer emission. Anal. Chim. Acta 2023, 1238, 340657. [Google Scholar] [CrossRef]
- Yoshinaga, R.; Kojima, F.; Sugiyama, K.; Kunugita, H.; Hashimoto, T.; Hayashita, T.; Ema, K. Marcus model-based analysis of the photo-quenching mechanism of a boronic acid fuorophore: Water concentration dependence of electron transfer rate. Anal. Sci. 2023, 39, 213–220. [Google Scholar] [CrossRef]
- Sun, W.; Jiang, L.; Hao, X.Y.; Fan, X.G.; Qin, Y.X.; Huang, T.; Lou, Y.; Liao, L.; Zhang, K.Y.; Chen, S.P.; et al. Cane Molasses derived N-doped graphene quantum dots: Dynamic quenching synergistically photoinduced electron transfer for the instant detection of nitrofuran antibiotics. Langmuir 2023, 39, 4394–4405. [Google Scholar] [CrossRef] [PubMed]
- Chen, S.; Yu, Y.L.; Wang, J.H. Inner filter effect-based fluorescent sensing systems: A review. Anal. Chim. Acta 2018, 999, 13–26. [Google Scholar] [CrossRef] [PubMed]
- Anand, S.K.; Mathew, M.R.; Kumar, K.G. A Simple and Cost Effective Turn off Fluorescence Sensor for Biliverdin and Bilirubin Based on L-Cysteine Modulated Copper Nanoclusters. J. Fluoresc. 2020, 30, 63–70. [Google Scholar] [CrossRef]
- Zhang, S.; Wang, Z.; Yan, W.Y.; Guo, Y.Y. Novel luteolin sensor of tannic acid-stabilized copper nanoclusters with blue-emitting fluorescence. Spectrochim. Acta Part A 2021, 259, 119887. [Google Scholar] [CrossRef] [PubMed]
- Cai, Z.F.; Chen, S.Y.; Ma, X.R.; Dang, N.; Zhao, J.; Wu, T.Q.; Zhang, C.F. Preparation and use of tyrosine-capped copper nanoclusters as fluorescent probe to determine rutin. J. Photochem. Photobiol. B 2021, 405, 112918. [Google Scholar] [CrossRef]
- Cai, Z.F.; Zhu, R.T.; Zhang, S.; Wu, L.L.; Li, J.H.; Huang, S.Y.; Ma, X.R. A highly sensitive and selective “turn off” fluorescent sensor based on water soluble copper nanoclusters for morin and temperature sensing. J. Lumin. 2021, 236, 118108. [Google Scholar] [CrossRef]










| Method | Probe | Linear Range | LOD | Reference |
|---|---|---|---|---|
| HPLC | - | - | 0.2 μmol/L (LOD) | [17] |
| Electrochemical Method | - | - | 0.55 μmol/L (LOD) | [25] |
| Photo-electrochemistry | CPPI-TiO2/CdS/FTO | 1~332 μmol/L | 0.03 μmol/L (LOD) | [21] |
| Electrochemistry Method | Hanging mercury drop electrode | 0.172~68.8 μmol/L | 0.05 μmol/L (LOD) | [22] |
| Fluorescence method | PMNPs | 1~200 μmol/L | 0.33 μmol/L (LOD) | [This work] |
| Method | Probe | Linear Range | LOD | Reference |
|---|---|---|---|---|
| HPLC | - | - | 1.286 μmol/L (LOD) | [17] |
| Electrochemical method | - rGO/GSH/GCE | 10~1200 μmol/L | 3.33 μmol/L (LOD) | [24] |
| Fluorescence method | PMNPS | 1~200 μmol/L | 0.83 μmol/L(LOD) | [This work] |
| Samples | τ1 (ns) | τ2 (ns) | B1 | B2 | τavg (ns) |
|---|---|---|---|---|---|
| PMNPs | 0.9191 | 6.5754 | 975.2305 | 519.9597 | 5.4 |
| PMNPs + NRG | 0.6949 | 6.1699 | 1081.1244 | 417.5455 | 4.93 |
| PMNPs + NRGe | 0.8548 | 6.4076 | 1042.3488 | 454.1409 | 5.10 |
| Samples (%) | Detected (μΜ) | Added (μΜ) | Found (μΜ) | Recovery (%) | RSD | |
|---|---|---|---|---|---|---|
| Grapefruit peel | NRG | 12.4 | 2.5 | 14.85 | 102.0 | 3.4 |
| 5.0 | 17.55 | 103.0 | 4.6 | |||
| 10.0 | 22.48 | 99.2 | 4.3 | |||
| NRGe | 8.26 | 5.0 | 13.28 | 100.4 | 4.4 | |
| 10.0 | 18.16 | 99.0 | 3.2 | |||
| 20.0 | 27.10 | 94.2 | 4.5 | |||
| Orange juice | NRG | 1.23 | 2.5 | 3.78 | 102.0 | 2.4 |
| 5.0 | 6.16 | 98.6 | 1.8 | |||
| 10.0 | 11.19 | 99.6 | 1.5 | |||
| NRGe | 2.63 | 5.0 | 7.52 | 97.8 | 3.2 | |
| 10.0 | 12.42 | 97.9 | 4.2 | |||
| 20.0 | 21.03 | 92.0 | 3.8 |
Disclaimer/Publisher’s Note: The statements, opinions and data contained in all publications are solely those of the individual author(s) and contributor(s) and not of MDPI and/or the editor(s). MDPI and/or the editor(s) disclaim responsibility for any injury to people or property resulting from any ideas, methods, instructions or products referred to in the content. |
© 2024 by the authors. Licensee MDPI, Basel, Switzerland. This article is an open access article distributed under the terms and conditions of the Creative Commons Attribution (CC BY) license (https://creativecommons.org/licenses/by/4.0/).
Share and Cite
Jiao, Y.; Li, L.; Ge, J.; Tai, Y.; Han, H. A Polymethionine Nanoparticle Fluorescent Probe for Sensitive Detection of Naringin and Naringenin. Materials 2024, 17, 3919. https://doi.org/10.3390/ma17163919
Jiao Y, Li L, Ge J, Tai Y, Han H. A Polymethionine Nanoparticle Fluorescent Probe for Sensitive Detection of Naringin and Naringenin. Materials. 2024; 17(16):3919. https://doi.org/10.3390/ma17163919
Chicago/Turabian StyleJiao, Yuhong, Lu Li, Jinlong Ge, Yanfang Tai, and Hui Han. 2024. "A Polymethionine Nanoparticle Fluorescent Probe for Sensitive Detection of Naringin and Naringenin" Materials 17, no. 16: 3919. https://doi.org/10.3390/ma17163919
APA StyleJiao, Y., Li, L., Ge, J., Tai, Y., & Han, H. (2024). A Polymethionine Nanoparticle Fluorescent Probe for Sensitive Detection of Naringin and Naringenin. Materials, 17(16), 3919. https://doi.org/10.3390/ma17163919

