Non-Destructive Hardness Indentation Measurement of Residual Stress on Large Aerospace Forged Components at the Engineering Site Based on Impact Hardness Tester
Abstract
1. Introduction
2. Methods
2.1. Theoretical Model Analysis
2.1.1. Indentation Analysis Curve
2.1.2. Virtual Material Model
2.1.3. Tensor Representation Model
2.2. Residual Stress Characterization
2.2.1. Impact Indentation Test Method
2.2.2. Borehole Stress Release Method
2.3. Analytical Method
2.3.1. Dimensionless Analysis
2.3.2. Orthogonal Design
2.3.3. Inversion Verification
2.4. Finite Element Simulation
2.4.1. Finite Element Simulation Software
2.4.2. Dynamic Analysis Method
2.5. Technical Route
3. Results and Discussion
3.1. Impact Indentation Simulation Analysis
3.1.1. Simulated Orthogonal Analysis
3.1.2. Dimensionless Impact Indentation Analysis
3.1.3. Material Parameter Inversion Verification
3.2. Impact Indentation Coupled Residual Stress Simulation Analysis
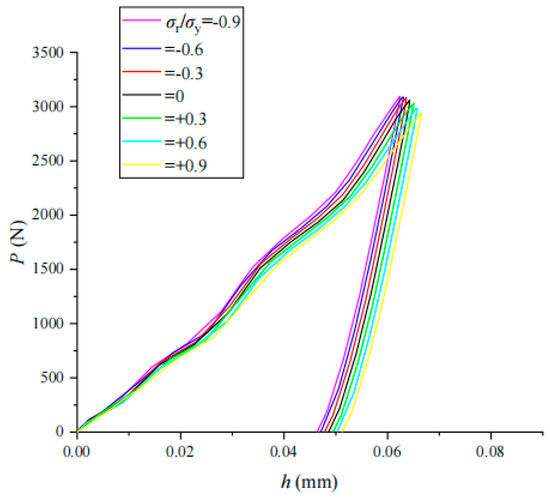
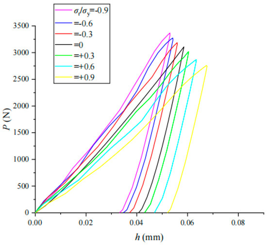
3.2.1. Residual Stress Simulation Results
3.2.2. Simulated Orthogonal Analysis
3.2.3. Residual Stress Inversion Verification
3.2.4. Borehole Stress Release Method
3.3. Engineering Practice and Analysis of Impact Indentation Characterization of Residual Stress
Results Analysis of Residual Stress in Forging
4. Conclusions
- (1)
- An orthogonal design, combined with finite element simulation, was used to simulate the impact indentation process of a virtual universal material. Using the explicit dynamics module of ABAQUS software, the deformation distribution and stress–strain law during the impact indentation process were analyzed in detail, which verified the reliability of the constructed impact indentation finite element analysis model and confirmed the validity of the power–law principal relationship as the main model of the universal material.
- (2)
- On this basis, the influence law of material parameters and the primary and secondary influence order of material parameters in the impact indentation process were further investigated. It was found that materials with a lower modulus of elasticity accumulate more energy during impact indentation, while an increase in yield strength reduces the accumulated energy of deformation of the material. The higher the work hardening index n, the greater the ability of the material to resist deformation. In addition, significant linear relationships between hr/hm and Ek/Et, hr/hm and Ee/Et, etc., as well as the logarithmic law of change in Pm/(Acσy) and E/σy, the law of the power function with n, etc., were found.
- (3)
- The obvious correlation between impact indentation curve and residual stress provides a new method to characterize residual stress by impact indentation test. Simulation calculations and experimental and practical demonstrations show that the Leeb hardness tester impact test method has high accuracy and reliability. The calculated values of the indentation curves hm and hr have a relative error of no more than 3% with respect to the reference values, and the corrected Pm inversion values for most of the virtual materials have a relative error of no more than 5%. For the folded modulus of elasticity and apparent modulus of elasticity of the materials derived from the inversion, the error values were controlled within 10%. The TC4-DT specimens were analytically characterized for residual stresses, and the errors were also controlled within 10%, which meets the requirements for the engineering testing of residual stresses.
Author Contributions
Funding
Institutional Review Board Statement
Informed Consent Statement
Data Availability Statement
Conflicts of Interest
References
- Mochizuki, M. Control of welding residual stress for ensuring integrity against fatigue and stress-corrosion cracking. Nucl. Eng. Des. 2007, 237, 107–123. [Google Scholar] [CrossRef]
- Kang, H.T.; Lee, Y.; Sun, X.J. Effects of residual stress and heat treatment on fatigue strength of weldments. Mater. Sci. Eng. A 2008, 497, 37–43. [Google Scholar] [CrossRef]
- Gumao, M. Generation and Countermeasures of Residual Stress; China Machine Press: Beijing, China, 1983. [Google Scholar]
- Wang, Q.-M.; Sun, Y. Progress and trend of residual stress measurement technology. Mater. Sci. Eng. A 2011, 28, 11–15. [Google Scholar]
- Ba, F.; Liu, Y. The generation of residual stress and its influence on the performance of components. Non-Destr. Test. 2020, 42, 1–5. [Google Scholar]
- Dong, M.; Jin, G.; Wang, H. Research status of residual stress measurement by nano-indentation method. Mater. Rev. 2014, 28, 107–113. [Google Scholar]
- Frankel, J.; Scholz, W.; Capsimalis, G.P. Residual stress measurements in circular steel cylinders. IEEE Trans. Sonics Ultrason. 1985, 32, 88. [Google Scholar]
- Underwood, J. Residual-stress measurement using surface displacements around an indentation. Exp. Mech. 1973, 13, 373–380. [Google Scholar] [CrossRef]
- Tsui, T.Y.; Oliver, W.C.; Pharr, G.M. Influences of stress on the measurement of mechanical properties using nanoindentation: Part I. Experimental studies in an aluminum alloy. J. Mater. Res. 1996, 11, 752–759. [Google Scholar] [CrossRef]
- Oliver, W.C.; Pharr, G.M. An improved technique for determining hardness and elastic modulus using load and displacement sensing indentation experiments. J. Mater. Res. 1992, 7, 1564–1583. [Google Scholar] [CrossRef]
- Pharr, G.M.; Oliver, W.C.; Brotzen, F.R. On the generality of the relationship among contact stiffness, contact area and elastic modulus during indentation. J. Mater. Res. 1992, 7, 613–617. [Google Scholar] [CrossRef]
- Cheng, Y.T.; Cheng, C.M. Scaling approach to conical indentation in elastic-plastic solids with work hardening. J. Appl. Phys. 1998, 84, 1284–1291. [Google Scholar] [CrossRef]
- Jin, H. Research on Indentation Method for Obtaining Residual Stress. J. Hubei Inst. Automot. Technol. 2019, 33, 36–39. [Google Scholar]
- Jin, H. Principle, Method and Experimental Research of Indentation Hardness and Residual Stress Measurement Based on Energy Method; Huazhong University of Science and Technology (Hust): Wuhan, China, 2012. [Google Scholar]
- Yuan, L.; Yuan, W.; Wang, G. Effects of residual stress on the hardness of elastoplastic material under spherical indentation. J. Appl. Mech. Trans. ASME 2020, 87, 051004. [Google Scholar] [CrossRef]
- Mijailovic, A.S.; Qing, B.; Fortunato, D.; Van Vliet, K.J. Characterizing viscoelastic mechanical properties of highly compliant polymers and biological tissues using impact indentation. Acta Biomater. 2018, 71, 388–397. [Google Scholar] [CrossRef] [PubMed]
- Leeb, D. Dynamic hardness testing of metallic materials. NDT Int. 1979, 12, 274–278. [Google Scholar] [CrossRef]
- Johnson, K.L. Contact Mechanics; Cambridge University Press: Cambridge, UK, 1985. [Google Scholar]
- Sneddon, I.N. The relation between load and penetration in the axisymmetric boussinesq problem for a punch of arbitrary profile. Int. J. Eng. Sci. 1965, 3, 47–57. [Google Scholar] [CrossRef]
- Howes, V.R. Indentation creep measurements using a Rockwell hardness tester. J. Mater. Sci. 1991, 26, 75–81. [Google Scholar] [CrossRef]
- Ghorbani, S. Analysis of Main influencing factors of Leeb hardness testing. Stand. Qual. Metall. 2005, 43, 5–7. [Google Scholar]
- Shen, L. Test Method and Experimental Study of Residual Stress Based on Indentation Uplift; Solid Mechanics; Huazhong University of Science and Technology: Wuhan, China, 2016. [Google Scholar]
- Hou, H.-H.; Zhu, X.; Liu, R. Finite Element Analysis of Measuring residual Stress and Strain Release Coefficient of welding by Blind Hole Method. Mech. Strength 2003, 25, 632–636. [Google Scholar]
- Brand, L. The Pi theorem of dimensional analysis. Arch. Ration. Mech. Anal. 1957, 1, 35–45. [Google Scholar] [CrossRef]
- Bhattacharya, A.K.; Nix, W.D. Analysis of elastic and plastic deformation associated with indentation testing of thin films on substrates. Int. J. Solids Struct. 1988, 24, 1287–1298. [Google Scholar] [CrossRef]
- Sedov, L.I. Similarity Method and Dimension Theory in Mechanics; Science Press: Beijing, China, 1982. [Google Scholar]
































| Correlation Parameter | G-Type |
|---|---|
| Sample reference maximum hardness | 650 HB |
| The average surface roughness of the sample Ra | |
| Minimum mass of specimen | >15 kg |
| Need stable support | 5~15 kg |
| Minimum thickness of specimen (stable support can be broken) | 10 mm |
| Minimum depth of hardening layer | >1.2 mm |
| Distance between two indentation centers | 4 mm |
| Distance between indentation center and sample edge | 8 mm |
| hr/hm | Pm/(AcE) | σrσy | Ee/Et |
| Young’s Modulus (E) GPa | Yield Strength (σy) MPa | Work Hardening Exponent (n) | Density (ρ) g/cm−3 | Poisson’s Ratio (ν) | Frictional Coefficient (μ) | |
|---|---|---|---|---|---|---|
| 1 | 40 | 50 | 0.0 | 1.5 | 0.24 | 0 |
| 2 | 130 | 225 | 0.1 | 6.0 | 0.28 | 0.1 |
| 3 | 220 | 400 | 0.2 | 10.5 | 0.32 | 0.2 |
| 4 | 310 | 575 | 0.3 | 15.0 | 0.36 | 0.3 |
| 5 | 400 | 750 | 0.4 | 19.5 | 0.40 | 0.4 |
| Range | 360 | 700 | 0.4 | 18.0 | 0.16 | 0.4 |
| Pm (N) | Ek (mJ) | hm (mm) | hr (mm) | ac (mm) | ||
|---|---|---|---|---|---|---|
| Young’s modulus (E) (GPa) | 1650.01 | 30.76 | 0.134 | 0.099 | 0.726 | |
| 2123.49 | 17.29 | 0.102 | 0.088 | 0.662 | ||
| 2326.45 | 12.70 | 0.088 | 0.078 | 0.627 | ||
| 2445.35 | 10.52 | 0.080 | 0.074 | 0.609 | ||
| 2458.86 | 9.67 | 0.079 | 0.073 | 0.605 | ||
| R1 | 808.85 | 21.09 | 0.055 | 0.026 | 0.121 | |
| SE1 | 150.255 | 3.875 | 0.0102 | 0.0049 | 0.0224 | |
| Yield strength (σy) (MPa) | 1225.91 | 2.49 | 0.164 | 0.160 | 0.873 | |
| 1967.00 | 10.66 | 0.097 | 0.086 | 0.666 | ||
| 2335.97 | 17.61 | 0.081 | 0.066 | 0.600 | ||
| 2599.04 | 22.71 | 0.073 | 0.054 | 0.560 | ||
| 2876.25 | 27.46 | 0.067 | 0.046 | 0.529 | ||
| R2 | 1650.34 | 24.97 | 0.097 | 0.114 | 0.344 | |
| SE2 | 286.197 | 4.415 | 0.0176 | 0.0205 | 0.0613 | |
| work hardening exponent (n) | 1795.49 | 8.03 | 0.120 | 0.111 | 0.723 | |
| 1987.09 | 10.80 | 0.106 | 0.095 | 0.682 | ||
| 2316.14 | 15.93 | 0.094 | 0.080 | 0.641 | ||
| 2327.00 | 20.27 | 0.085 | 0.068 | 0.606 | ||
| 2578.45 | 25.90 | 0.090 | 0.058 | 0.577 | ||
| R3 | 782.96 | 17.86 | 0.041 | 0.053 | 0.146 | |
| SE3 | 138.166 | 3.214 | 0.0063 | 0.0094 | 0.0261 | |
| Density (ρ) g/cm−3 | 2257.05 | 14.14 | 0.107 | 0.096 | 0.668 | |
| 2316.61 | 15.17 | 0.089 | 0.076 | 0.628 | ||
| 2265.00 | 15.73 | 0.099 | 0.086 | 0.651 | ||
| 2184.22 | 17.14 | 0.089 | 0.072 | 0.626 | ||
| 1981.29 | 18.76 | 0.099 | 0.082 | 0.655 | ||
| R4 | 335.31 | 4.62 | 0.018 | 0.024 | 0.042 | |
| SE4 | 58.804 | 0.805 | 0.0034 | 0.0042 | 0.0081 | |
| Poisson’s ratio (ν) | 2385.19 | 14.45 | 0.105 | 0.094 | 0.661 | |
| 2221.59 | 15.63 | 0.097 | 0.084 | 0.652 | ||
| 2148.04 | 15.37 | 0.086 | 0.071 | 0.619 | ||
| 2163.43 | 18.04 | 0.104 | 0.088 | 0.664 | ||
| 2085.92 | 17.45 | 0.091 | 0.074 | 0.633 | ||
| R5 | 299.27 | 3.59 | 0.019 | 0.023 | 0.045 | |
| SE5 | 50.897 | 0.672 | 0.0037 | 0.0043 | 0.0086 | |
| Frictional coefficient (μ) | 2344.26 | 13.03 | 0.107 | 0.097 | 0.667 | |
| 2305.45 | 14.82 | 0.088 | 0.074 | 0.624 | ||
| 2114.05 | 17.74 | 0.094 | 0.078 | 0.643 | ||
| 2131.17 | 17.40 | 0.093 | 0.077 | 0.636 | ||
| 2109.24 | 17.94 | 0.102 | 0.086 | 0.658 | ||
| R6 | 235.02 | 4.90 | 0.019 | 0.023 | 0.043 | |
| SE6 | 51.132 | 0.969 | 0.0034 | 0.0042 | 0.0077 |
| Pm (N) | Ek (mJ) | hm (mm) | hr (mm) | ac (mm) | ||
|---|---|---|---|---|---|---|
| E (GPa) | ↑ | ↑ | ↓ | ↓ | ↓ | ↓ |
| σy (MPa) | ↑ | ↑ | ↑ | ↓ | ↓ | ↓ |
| n | ↑ | ↑ | ↑ | ↓ | ↓ | ↓ |
| Reference value (E) (GPa) | 40 | 130 | 220 | 310 | 400 |
| Inverse value (E) (GPa) | 41.67 | 128.74 | 210.86 | 305.85 | 437.58 |
| Relative error (%) | 4.18 | 0.97 | 4.15 | 1.34 | 9.40 |
| R′j | Pm (N) | Ek (mJ) | hm (mm) | hr (mm) | ac (mm) | |
|---|---|---|---|---|---|---|
| E | R′1 | 1076.03 | 18.23 | 0.030 | 0.057 | 0.131 |
| σy | R′2 | 1545.84 | 25.22 | 0.126 | 0.108 | 0.380 |
| n | R′3 | 954.04 | 16.56 | 0.065 | 0.053 | 0.173 |
| ρ | R′4 | 173.94 | 5.81 | 0.010 | 0.009 | 0.016 |
| v | R′5 | 111.51 | 3.87 | 0.020 | 0.023 | 0.066 |
| μ | R′6 | 256.89 | 2.89 | 0.027 | 0.024 | 0.057 |
| σr/σy | R′7 | 372.43 | 3.33 | 0.026 | 0.027 | 0.076 |
| Materials | c0 | c1 | c2 | c3 |
|---|---|---|---|---|
| 304 | 0.79176 | −0.03650 | −0.00974 | −0.00110 |
| 35Cr2Ni4MoA | 0.94329 | −0.14556 | −0.04257 | −0.00471 |
| TC4-DT | 1.04121 | −0.12689 | −0.08332 | −0.04528 |
| Measure Point | 1 | 2 | 3 | 4 | 5 | 6 | 7 |
|---|---|---|---|---|---|---|---|
| σr (MPa) | 224.36 | 264.49 | 281.97 | 317.17 | 301.09 | 321.57 | 308.49 |
| Number | σ1 (MPa) | σ2 (MPa) | σr (MPa) | φ (°) |
|---|---|---|---|---|
| ① | 219.72 | 196.05 | 208.89 | −9.22 |
| ② | 352.97 | 301.03 | 330.08 | 17.78 |
| TC4-DT Die Forging | TC4-DT Heat Treatment (Quenching) | TC4-Dtsecondary Annealing | ||||
|---|---|---|---|---|---|---|
| Max (MPa) | Min (MPa) | Max (MPa) | Min (MPa) | Max (MPa) | Min (MPa) | |
| Residual maximum principal stress | 359.47 | −101.16 | 415.14 | −136.17 | 249.35 | −125.15 |
| Residual intermediate principal stress | 316.64 | −404.08 | 371.17 | −493.70 | 217.99 | −390.47 |
| Residual minimum principal stress | 72.89 | −470.51 | 103.27 | −539.23 | 50.14 | −424.52 |
| Residual equivalent stress | 390.33 | 0.0241 | 432.50 | 0.0189 | 340.80 | 0.0119 |
| Residual shear stress | 49.306 | −47.669 | 47.107 | 35.601 | 26.344 | −23.593 |
| Total deformation | 9.670 mm | 0.776 mm | 9.979 mm | 0.509 mm | 5.958 mm | 0.823 mm |
Disclaimer/Publisher’s Note: The statements, opinions and data contained in all publications are solely those of the individual author(s) and contributor(s) and not of MDPI and/or the editor(s). MDPI and/or the editor(s) disclaim responsibility for any injury to people or property resulting from any ideas, methods, instructions or products referred to in the content. |
© 2024 by the authors. Licensee MDPI, Basel, Switzerland. This article is an open access article distributed under the terms and conditions of the Creative Commons Attribution (CC BY) license (https://creativecommons.org/licenses/by/4.0/).
Share and Cite
Niu, J.; Tian, P.; Sun, S.; Zhang, Y.; Song, G.; Song, Q.; Li, Q.; Hu, N.; Li, F. Non-Destructive Hardness Indentation Measurement of Residual Stress on Large Aerospace Forged Components at the Engineering Site Based on Impact Hardness Tester. Materials 2024, 17, 3436. https://doi.org/10.3390/ma17143436
Niu J, Tian P, Sun S, Zhang Y, Song G, Song Q, Li Q, Hu N, Li F. Non-Destructive Hardness Indentation Measurement of Residual Stress on Large Aerospace Forged Components at the Engineering Site Based on Impact Hardness Tester. Materials. 2024; 17(14):3436. https://doi.org/10.3390/ma17143436
Chicago/Turabian StyleNiu, Jingyuan, Peiran Tian, Siao Sun, Yage Zhang, Guizeng Song, Qiang Song, Qinghua Li, Nianxuan Hu, and Fuguo Li. 2024. "Non-Destructive Hardness Indentation Measurement of Residual Stress on Large Aerospace Forged Components at the Engineering Site Based on Impact Hardness Tester" Materials 17, no. 14: 3436. https://doi.org/10.3390/ma17143436
APA StyleNiu, J., Tian, P., Sun, S., Zhang, Y., Song, G., Song, Q., Li, Q., Hu, N., & Li, F. (2024). Non-Destructive Hardness Indentation Measurement of Residual Stress on Large Aerospace Forged Components at the Engineering Site Based on Impact Hardness Tester. Materials, 17(14), 3436. https://doi.org/10.3390/ma17143436

