Design of Locally Resonant Acoustic Metamaterials with Specified Band Gaps Using Multi-Material Topology Optimization
Abstract
1. Introduction
2. A Simplified Calculation Method for LRAM Band Gaps Based on a Homogenization Framework
2.1. Dispersion Curve Analysis of LRAMs
2.2. The Establishment of Subsystems Based on the Homogenization Framework
2.3. A Simplified Calculation Method for LRAM Band Gaps Using Subsystems
2.3.1. The Map of the Restricted Subsystem to the Macroscale
2.3.2. The Map of the Unrestricted Subsystem to the Macroscale
2.3.3. Band-Gap Analysis through the Two Subsystems
3. A Multi-Material Optimization Method for LRAMs
3.1. The Uniform Multi-Material Description Model
3.2. The CSRBF-Based Parameterized Level-Set Method
3.3. Mathematical Model for LRAM Band-Gap Optimization Problems with Multiple Materials
3.3.1. Maximizing the Band-Gap Width While Ensuring It Encompasses a Specified Frequency Range
3.3.2. Obtaining Light LRAMs with a Specified Band Gap
3.4. Sensitivity Analysis
4. Results and Discussion
4.1. Numerical Examples of Maximizing the Band-Gap Width While Ensuring It Encompasses a Specified Frequency Range
4.1.1. Numerical Examples Where the Obtained Band Gaps Should Encompass 400–600 Hz
4.1.2. Numerical Examples Where the Obtained Band Gaps Should Encompass 1000–2000 Hz
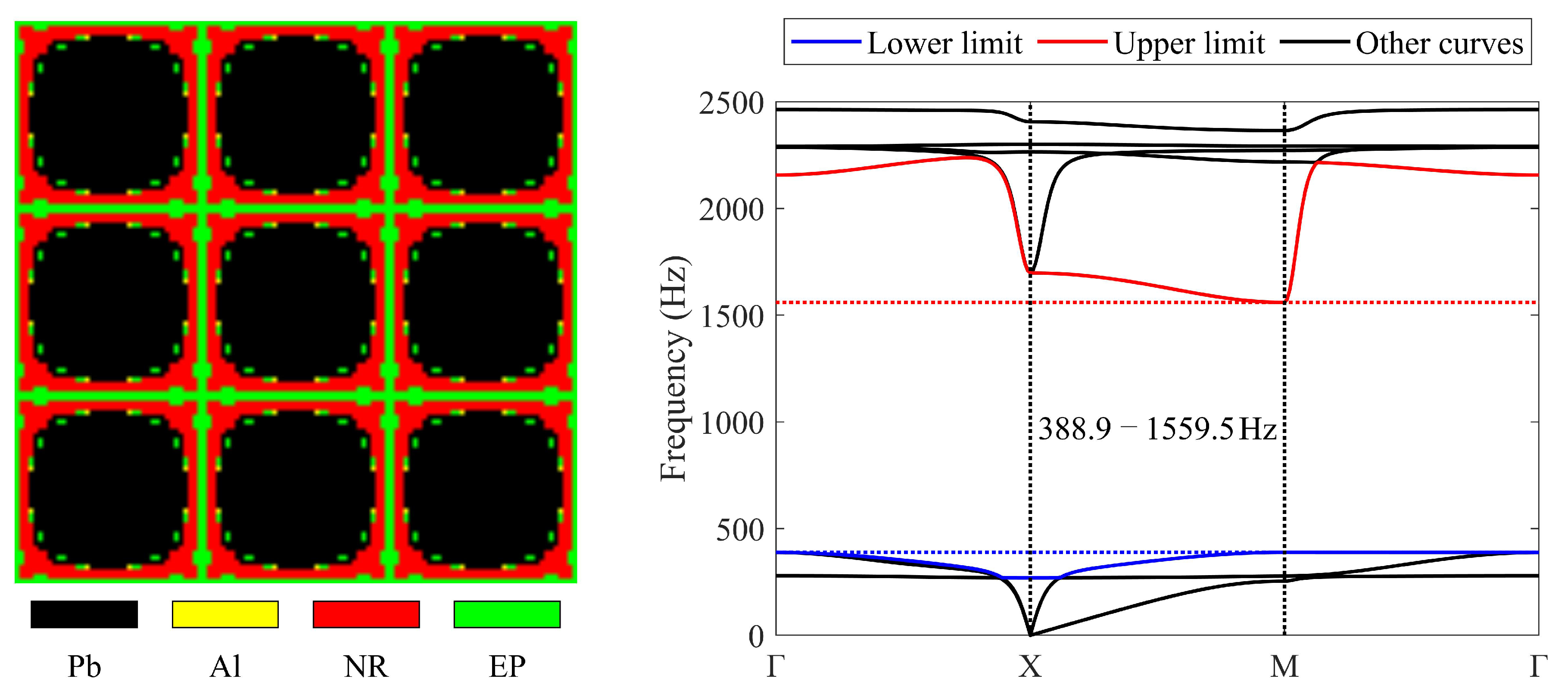
4.2. Numerical Examples of Obtaining Light LRAMs with a Specified Band Gap
4.2.1. Three-Material Cases
4.2.2. Four-Material Cases
4.3. The Impact of Initial Guesses on the Final Optimized Results
5. Conclusions
Author Contributions
Funding
Institutional Review Board Statement
Informed Consent Statement
Data Availability Statement
Conflicts of Interest
Appendix A. The Establishment of the Restricted Subsystem
Appendix B. The Map of the Subsystems to the Macroscale
Appendix B.1. The Map of the Restricted Subsystem to the Macroscale
Appendix B.2. The Map of the Unrestricted Subsystem to the Macroscale
Appendix C. Detailed Derivation of the Sensitivity of the Stiffness and Mass Matrices
References
- Liu, Z.; Zhang, X.; Mao, Y.; Zhu, Y.Y.; Yang, Z.; Chan, C.T.; Sheng, P. Locally Resonant Sonic Materials. Science 2000, 289, 1734–1736. [Google Scholar] [CrossRef]
- Liu, Z.; Chan, C.T.; Sheng, P. Analytic model of phononic crystals with local resonances. Phys. Rev. B 2005, 71, 014103. [Google Scholar] [CrossRef]
- Lu, M.H.; Feng, L.; Chen, Y.F. Phononic crystals and acoustic metamaterials. Mater. Today 2009, 12, 34–42. [Google Scholar] [CrossRef]
- Lincoln, R.L.; Scarpa, F.; Ting, V.P.; Trask, R.S. Multifunctional composites: A metamaterial perspective. Multifunct. Mater. 2019, 2, 043001. [Google Scholar] [CrossRef]
- Roca, D.; Yago, D.; Cante, J.; Lloberas-Valls, O.; Oliver, J. Computational design of locally resonant acoustic metamaterials. Comput. Methods Appl. Mech. Eng. 2019, 345, 161–182. [Google Scholar] [CrossRef]
- Bendsøe, M.P.; Kikuchi, N. Generating optimal topologies in structural design using a homogenization method. Comput. Methods Appl. Mech. Eng. 1988, 71, 197–224. [Google Scholar] [CrossRef]
- Bendsøe, M.P. Optimal shape design as a material distribution problem. Struct. Multidiscipl. Optim. 1989, 1, 193–202. [Google Scholar] [CrossRef]
- Sigmund, O. A 99 line topology optimization code written in Matlab. Struct. Multidiscipl. Optim. 2001, 21, 120–127. [Google Scholar] [CrossRef]
- Zhou, M.; Rozvany, G. The COC algorithm, Part II: Topological, geometrical and generalized shape optimization. Comput. Methods Appl. Mech. Eng. 1991, 89, 309–336. [Google Scholar] [CrossRef]
- Mlejnek, H.P. Some aspects of the genesis of structures. Struct. Multidiscipl. Optim. 1992, 5, 64–69. [Google Scholar] [CrossRef]
- Xie, Y.; Steven, G. A simple evolutionary procedure for structural optimization. Comput. Struct. 1993, 49, 885–896. [Google Scholar] [CrossRef]
- Huang, X.; Xie, Y.M. Evolutionary Topology Optimization of Continuum Structures: Methods and Applications; John Wiley & Sons, Ltd.: Chichester, UK, 2010. [Google Scholar] [CrossRef]
- Sethian, J.; Wiegmann, A. Structural Boundary Design via Level Set and Immersed Interface Methods. J. Comput. Phys. 2000, 163, 489–528. [Google Scholar] [CrossRef]
- Osher, S.J.; Santosa, F. Level Set Methods for Optimization Problems Involving Geometry and Constraints. J. Comput. Phys. 2001, 171, 272–288. [Google Scholar] [CrossRef]
- Li, W.; Meng, F.; Chen, Y.; Li, Y.f.; Huang, X. Topology Optimization of Photonic and Phononic Crystals and Metamaterials: A Review. Adv. Theory Simul. 2019, 2, 1900017. [Google Scholar] [CrossRef]
- Sigmund, O.; Søndergaard Jensen, J. Systematic design of phononic band–gap materials and structures by topology optimization. Philos Trans. R. Soc. A 2003, 361, 1001–1019. [Google Scholar] [CrossRef]
- Matsuki, T.; Yamada, T.; Izui, K.; Nishiwaki, S. Topology optimization for locally resonant sonic materials. Appl. Phys. Lett. 2014, 104, 191905. [Google Scholar] [CrossRef]
- Yang, X.W.; Lee, J.S.; Kim, Y.Y. Effective mass density based topology optimization of locally resonant acoustic metamaterials for bandgap maximization. J. Sound Vib. 2016, 383, 89–107. [Google Scholar] [CrossRef]
- Zhang, X.; Xing, J.; Liu, P.; Luo, Y.; Kang, Z. Realization of full and directional band gap design by non-gradient topology optimization in acoustic metamaterials. Extreme Mech. Lett. 2021, 42, 101126. [Google Scholar] [CrossRef]
- Sun, P.; Zhang, Z.; Guo, H.; Liu, N.; Jin, W.; Yuan, T.; Wang, Y. Topological optimization of hierarchical honeycomb acoustic metamaterials for low-frequency extreme broad band gaps. Appl. Acoust. 2022, 188, 108579. [Google Scholar] [CrossRef]
- Li, J.; Guo, H.; Sun, P.; Wang, Y.; Huang, S.; Yuan, T.; Zhang, H. Topology optimization of anisotropy hierarchical honeycomb acoustic metamaterials for extreme multi-broad band gaps. Mech. Adv. Mat. Struct. 2022, 30, 3540–3552. [Google Scholar] [CrossRef]
- Wang, M.Y.; Wang, X.; Guo, D. A level set method for structural topology optimization. Comput. Methods Appl. Mech. Eng. 2003, 192, 227–246. [Google Scholar] [CrossRef]
- Allaire, G.; Jouve, F.; Toader, A.M. Structural optimization using sensitivity analysis and a level-set method. J. Comput. Phys. 2004, 194, 363–393. [Google Scholar] [CrossRef]
- Wang, S.; Wang, M.Y. Radial basis functions and level set method for structural topology optimization. Int. J. Numer. Methods Eng. 2006, 65, 2060–2090. [Google Scholar] [CrossRef]
- Wang, S.; Lim, K.; Khoo, B.; Wang, M. An extended level set method for shape and topology optimization. J. Comput. Phys. 2007, 221, 395–421. [Google Scholar] [CrossRef]
- Wang, M.Y.; Wang, X. “Color” level sets: A multi-phase method for structural topology optimization with multiple materials. Comput. Methods Appl. Mech. Eng. 2004, 193, 469–496. [Google Scholar] [CrossRef]
- Wang, Y.; Luo, Z.; Kang, Z.; Zhang, N. A multi-material level set-based topology and shape optimization method. Comput. Methods Appl. Mech. Eng. 2015, 283, 1570–1586. [Google Scholar] [CrossRef]
- Vogiatzis, P.; Chen, S.; Wang, X.; Li, T.; Wang, L. Topology optimization of multi-material negative Poisson’s ratio metamaterials using a reconciled level set method. Comput. Aided Design 2017, 83, 15–32. [Google Scholar] [CrossRef]
- Liu, J.; Ma, Y. A new multi-material level set topology optimization method with the length scale control capability. Comput. Methods Appl. Mech. Eng. 2018, 329, 444–463. [Google Scholar] [CrossRef]
- Xia, Q.; Shi, T. Generalized hole nucleation through BESO for the level set based topology optimization of multi-material structures. Comput. Methods Appl. Mech. Eng. 2019, 355, 216–233. [Google Scholar] [CrossRef]
- Sha, W.; Xiao, M.; Gao, L.; Zhang, Y. A new level set based multi-material topology optimization method using alternating active-phase algorithm. Comput. Methods Appl. Mech. Eng. 2021, 377, 113674. [Google Scholar] [CrossRef]
- Bendsøe, M.P.; Sigmund, O. Topology optimization: Theory, Methods, and Applications; Springer: Berlin/Heidelberg, Germany; New York, NY, USA, 2003. [Google Scholar]
- Hvejsel, C.F.; Lund, E. Material interpolation schemes for unified topology and multi-material optimization. Struct. Multidiscipl. Optim. 2011, 43, 811–825. [Google Scholar] [CrossRef]
- Gao, T.; Zhang, W. A mass constraint formulation for structural topology optimization with multiphase materials. Int. J. Numer. Methods Eng. 2011, 88, 774–796. [Google Scholar] [CrossRef]
- Tavakoli, R.; Mohseni, S.M. Alternating active-phase algorithm for multimaterial topology optimization problems: A 115-line MATLAB implementation. Struct. Multidiscipl. Optim. 2014, 49, 621–642. [Google Scholar] [CrossRef]
- Zuo, W.; Saitou, K. Multi-material topology optimization using ordered SIMP interpolation. Struct. Multidiscipl. Optim. 2017, 55, 477–491. [Google Scholar] [CrossRef]
- Huang, X.; Xie, Y.M. Bi-directional evolutionary topology optimization of continuum structures with one or multiple materials. Comput. Mech. 2009, 43, 393–401. [Google Scholar] [CrossRef]
- Sridhar, A.; Kouznetsova, V.G.; Geers, M.G.D. Homogenization of locally resonant acoustic metamaterials towards an emergent enriched continuum. Comput. Mech. 2016, 57, 423–435. [Google Scholar] [CrossRef]
- Roca, D.; Lloberas-Valls, O.; Cante, J.; Oliver, J. A computational multiscale homogenization framework accounting for inertial effects: Application to acoustic metamaterials modelling. Comput. Methods Appl. Mech. Eng. 2018, 330, 415–446. [Google Scholar] [CrossRef]
- Lalegani, Z.; Seyyed Ebrahimi, S.; Hamawandi, B.; La Spada, L.; Batili, H.; Toprak, M. Targeted dielectric coating of silver nanoparticles with silica to manipulate optical properties for metasurface applications. Mater. Chem. Phys. 2022, 287, 126250. [Google Scholar] [CrossRef]
- Garcia-de-los Rios, V.M.; Arano-Martínez, J.A.; Trejo-Valdez, M.; Hernández-Pichardo, M.L.; Vidales-Hurtado, M.A.; Torres-Torres, C. Fractional Photoconduction and Nonlinear Optical Behavior in ZnO Micro and Nanostructures. Fractal Fract 2023, 7, 885. [Google Scholar] [CrossRef]
- Mead, D. Wave propagation in continuous periodic structures: Research contributions from southampton, 1964–1995. J. Sound Vib. 1996, 190, 495–524. [Google Scholar] [CrossRef]
- Åberg, M.; Gudmundson, P. The usage of standard finite element codes for computation of dispersion relations in materials with periodic microstructure. J. Acoust. Soc. Am. 1997, 102, 2007–2013. [Google Scholar] [CrossRef]
- Fu, Z.; Chen, W.; Wen, P.; Zhang, C. Singular boundary method for wave propagation analysis in periodic structures. J. Sound Vib. 2018, 425, 170–188. [Google Scholar] [CrossRef]
- Yao, L.; Huang, G.; Chen, H.; Barnhart, M.V. A modified smoothed finite element method (M-SFEM) for analyzing the band gap in phononic crystals. Acta Mech. 2019, 230, 2279–2293. [Google Scholar] [CrossRef]
- Yao, L.; Jiang, G.; Wu, F.; Luo, J. Band structure computation of two-dimensional and three-dimensional phononic crystals using a finite element-least square point interpolation method. Appl. Math. Model Model. 2019, 76, 591–606. [Google Scholar] [CrossRef]
- Kushwaha, M.S.; Halevi, P.; Martínez, G.; Dobrzynski, L.; Djafari-Rouhani, B. Theory of acoustic band structure of periodic elastic composites. Phys. Rev. B 1994, 49, 2313–2322. [Google Scholar] [CrossRef] [PubMed]
- Chen, Y.; Huang, X.; Sun, G.; Yan, X.; Li, G. Maximizing spatial decay of evanescent waves in phononic crystals by topology optimization. Comput. Struct. 2017, 182, 430–447. [Google Scholar] [CrossRef]
- Li, Y.f.; Huang, X.; Meng, F.; Zhou, S. Evolutionary topological design for phononic band gap crystals. Struct. Multidiscipl. Optim. 2016, 54, 595–617. [Google Scholar] [CrossRef]
- Zhang, X.; He, J.; Takezawa, A.; Kang, Z. Robust topology optimization of phononic crystals with random field uncertainty. Int. J. Numer. Methods Eng. 2018, 115, 1154–1173. [Google Scholar] [CrossRef]
- Axmann, W.; Kuchment, P. An Efficient Finite Element Method for Computing Spectra of Photonic and Acoustic Band-Gap Materials. J. Comput. Phys. 1999, 150, 468–481. [Google Scholar] [CrossRef]
- Li, J.; Wood, A. Finite Element Analysis for Wave Propagation in Double Negative Metamaterials. J. Sci. Comput. 2007, 32, 263. [Google Scholar] [CrossRef]
- Craig, R.R.; Bampton, M.C.C. Coupling of substructures for dynamic analyses. AIAA J. 1968, 6, 1313–1319. [Google Scholar] [CrossRef]
- Wei, P.; Li, Z.; Li, X.; Wang, M.Y. An 88-line MATLAB code for the parameterized level set method based topology optimization using radial basis functions. Struct. Multidiscipl. Optim. 2018, 58, 831–849. [Google Scholar] [CrossRef]
- Luo, Z.; Tong, L.; Wang, M.Y.; Wang, S. Shape and topology optimization of compliant mechanisms using a parameterization level set method. J. Comput. Phys. 2007, 227, 680–705. [Google Scholar] [CrossRef]
- Seyranian, A.P.; Lund, E.; Olhoff, N. Multiple eigenvalues in structural optimization problems. Struct. Multidiscipl. Optim. 1994, 8, 207–227. [Google Scholar] [CrossRef]
- Jensen, J.S.; Pedersen, N.L. On maximal eigenfrequency separation in two-material structures: The 1D and 2D scalar cases. J. Sound Vib. 2006, 289, 967–986. [Google Scholar] [CrossRef]
- Du, J.; Olhoff, N. Topological design of freely vibrating continuum structures for maximum values of simple and multiple eigenfrequencies and frequency gaps. Struct. Multidiscipl. Optim. 2007, 34, 91–110. [Google Scholar] [CrossRef]
- Svanberg, K. The method of moving asymptotes—A new method for structural optimization. Int. J. Numer. Methods Eng. 1987, 24, 359–373. [Google Scholar] [CrossRef]
- Dong, H.W.; Su, X.X.; Wang, Y.S.; Zhang, C. Topological optimization of two-dimensional phononic crystals based on the finite element method and genetic algorithm. Struct. Multidiscipl. Optim. 2014, 50, 593–604. [Google Scholar] [CrossRef]
- Maurin, F.; Claeys, C.; Deckers, E.; Desmet, W. Probability that a band-gap extremum is located on the irreducible Brillouin-zone contour for the 17 different plane crystallographic lattices. Int. J. Solids Struct. 2018, 135, 26–36. [Google Scholar] [CrossRef]
- Svanberg, K. MMA and GCMMA-two methods for nonlinear optimization, versions September 2007. Tech. Rep. Optim. Syst. Theory 2007, 1, 1–15. [Google Scholar]
- Hirsekorn, M. Small-size sonic crystals with strong attenuation bands in the audible frequency range. Appl. Phys. Lett. 2004, 84, 3364–3366. [Google Scholar] [CrossRef]
- Gang, W.; Li-Hui, S.; Yao-Zong, L.; Ji-Hong, W. Accurate evaluation of lowest band gaps in ternary locally resonant phononic crystals. Chin. Phys. 2006, 15, 1843–1848. [Google Scholar] [CrossRef]
- Dong, H.W.; Su, X.X.; Wang, Y.S.; Zhang, C. Topology optimization of two-dimensional asymmetrical phononic crystals. Phys. Lett. A 2014, 378, 434–441. [Google Scholar] [CrossRef]















| Mass Density () | Lame Constant (GPa) | Shear Modulus (GPa) | |
|---|---|---|---|
| Lead (Pb) | 11,600 | 42 | 14.9 |
| Aluminum (Al) | 2700 | 51.1 | 26.3 |
| Rubber (NR) | 1300 | 6.05 × | 4 × |
| Epoxy (EP) | 1180 | 3.74 | 1.31 |
| Numerical Case | Band-Gap Range (Three-Material Case) | Band-Gap Range (Four-Material Case) | The Change in Band-Gap Width | The Change in Mass |
|---|---|---|---|---|
| Case 1 (500 ± 10–700 ± 10 Hz) | 497.3–705.2 Hz | 490.1–703.2 Hz | 2.5% | −26.6% |
| Case 2 (700 ± 10–900 ± 10 Hz) | 701–904.2 Hz | 690.3–891.2 Hz | −1.1% | −33.2% |
| Case 3 (800 ± 40–1600 ± 40 Hz) | 795.5–1566.1 Hz | 778–1630.1 Hz | 10.6% | −33.9% |
| Case 4 (700 ± 90–2500 ± 90 Hz) | 711.4–2468.5 Hz | 716.3–2571.9 Hz | 5.6% | −8.5% |
| Initial Guess | Total Number of Iterations | Topology | Band-Gap Range (Hz) |
|---|---|---|---|
![]() | 133 | ![]() | 395–1588.5 |
![]() | 329 | ![]() | 390.9–1568 |
![]() | 96 | ![]() | 370.9–1459.1 |
![]() | 116 | ![]() | 353–1443.8 |
Disclaimer/Publisher’s Note: The statements, opinions and data contained in all publications are solely those of the individual author(s) and contributor(s) and not of MDPI and/or the editor(s). MDPI and/or the editor(s) disclaim responsibility for any injury to people or property resulting from any ideas, methods, instructions or products referred to in the content. |
© 2024 by the authors. Licensee MDPI, Basel, Switzerland. This article is an open access article distributed under the terms and conditions of the Creative Commons Attribution (CC BY) license (https://creativecommons.org/licenses/by/4.0/).
Share and Cite
Chen, H.; Fu, Y.; Ling, L.; Hu, Y.; Li, L. Design of Locally Resonant Acoustic Metamaterials with Specified Band Gaps Using Multi-Material Topology Optimization. Materials 2024, 17, 3591. https://doi.org/10.3390/ma17143591
Chen H, Fu Y, Ling L, Hu Y, Li L. Design of Locally Resonant Acoustic Metamaterials with Specified Band Gaps Using Multi-Material Topology Optimization. Materials. 2024; 17(14):3591. https://doi.org/10.3390/ma17143591
Chicago/Turabian StyleChen, Hongfang, Yu Fu, Ling Ling, Yujin Hu, and Li Li. 2024. "Design of Locally Resonant Acoustic Metamaterials with Specified Band Gaps Using Multi-Material Topology Optimization" Materials 17, no. 14: 3591. https://doi.org/10.3390/ma17143591
APA StyleChen, H., Fu, Y., Ling, L., Hu, Y., & Li, L. (2024). Design of Locally Resonant Acoustic Metamaterials with Specified Band Gaps Using Multi-Material Topology Optimization. Materials, 17(14), 3591. https://doi.org/10.3390/ma17143591









