Preparation, Deformation Behavior and Irradiation Damage of Refractory Metal Single Crystals for Nuclear Applications: A Review
Abstract
1. Introduction
2. Preparation of Refractory Metal Single Crystals
2.1. Development of Preparation Technology
2.2. Electron Beam Floating Zone Melting
2.2.1. Principles of the EBFZM Technique
2.2.2. Refractory Metal Single Crystal Prepared by EBFZM
2.3. Plasma Arc Melting
2.3.1. Principles of the PAM Technique
2.3.2. Refractory Metal Single Crystals Prepared by PAM
3. Deformation Behavior
3.1. Mechanical Properties
3.1.1. Tensile—W Single Crystals
3.1.2. Creep—Mo Single Crystals
3.1.3. Fatigue—Nb Single Crystals
3.1.4. Impact—Ta Single Crystals
3.2. Deformation Mechanism
3.2.1. Dislocation Slip
3.2.2. Deformed Twinning
3.2.3. Slip and Twinning Coordinate Deformation
3.3. Deformation–Annealing Induced Recrystallization
4. Irradiation Damage
4.1. Irradiation Damage in Refractory Metal Single Crystals
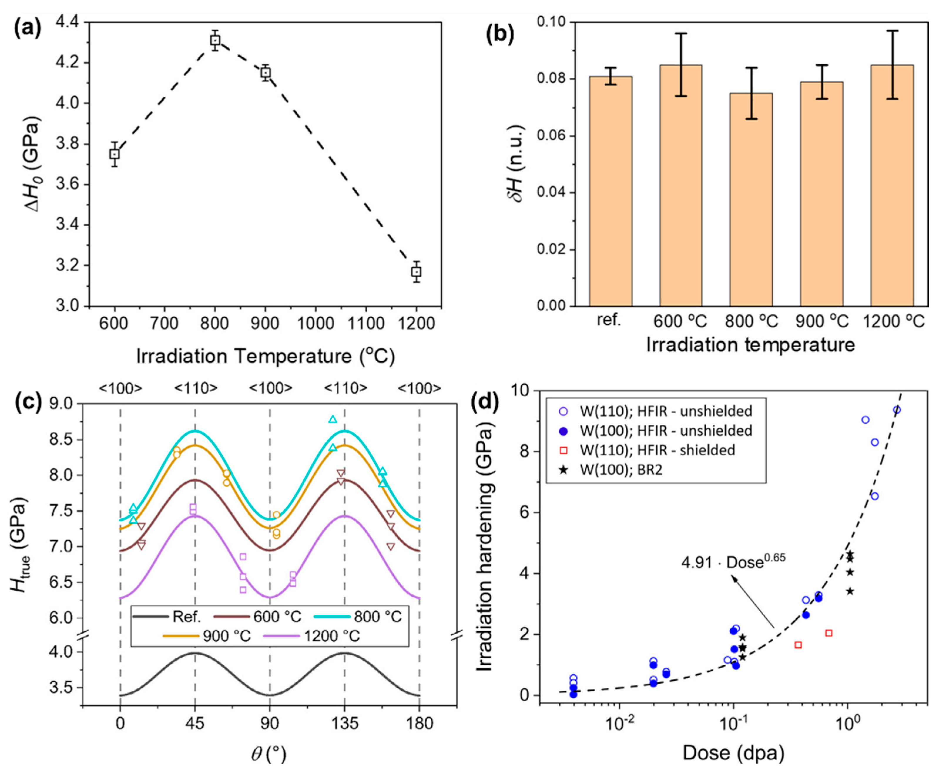
4.2. Irradiation Hardening
4.3. Irradiation Embrittlement
4.4. Effects of Irradiation Damage on Microstructure and Mechanical Properties
5. Conclusions and Prospects
- (1)
- Optimizing the single-crystal growth techniques
- (2)
- Clarifying the deformation mechanism during the machining processing
- (3)
- Characterization and evaluation of the service behavior under extreme environments
Funding
Institutional Review Board Statement
Informed Consent Statement
Data Availability Statement
Acknowledgments
Conflicts of Interest
References
- Wadsworth, J.; Nieh, T.G.; Stephens, J.J. Recent Advances in Aerospace Refractory Metal Alloys. Int. Mater. Rev. 1988, 33, 131–150. [Google Scholar] [CrossRef]
- Oakes, J.J. Refractory Metals and Their Applications. Int. J. Powder Metall. 2005, 41, 17–19. [Google Scholar]
- El-Genk, M.S.; Tournier, J.-M. A Review of Refractory Metal Alloys and Mechanically Alloyed-Oxide Dispersion Strengthened Steels for Space Nuclear Power Systems. J. Nucl. Mater. 2005, 340, 93–112. [Google Scholar] [CrossRef]
- Zheng, X.; Bai, R.; Wang, D.; Cai, X.; Wang, F.; Xia, M.; Yu, J. Research Development of Refractory Metal Materials Used in the Field of Aerospace. Rare Met. Mater. Eng. 2011, 40, 1871–1875. [Google Scholar]
- Gille, G.; Meier, A. Refractory Metals—Materials for Key Technologies and High Tech Applications. World Metall.-Erzmetall 2011, 64, 123–133. [Google Scholar]
- Hu, Z.; Li, Z.; Zhang, Q.; Zhang, T.; Zhang, J.; Tao, Y. Progress on Single Crystals of Refractory Metals of Their Alloys. Rare Met. Mater. Eng. 2007, 36, 367–371. [Google Scholar]
- Zee, R.H.; Xiao, Z.; Chin, B.A.; Liu, J. Processing of Single Crystals for High Temperature Applications. J. Mater. Process. Technol. 2001, 113, 75–80. [Google Scholar] [CrossRef]
- Glebovsky, V.G.; Semenov, V.N. Electron-Beam Floating Zone Melting of Refractory Metals and Alloys: Art and Science. Int. J. Refract. Met. Hard Mater. 1993, 12, 295–301. [Google Scholar] [CrossRef]
- Liu, J.; Chin, B.; Zee, R. Processing and High Temperature Properties of Refractory Alloy Single Crystals. J. Mater. Process. Technol. 1999, 89, 425–431. [Google Scholar] [CrossRef]
- Ma, Y.; Li, X.; Zhu, H.; Tong, Z. Microstructure Transformation of Mo–3Nb Single Crystal Used for Space Thermionic Reactor during Welding. Prog. Nucl. Energy 2021, 137, 103708. [Google Scholar] [CrossRef]
- Zhang, H.; Zheng, J.; Yang, Q.; Zhang, Z.; Li, X. Influence of Niobinum Content on High Temperature Inner Pressure Creep Resistance of Mo-Nb Alloy Single Crystal. Rare Met. Mater. Eng. 2013, 42, 751–755. [Google Scholar]
- Bozhko, S.I.; Glebovsky, V.G.; Semenov, V.N.; Smirnova, I. On the Growth of Tungsten Single Crystals of High Structural Quality. J. Cryst. Growth 2008, 311, 1–6. [Google Scholar] [CrossRef]
- Glebovsky, V.G.; Semenov, V.N.; Lomeyko, V.V. On the Problem of Growing Tungsten Single-Crystal Tubes from the Melt. Vacuum 1990, 41, 2165–2166. [Google Scholar] [CrossRef]
- Glebovsky, V.G.; Semenov, V.N. Growing Single Crystals of High-Purity Refractory Metals by Electron-Beam Zone Melting. High Temp. Mater. Process. 1995, 14, 121–130. [Google Scholar] [CrossRef]
- Burkhanov, G.S.; Yusupov, V.S.; Roschupkin, V.V.; Karelin, F.R.; Kirillova, V.M.; Karelin, R.D.; Ermishkin, V.A.; Minina, N.A.; Sdobyrev, V.V.; Serebryany, V.N.; et al. Manufacturing Features, Structure, and Properties of High-Purity Mo-Re Thin Sheets. J. Phys. Conf. Ser. 2021, 1758, 012006. [Google Scholar] [CrossRef]
- Fujii, T.; Watanabe, R.; Hiraoka, Y.; Okada, M. Preparation of a Large-Scale Molybdenum Single-Crystal Sheet by Means of Secondary Recrystallization. J. Less Common Met. 1984, 96, 297–304. [Google Scholar] [CrossRef]
- Fujii, T.; Ohba, Y. Rolling deformation and recrystallization of (111)[2] single crystals of high-purity molybdenum and tantalum. Metall. Trans. B 1973, 4, 2477–2478. [Google Scholar] [CrossRef]
- Hiraoka, Y.; Fujii, T.; Kainuma, T.; Okada, M.; Watanabe, R. Mechanical Properties of Molybdenum Single Crystals Produced by Means of Secondary Recrystallization. J. Nucl. Mater. 1985, 133–134, 332–336. [Google Scholar] [CrossRef]
- Fujii, T.; Ohba, Y.; Tamura, Y. On the rolling deformation and recrystallization of (111)[2] single crystals of high-purity tungsten, molybdenum and tantalum. J. Less Common Met. 1975, 39, 161–172. [Google Scholar] [CrossRef]
- Guiu, F. Slip Asymmetry in Molybdenum Single Crystals Deformed in Direct Shear. Scr. Metall. 1969, 3, 449–454. [Google Scholar] [CrossRef]
- Wasserbäch, W. Anomalous Slip in High-Purity Niobium and Tantalum Single Crystals. Phys. Status Solidi 1995, 147, 417–446. [Google Scholar] [CrossRef]
- Hsiung, L.L. On the Mechanism of Anomalous Slip in Bcc Metals. Mater. Sci. Eng. A 2010, 528, 329–337. [Google Scholar] [CrossRef]
- Aono, Y.; Kuramoto, E.; Brunner, D.; Diehl, J. Plastic Behavior of High-Purity Molybdenum Single Crystals in Tension and Compression. Strength Met. Alloys (ICSMA 8) 1989, 1, 271–276. [Google Scholar]
- Kitajima, K.; Aono, Y.; Kuramoto, E. Slip Systems and Orientation Dependence of Yield Stress in High Purity Molybdenum Single Crystals at 4.2 K and 77 K. Scr. Metall. 1981, 15, 919–924. [Google Scholar] [CrossRef]
- Guiu, F. Temperature and Strain Rate Dependence of the Flow Stress in Molybdenum. Physica Status Solidi 1967, 19, 339–351. [Google Scholar] [CrossRef]
- Butler, B.; Maynor, E.; Hurst, M.T.; Yadav, D.R.; Xie, K.; Singh, S.N.; Paramore, J.D. Tensile Deformation and Failure of Tungsten Single Crystals. Int. J. Refract. Met. Hard Mater. 2023, 110, 106013. [Google Scholar] [CrossRef]
- Skotnicova, K.; Kirillova, V.M.; Ermishkin, V.A.; Cegan, T.; Jurica, J.; Kraus, M.; Burkhanov, G.S. Influence of Alloying and Testing Conditions on Mechanical Properties and Deformation Behavior of <100> Tungsten-Based Single Crystals. Mater. Sci. Eng. A 2015, 636, 536–542. [Google Scholar] [CrossRef]
- Beardmore, P.; Hull, D. Deformation and Fracture of Tungsten Single Crystals. J. Less Common Met. 1965, 9, 168–180. [Google Scholar] [CrossRef]
- Clauer, A.H.; Wilcox, B.A.; Hirth, J.P. Creep Behavior of Molybdenum Single Crystals. Acta Metall. 1970, 18, 367–379. [Google Scholar] [CrossRef]
- Dekhtyar, O.I.; Karasevs’ka, O.P.; Moiseeva, I.V.; Petrov, Y.M.; Pishchak, V.K.; Trofimova, L.M. Structural Features of a High-Temperature Creep of Single-Crystal Molybdenum in a Wide Range of the Applied Stresses. 2. Substructure-Hardened State. Metallofiz. Noveishie Tekhnologii 2003, 25, 205–225. [Google Scholar]
- Anglada, M.; Guiu, F. Cyclic Deformation of Nb Single Crystals I. Influence of Temperature and Strain Rate on Cyclic Hardening, Shape Changes and Stress Asymmetry. Philos. Mag. A Phys. Condens. Matter Struct. Defects Mech. Prop. 1981, 44, 499–522. [Google Scholar] [CrossRef]
- Anglada, M.; Guiu, F. Cyclic Deformation of Nb Single Crystals II. Influence of Orientation on Cyclic Hardening, Shape Changes and Stress Asymmetry. Philos. Mag. A Phys. Condens. Matter Struct. Defects Mech. Prop. 1981, 44, 523–541. [Google Scholar] [CrossRef]
- Guiu, F.; Anglada, M. Cyclic Deformation of Nb Single Crystals III. Temperature and Strain-Rate Dependence of the Cyclic Flow Stress. Philos. Mag. A Phys. Condens. Matter Struct. Defects Mech. Prop. 1982, 46, 881–898. [Google Scholar] [CrossRef]
- Lim, H.; Carroll, J.D.; Battaile, C.C.; Chen, S.R.; Moore, A.P.; Lane, J.M.D. Anisotropy and Strain Localization in Dynamic Impact Experiments of Tantalum Single Crystals. Sci. Rep. 2018, 8, 5540. [Google Scholar] [CrossRef]
- Nguyen, T.; Fensin, S.J.; Luscher, D.J. Dynamic Crystal Plasticity Modeling of Single Crystal Tantalum and Validation Using Taylor Cylinder Impact Tests. Int. J. Plast. 2021, 139, 102940. [Google Scholar] [CrossRef]
- Feng, Z.; Zecevic, M.; Knezevic, M.; Lebensohn, R.A. Predicting Extreme Anisotropy and Shape Variations in Impact Testing of Tantalum Single Crystals. Int. J. Solids Struct. 2022, 241, 111466. [Google Scholar] [CrossRef]
- Weinberger, C.R.; Boyce, B.L.; Battaile, C.C. Slip Planes in Bcc Transition Metals. Int. Mater. Rev. 2013, 58, 296–314. [Google Scholar] [CrossRef]
- Vesely, D. The Study of Slip Bands on the Surface of Mo Single Crystals. Phys. Status Solidi (B) 1968, 29, 685–696. [Google Scholar] [CrossRef]
- Groger, R.; Chlup, Z.; Kubenova, T.; Kubena, I. Interplay of Slip and Twinning in Niobium Single Crystals Compressed at 77 K. J. Mater. Res. 2019, 34, 261–270. [Google Scholar] [CrossRef]
- Chen, C.Q.; Florando, J.N.; Kumar, M.; Ramesh, K.T.; Hemker, K.J. Incipient Deformation Twinning in Dynamically Sheared Bcc Tantalum. Acta Mater. 2014, 69, 114–125. [Google Scholar] [CrossRef]
- Srinivasan, R.; Viswanathan, G.B.; Levit, V.I.; Fraser, H.L. Orientation Effect on Recovery and Recrystallization of Cold Rolled Niobium Single Crystals. Mater. Sci. Eng. A 2009, 507, 179–189. [Google Scholar] [CrossRef]
- Raj, B.; Mudali, U.K. Materials Science and Technology: Research and Challenges in Nuclear Fission Power. Proc. Indian Natl. Sci. Acad. 2015, 81, 801–826. [Google Scholar] [CrossRef]
- Was, G.S.; Petti, D.; Ukai, S.; Zinkle, S. Materials for Future Nuclear Energy Systems. J. Nucl. Mater. 2019, 527, 151837. [Google Scholar] [CrossRef]
- Yun, D.; Lu, C.; Zhou, Z.; Wu, Y.; Liu, W.; Guo, S.; Shi, T.; Stubbins, J.F. Current State and Prospect on the Development of Advanced Nuclear Fuel System Materials: A Review. Mater. Rep. Energy 2021, 1, 2. [Google Scholar] [CrossRef]
- Riccardi, B.; Montanari, R.; Casadei, M.; Costanza, G.; Filacchioni, G.; Moriani, A. Optimisation and Characterisation of Tungsten Thick Coatings on Copper Based Alloy Substrates. J. Nucl. Mater. 2006, 352, 29–35. [Google Scholar] [CrossRef]
- Dubinko, A.; Terentyev, D.; Yin, C.; Van Renterghem, W.; Rossaert, B.; Rieth, M.; Zhurkin, E.E.; Zinovev, A.; Chang, C.C.; Van Dyck, S.; et al. Microstructure and Hardening Induced by Neutron Irradiation in Single Crystal, ITER Specification and Cold Rolled Tungsten. Int. J. Refract. Met. Hard Mater. 2021, 98, 105522. [Google Scholar] [CrossRef]
- Yin, C.; Bonny, G.; Terentyev, D. Anisotropy in the Hardness of Single Crystal Tungsten before and after Neutron Irradiation. J. Nucl. Mater. 2021, 546, 152759. [Google Scholar] [CrossRef]
- Watanabe, K.; Hishinuma, A.; Hiraoka, Y.; Fujii, T. Neutron Irradiation Embrittlement of Polycrystalline and Single Crystalline Molybdenum. J. Nucl. Mater. 1998, 258–263, 848–852. [Google Scholar] [CrossRef]
- Abernethy, R.G.; Gibson, J.S.K.L.; Giannattasio, A.; Murphy, J.D.; Wouters, O.; Bradnam, S.; Packer, L.W.; Gilbert, M.R.; Klimenkov, M.; Rieth, M.; et al. Effects of Neutron Irradiation on the Brittle to Ductile Transition in Single Crystal Tungsten. J. Nucl. Mater. 2019, 527, 151799. [Google Scholar] [CrossRef]
- Gontar, A.S.; Nelidov, M.V.; Nikolaev, Y.V.; Rakitskaya, E.M.; Yastrebkov, A.A. Structural and Fuel Materials for the Fuel Elements of Thermionic Nuclear Power Systems. At. Energy 2005, 99, 799–805. [Google Scholar] [CrossRef]
- Glebovsky, V.G.; Lomeyko, V.V.; Semenov, V.N. Unit for Electron-Beam Zone Melting of Refractory Materials. J. Less-Common Met. 1986, 117, 385–389. [Google Scholar] [CrossRef]
- Ermolov, S.N.; Cortenraad, R.; Semenov, V.N.; Denier Van Der Gon, A.W.; Bozhko, S.I.; Brongersma, H.H.; Glebovsky, V.G. Growth and Characterization of Monocrystalline Tungsten Substrates. Vacuum 1999, 53, 83–86. [Google Scholar] [CrossRef]
- Burkhanov, G.S.; Yusupov, V.S.; Kirillova, V.M.; Sdobyrev, V.V.; Dement’Ev, V.A.; Dormidontov, N.A.; Mikhailov, B.P.; Ermishkin, V.A.; Minina, N.A. Low-Alloyed Molybdenum Single Crystals: Preparation, Structure and Properties. J. Phys. Conf. Ser. 2019, 1347, 012119. [Google Scholar] [CrossRef]
- Liu, J.; Zee, R.H. Growth of Molybdenum-Based Alloy Single Crystals Using Electron Beam Zone Melting. J. Cryst. Growth 1996, 163, 259–265. [Google Scholar] [CrossRef]
- Lyakishe, N.P.; Burkhanov, G.S. Metallic Single Crystals; Mateck: Moscow, Russia, 2002. [Google Scholar]
- Skotnicova, K.; Kirillova, V.M.; Drapala, J.; Burkhanov, G.S.; Kuz’Mishev, V.A.; Sdobyrev, V.V.; Dementyev, V.A.; Abramov, N.N. Preparation and Investigation of Structural Parameters of Single Crystals of Low-Alloyed Alloys on the Base of Tungsten and Molybdenum. Adv. Eng. Mater. 2013, 15, 927–934. [Google Scholar] [CrossRef]
- Solntceva, E.S.; Taubin, M.L.; Bochkov, N.A.; Solntsev, V.A.; Yaskolko, A.A. Use of Tungsten Single Crystals to Enhance Nuclear Reactors Structural Elements Properties. Int. J. Hydrogen Energy 2016, 41, 7206–7212. [Google Scholar] [CrossRef]
- Otani, S.; Tanaka, T.; Ishizawa, Y. Automatic Crystal Growth of Refractory Metals (Mo, Ta, W) by the Float Zone Technique. J. Cryst. Growth 1990, 106, 498–502. [Google Scholar] [CrossRef]
- Glebovsky, V. Crystal Growth: Substructure & Recrystallization; Intechweb.org: Moscow, Russia, 2012. [Google Scholar]
- Cortenraad, R.; Ermolov, S.N.; Semenov, V.N.; Denier van der Gon, A.W.; Glebovsky, V.G.; Bozhko, S.I.; Brongersma, H.H. Growth, Characterisation and Surface Cleaning Procedures for High-Purity Tungsten Single Crystals. J. Cryst. Growth 2001, 222, 154–162. [Google Scholar] [CrossRef]
- AA, Y.; NG, A.; VA, R.; VP, S. Development of Refractory Monocrystallic Molybdenum and Tungsten Base Alloy. Non-Ferr. Met. 2007, 11, 10–14. [Google Scholar] [CrossRef]
- Burkhanov, G.S.; Kirillova, V.M.; Sdobyrev, V.V.; Dementiev, V.A. Growth of Pure Tungsten Single Crystals Using Tungsten Powders Prepared from Waste Products. In Proceedings of the 17th International Metallurgical and Materials Conference, METAL 2008, Hradec nad Moravici, Czech Republic, 13–15 May 2008. [Google Scholar]
- Savitsky, E.M.; Burkhanov, G.S.; Kirillova, V.M. Single Crystals of Refractory and Rare Metals, Alloys, and Compounds; Nauka Press: Moscow, Russia, 1984. [Google Scholar]
- Riedle, J.; Gumbsch, P.; Fischmeister, H.F.; Glebovsky, V.G.; Semenov, V.N. Fracture Studies of Tungsten Single Crystals. Mater. Lett. 1994, 20, 311–317. [Google Scholar] [CrossRef]
- Riedle, J.; Gumbsch, H.; Fischmeister, H.F.; Semenov, V. Dependence of the Fracture Behavior on Crack Front Orientation in (110) and (100) Oriented Tungsten Single Crystals. J. Surf. Investig. X-ray Synchrotron Neutron Tech. 1994, 10–11, 110–118. [Google Scholar]
- Beardmore, P.; Hull, D. The Effect of Prestrain on Crack Propagation in Tungsten Single Crystals. Met. Sci. J. 1968, 2, 1–8. [Google Scholar] [CrossRef]
- Ma, L.; Huang, J. Study on Crack Propagation Mechanism of Tungsten under Uniaxial Loading. Jixie Qiangdu/J. Mech. Strength 2020, 42, 1012–1016. [Google Scholar] [CrossRef]
- Ryaboshapka, K.P.; Stelmashenko, N.A.; Grigor’ev, O.N. Dislocation Structure of Refractory Metal Single Crystals after High-Temperature Creep—X-Ray Diffraction Study. Mater. Sci. Eng. A 1990, 127, 65–69. [Google Scholar] [CrossRef]
- Dekhtyar, A.I. Interaction between Dislocations in the Process of Creep. Phys. Met. Metallogr. 2006, 101, 596–599. [Google Scholar] [CrossRef]
- Dekhtyar, A.I.; Karasevska, O.P.; Bondarchuk, V.I. Effect of Plastic Bending on High Temperature Creep Resistance of Molybdenum Single Crystals. Int. J. Refract. Met. Hard Mater. 2021, 95, 105461. [Google Scholar] [CrossRef]
- Belomyttsev, Y.S.; Gundarev, S.N.; Demchenko, L.V.; Dekhtyar, A.I.; Zasorin, I.P.; Kononenko, V.A.; Matvienko, L.F.; Ovsienko, D.E.; Sosina, E.I. Mechanical properties of molybdenum monocrystals and alloys at high temperatures. Russ. Metall. Met. 1984, 1, 90–96. [Google Scholar]
- Tachkova, N.G.; Zubarev, P.V.; Yastrebkov, A.A.; Afanas’ev, N.G.; Repii, V.A. High-Temperature creep of monocrystalline MoNb alloys. Metally 1987, 18, 149–153. [Google Scholar]
- Nine, H.D. Effect of Impurities and Strain Amplitude on Slip in Fatigue of Niobium Single Crystals. J. Appl. Phys. 1975, 46, 3260–3265. [Google Scholar] [CrossRef]
- Nine, H.D. Asymmetric Deformation in Fatigue of Body-Centered-Cubic Single Crystals. J. Appl. Phys. 1973, 44, 4875–4881. [Google Scholar] [CrossRef]
- Vaja, J.; Guiu, F. The Effect of Specimen Constraints on the Shape Changes and the Nucleation of Cracks in Cyclically Deformed Nb Crystals. Philos. Mag. A Phys. Condens. Matter Struct. Defects Mech. Prop. 1989, 59, 1091–1102. [Google Scholar] [CrossRef]
- Anglada, M.; Guiu, F. The Bauschinger Effect in Cyclically Deformed Niobium Single Crystals. J. Mater. Sci. 1988, 23, 353–358. [Google Scholar] [CrossRef]
- Lin, D.; Wu, J.; Chen, X. Dislocation Behaviour during Cyclic Deformation of Niobium Single Crystals. Mater. Sci. Eng. 1987, 86, 19–27. [Google Scholar] [CrossRef]
- Lim, H.; Carroll, J.D.; Michael, J.R.; Battaile, C.C.; Chen, S.R.; Lane, J.M.D. Investigating Active Slip Planes in Tantalum under Compressive Load: Crystal Plasticity and Slip Trace Analyses of Single Crystals. Acta Mater. 2020, 185, 1–12. [Google Scholar] [CrossRef]
- Pang, B.; Jones, I.P.; Millett, J.C.F.; Whiteman, G.; Bourne, N.; Chiu, Y.L. Radial Stress Release Wave Induced Twinning in a Tantalum Single Crystal. Metall. Mater. Trans. A Phys. Metall. Mater. Sci. 2015, 46, 4522–4526. [Google Scholar] [CrossRef]
- Pang, B.; Case, S.; Jones, I.P.; Millett, J.C.F.; Whiteman, G.; Chiu, Y.L.; Bronkhorst, C.A. The Defect Evolution in Shock Loaded Tantalum Single Crystals. Acta Mater. 2018, 148, 482–491. [Google Scholar] [CrossRef]
- Garlick, R.G.; Probst, H.B. Investigation of Room-Temperature Slip in Zone-Melted Tungsten Single Crystals. Trans. Met. Soc. AIME 1964, 23, 1–6. [Google Scholar]
- Kaun, L.; Luft, A.; Richter, J.; Schulze, D. Slip Line Pattern and Active Slip Systems of Tungsten and Molybdenum Single Crystals Weakly Deformed in Tension at Room Temperature. Phys. Status Solidi 2010, 26, 485–499. [Google Scholar] [CrossRef]
- Tabata, T.; Mori, H.; Fujita, H.; Ishikawa, I. In-Situ Deformation of Tungsten Single Crystals with [100] Tensile Axis in an Ultra-High Voltage Electron Microscope. J. Phys. Soc. Jpn. 1976, 40, 1103–1111. [Google Scholar] [CrossRef]
- Maddin, R.; Chen, N.K. Geometrical Aspects of the Plastic Deformation of Metal Single Crystals. Prog. Met. Phys. 1954, 5, 53–95. [Google Scholar] [CrossRef]
- Jiao, B.Q.; Zhao, Q.Y.; Zhao, Y.Q. The Relationship between Slip Behavior and Dislocation Arrangement for Large-Size Mo-3Nb Single Crystal at Room Temperature. J. Mater. Sci. Technol. 2021, 92, 208–213. [Google Scholar] [CrossRef]
- Jiao, B.; Zhao, Q.; Zhao, Y.; Zhang, W.; Li, Y.; Hu, Z.; Gao, X.; Cui, C.; Wu, M.; Xin, T. A New Approach to Understand the Deformation Behavior and Strengthening Mechanism of Molybdenum Alloy: From Single Crystal to Polycrystal. Int. J. Refract. Met. Hard Mater. 2022, 102, 105715. [Google Scholar] [CrossRef]
- Zheng, H.; Jiao, B.; Wang, Q.; Hu, Z.; Gao, X.; Zhang, W.; Yin, T.; Guo, L.; Li, Y.; Ren, G. A Direct Evidence for Lattice Selective Rotation of Molybdenum Alloys Single Crystals in Tensile Deformation. Mater. Today Commun. 2024, 39, 108867. [Google Scholar] [CrossRef]
- Bowen, D.K.; Christian, J.W.; Taylor, G. Deformation Properties of Niobium Single Crystals. Can. J. Phys. 1967, 45, 903–938. [Google Scholar] [CrossRef]
- Chang, L.N.; Taylor, G.; Christian, J.W. Stress Asymmetries in the Deformation Behaviour of Niobium Single Crystals. Acta Metall. 1983, 31, 37–42. [Google Scholar] [CrossRef]
- Mitchell, T.E.; Spitzig, W.A. Three-Stage Hardening in Tantalum Single Crystals. Acta Metall. 1965, 13, 1169–1179. [Google Scholar] [CrossRef]
- Shields, J.A.; Goods, S.H.; Gibala, R.; Mitchell, T.E. Deformation of High Purity Tantalum Single Crystals at 4.2 K. Mater. Sci. Eng. 1975, 20, 71–81. [Google Scholar] [CrossRef]
- Wasserbäch, W.; Novák, V. Optical Investigation of Anomalous Slip-Line Patterns in High Purity Niobium and Tantalum Single Crystals after Tensile Deformation at 77 K. Mater. Sci. Eng. 1985, 73, 197–202. [Google Scholar] [CrossRef]
- Bolton, C.J.; Taylor, G. Anomalous Slip in High-Purity Niobium Single Crystals Deformed at 77°K in Tension. Philos. Mag. A 1972, 26, 1359–1376. [Google Scholar] [CrossRef]
- Jeffcoat, P.J.; Mordike, B.L.; Rogausch, K.D. Anomalous Slip in Mo-5 at.% Nb and Mo-5 at.% Re Alloy Single Crystals. Philos. Mag. A J. Theor. Exp. Appl. Phys. 1976, 34, 583–592. [Google Scholar] [CrossRef]
- Marichal, C.; Srivastava, K.; Weygand, D.; Van Petegem, S.; Grolimund, D.; Gumbsch, P.; Van Swygenhoven, H. Origin of Anomalous Slip in Tungsten. Phys. Rev. Lett. 2014, 113, 025501. [Google Scholar] [CrossRef]
- Pang, B.; Jones, I.P.; Millett, J.C.F.; Whiteman, G.; Chiu, Y.L. The Defect Evolution in 1-D Shocked Tantalum Single Crystals. J. Mater. Sci. 2021, 56, 7142–7154. [Google Scholar] [CrossRef]
- Chiem, C.Y.; Lee, W.S. The Influence of Dynamic Shear Loading on Plastic Deformation and Microstructure of Tungsten Single Crystals. Mater. Sci. Eng. A 1994, 187, 43–50. [Google Scholar] [CrossRef]
- Boucher, N.A.; Christian, J.W. The Influence of Pre-Strain on Deformation Twinning in Niobium Single Crystals. Acta Metall. 1972, 20, 581–591. [Google Scholar] [CrossRef]
- Wang, X.; Wang, J.; He, Y.; Wang, C.; Zhong, L.; Mao, S.X. Unstable Twin in Body-Centered Cubic Tungsten Nanocrystals. Nat. Commun. 2020, 11, 2497. [Google Scholar] [CrossRef]
- Florando, J.N.; Barton, N.R.; El-Dasher, B.S.; McNaney, J.M.; Kumar, M. Analysis of Deformation Twinning in Tantalum Single Crystals under Shock Loading Conditions. J. Appl. Phys. 2013, 113, 083522. [Google Scholar] [CrossRef]
- Tang, M.X.; Li, C.; Cai, Y.; Luo, S.N. Deformation Twinning to Dislocation Slip Transition in Single-Crystal Tantalum under Dynamic Compression. J. Mater. Sci. 2022, 57, 6026–6038. [Google Scholar] [CrossRef]
- Chen, C.Q.; Hu, G.; Florando, J.N.; Kumar, M.; Hemker, K.J.; Ramesh, K.T. Interplay of Dislocation Slip and Deformation Twinning in Tantalum at High Strain Rates. Scr. Mater. 2013, 69, 709–712. [Google Scholar] [CrossRef]
- Wang, J.; Zeng, Z.; Weinberger, C.R.; Zhang, Z.; Zhu, T.; Mao, S.X. In Situ Atomic-Scale Observation of Twinningdominated Deformation in Nanoscale Body-Centred Cubic Tungsten. Nat. Mater. 2015, 14, 594–600. [Google Scholar] [CrossRef]
- Wei, S.; Wang, Q.; Wei, H.; Wang, J. Bending-Induced Deformation Twinning in Body-Centered Cubic Tungsten Nanowires. Mater. Res. Lett. 2019, 7, 210–216. [Google Scholar] [CrossRef]
- Dunn, C.G. Secondary Recrystallization Textures and Their Origin in Cold-Rolled Single Crystals of Silicon Iron. Acta Metall. 1953, 1, 163–175. [Google Scholar] [CrossRef]
- Wada, T.; Matsumoto, F.; Kuroki, K. On the Recrystallization of 3%Si-Fe (001)[110] Single Crystal. J. Jpn. Inst. Met. 1968, 32, 767–773. [Google Scholar] [CrossRef][Green Version]
- Okada, T.; Sakaguchi, M.; Ashida, O.; Tagami, M.; Inoko, F. Deformation and Recrystallization of Tensile-Deformed or Rolled Fe-3%Si Alloy Single Crystals. ISIJ Int. 2005, 45, 248–253. [Google Scholar] [CrossRef][Green Version]
- Jiao, B.; Zhao, Q.; Zhao, Y.; Zhang, W.; Zhang, W.; Hu, Z.; Gao, X.; Li, Y.; Cui, C.; Xin, T. New Insights into the Recrystallization Behavior of Large-Size Mo-3Nb Single Crystal Based on Multi-Scale Characterization. J. Mater. Res. Technol. 2022, 20, 303–319. [Google Scholar] [CrossRef]
- Jiao, B.; Zhao, Q.; Zhao, Y.; Zhang, W.; Hu, Z.; Gao, X.; Yin, T.; Xue, J.; Li, L. The Recovery and Recrystallization Behavior of Cold-Compressed Mo-3Nb Single Crystal. JOM 2021, 73, 3460–3467. [Google Scholar] [CrossRef]
- Hu, H. Recovery and Recrystallization of Metals; Himmel, Ed.; Interscience: New York, NY, USA, 1963. [Google Scholar]
- Walter, J.L.; Koch, E.F. Substructures and Recrystallization of Deformed (100)[001]-Oriented Crystals of High-Purity Silicon-Iron. Acta Metall. 1963, 11, 923–938. [Google Scholar] [CrossRef]
- Vandermeer, R.A.; Snyder, W.B. Recovery and Recrystallization in Rolled Tantalum Single Crystals. Metall. Trans. A 1979, 10, 1031–1044. [Google Scholar] [CrossRef]
- Zinkle, S.J.; Busby, J.T. Structural Materials for Fission & Fusion Energy. Mater. Today 2009, 12, 12–19. [Google Scholar] [CrossRef]
- Zinkle, S.J.; Was, G.S. Materials Challenges in Nuclear Energy. Acta Mater. 2013, 61, 735–758. [Google Scholar] [CrossRef]
- Takamura, S.; Okuda, S. Plastic Deformation of Vanadium and Niobium Single Crystals after Low Temperature Neutron Irradiation. Radiat. Eff. 1977, 33, 253–256. [Google Scholar] [CrossRef]
- Nagakawa, J.; Meshii, M. Electron Irradiation Hardening in Niobium Single Crystals. J. Nucl. Mater. 1981, 101, 162–171. [Google Scholar] [CrossRef]
- Aono, Y.; Kuramoto, E.; Yoshida, N. Effects of 14 MeV Neutron Irradiation on Mechanical Properties of High-Purity Molybdenum Single Crystals. Mater. Trans. JIM 1993, 34, 1130–1136. [Google Scholar] [CrossRef]
- Kinev, E.A.; Barsanova, S.V.; Pastukhov, V.I. Influence of Technological Defects and Neutron Irradiation on the Mechanical Properties of Single-Crystal Molybdenum Pipes. Inorg. Mater. Appl. Res. 2016, 7, 708–712. [Google Scholar] [CrossRef]
- Garrison, L.M.; Katoh, Y.; Kumar, N.A.P.K. Mechanical Properties of Single-Crystal Tungsten Irradiated in a Mixed Spectrum Fission Reactor. J. Nucl. Mater. 2019, 518, 208–225. [Google Scholar] [CrossRef]
- Dellis, S.; Xiao, X.; Terentyev, D.; Mergia, K.; Krimpalis, S.; Bakaev, A.; Messoloras, S. Mechanical Properties of Neutron-Irradiated Single Crystal Tungsten W(100) Studied by Indentation and FEM Modelling. J. Nucl. Mater. 2021, 551, 152985. [Google Scholar] [CrossRef]
- Bonny, G.; Konstantinovic, M.J.; Bakaeva, A.; Yin, C.; Castin, N.; Mergia, K.; Chatzikos, V.; Dellis, S.; Khvan, T.; Bakaev, A.; et al. Trends in Vacancy Distribution and Hardness of High Temperature Neutron Irradiated Single Crystal Tungsten. Acta Mater. 2020, 198, 1–9. [Google Scholar] [CrossRef]
- Shi, J.; Liu, G.; Wu, K.; Yu, P.; Zhu, H.; Zhao, G.; Shen, Y. Experiments and/or Crystal Plasticity Finite Element Modeling of the Mechanical Properties of Pristine and Irradiated Tungsten Single Crystal. Int. J. Plast. 2022, 154, 103293. [Google Scholar] [CrossRef]
- Singh, B.N.; Evans, J.H.; Horsewell, A.; Toft, P.; Müller, G.V. Effects of Neutron Irradiation on Microstructure and Deformation Behaviour of Mono- and Polycrystalline Molybdenum and Its Alloys. J. Nucl. Mater. 1998, 258–263, 865–872. [Google Scholar] [CrossRef]
- Yun, D.; Kirk, M.A.; Baldo, P.M.; Rest, J.; Yacout, A.M.; Insepov, Z.Z. In Situ TEM Investigation of Xe Ion Irradiation Induced Defects and Bubbles in Pure Molybdenum Single Crystal. J. Nucl. Mater. 2013, 437, 240–249. [Google Scholar] [CrossRef]
- Gavish Segev, I.; Yahel, E.; Silverman, I.; Perry, A.; Weismann, L.; Makov, G. Hydrogen Blister Formation in Single Crystal and Polycrystalline Tungsten Irradiated by MeV Protons. J. Nucl. Mater. 2019, 513, 209–220. [Google Scholar] [CrossRef]
- Fan, C.; Li, C.; Parish, C.M.; Katoh, Y.; Hu, X. Helium Effects on the Surface and Subsurface Evolutions in Single-Crystalline Tungsten. Acta Mater. 2021, 203, 116420. [Google Scholar] [CrossRef]
- Lu, Y.; Xie, H.; Yin, F.; Lu, G.H. Shock Response of He Bubble in Single Crystal Tungsten: Molecular Dynamics Simulation Study. J. Nucl. Mater. 2021, 556, 153165. [Google Scholar] [CrossRef]
- Busby, J.T.; Leonard, K.J.; Zinkle, S.J. Radiation-Damage in Molybdenum-Rhenium Alloys for Space Reactor Applications. J. Nucl. Mater. 2007, 366, 388–406. [Google Scholar] [CrossRef]
- Hasegawa, A.; Ueda, K.; Satou, M.; Abe, K. Neutron Irradiation Embrittlement of Molybdenum Rhenium Alloys and Their Improvement by Heat Treatment. J. Nucl. Mater. 1998, 258–263, 902–906. [Google Scholar] [CrossRef]










| Single-Crystal Types | Preparation Techniques | Dimension (mm) | Applications | References |
|---|---|---|---|---|
| Mo and W alloy bars | EBFZM | Φ(10~15) × (150~200) | heat-to-current conversion | [50] |
| Mo and W alloy bars | EBFZM | Φ30 × 600 | heat-to-current conversion | [51] |
| W tubes | EBFZM | Φ(20~30) × 200 × 1 | [14] | |
| Mo and W alloy bars | EBFZM | Φ(4~30) × (50~600) | [14] | |
| (100) (110) (111) W plates | EBFZM | 7.5 × 7.5 × 2 | thermionic dispenser | [52] |
| [110] Mo-1.5Ta [110] Mo-1.5W [100] Mo-2Re [100] Mo-3Re | EBFZM | — | glass welding material | [53] |
| Mo-3Re foils | EBFZM | 0.5 | vacuum seal | [15] |
| Low-alloyed Mo-Nb; Mo-Hf; Mo-Hf-C bars | EBFZM | Φ15 | heat-to-current conversion | [7,9,54] |
| W bars W tubes W plates W disk | PAM | Φ50 × 300 Φ70 × 10 × L 8 × 75 × 160 Φ100 | heat-to-current conversion | [55] |
| [100] W-1.43Mo [110] W-1.62Mo [110] W-1.55Ta [100] Mo-1.81Nb [110] Mo-1.53W [110] Mo-1.48Ta | PAM | — | heat-to-current conversion | [56] |
| W bars | PAM | — | heat-to-current conversion | [57] |
| Temperature (°C) | Materials | σ0.2 (MPa) | σB (MPa) | Prolongation (%) or εr | Refs. |
|---|---|---|---|---|---|
| 25 | [001] Pure W | — | 760 | 19.5 | [26] |
| [001] Pure | — | 1040 | 14.2 | [26] | |
| [001] Pure W | 1085 | 1812 | 21 | [27] | |
| [001] W-2Re | 732 | 2013 | 31 | [27] | |
| [001] W-1Mo-1Re | 853 | 1756 | 24 | [27] | |
| 1400 | W-Poly | 79 | 115 | 9 | [57] |
| W-Ta | 77 | 125 | 13.5 | [57] | |
| 1800 | W-Poly | 52.5 | 73 | 6 | [57] |
| W-Ta | 52 | 75 | 26 | [57] | |
| 2000 | W-Poly | 49.3 | 65.5 | 4.5 | [57] |
| W-Ta | 43 | 58 | 26.5 | [57] | |
| 2100 | W-Poly | 45 | 63 | 6.5 | [57] |
| W-Ta | 38 | 49 | 24 | [57] |
| Materials | Neutron Fluence (n/m2 (E > 1 MeV)) | Dose (NRT dpa) | Loop Density (1022 m−3) | Loop Size (mm) | Raft Density (1022 m−3) | Raft Length (nm) | σ0.2 (MPa) | σmax (MPa) | εt | |
|---|---|---|---|---|---|---|---|---|---|---|
| Mo (Monocrystal) | - | 0 | - | - | - | - | 430 | 610 | 2.5 | 12 |
| 5 × 1021 | 5.4 × 10−4 | 0.33 | 4.5 | - | - | - | - | - | - | |
| 5 × 1022 | 5.4 × 10−3 | 0.82 | 4.6 | 0.19 | 24.2 | 650 | 655 | 1.1 | 15 | |
| 5 × 1023 | 5.4 × 10−2 | 0.77 | 4.7 | 0.37 | 40.9 | - | - | - | - | |
| 1.5 × 1024 | 1.6 × 10−1 | 0.76 | 4.1 | 0.32 | 46.1 | - | 690 | 0.1 | 0.6 | |
| Mo-5%Re (Monocrystal) | - | 0 | - | - | - | - | 375 | 500 | 2.5 | 9.0 |
| - | 5.4 × 10−4 | - | - | - | - | 445 | 502 | 2.5 | 8.5 | |
| 5 × 1022 | 5.4 × 10−3 | 12.0 | 1.3 | - | - | - | - | - | - | |
| 5 × 1023 | 5.4 × 10−2 | 13.1 | 3.0 | - | - | 625 | 700 | 0.3 | 7.0 | |
| 1.5 × 1024 | 1.6 × 10−1 | 5.2 | 5.6 | - | - | - | 1275 | 1.3 | 2.5 |
Disclaimer/Publisher’s Note: The statements, opinions and data contained in all publications are solely those of the individual author(s) and contributor(s) and not of MDPI and/or the editor(s). MDPI and/or the editor(s) disclaim responsibility for any injury to people or property resulting from any ideas, methods, instructions or products referred to in the content. |
© 2024 by the authors. Licensee MDPI, Basel, Switzerland. This article is an open access article distributed under the terms and conditions of the Creative Commons Attribution (CC BY) license (https://creativecommons.org/licenses/by/4.0/).
Share and Cite
Jiao, B.; Han, W.; Zhang, W.; Hu, Z.; Li, J. Preparation, Deformation Behavior and Irradiation Damage of Refractory Metal Single Crystals for Nuclear Applications: A Review. Materials 2024, 17, 3417. https://doi.org/10.3390/ma17143417
Jiao B, Han W, Zhang W, Hu Z, Li J. Preparation, Deformation Behavior and Irradiation Damage of Refractory Metal Single Crystals for Nuclear Applications: A Review. Materials. 2024; 17(14):3417. https://doi.org/10.3390/ma17143417
Chicago/Turabian StyleJiao, Benqi, Weizhong Han, Wen Zhang, Zhongwu Hu, and Jianfeng Li. 2024. "Preparation, Deformation Behavior and Irradiation Damage of Refractory Metal Single Crystals for Nuclear Applications: A Review" Materials 17, no. 14: 3417. https://doi.org/10.3390/ma17143417
APA StyleJiao, B., Han, W., Zhang, W., Hu, Z., & Li, J. (2024). Preparation, Deformation Behavior and Irradiation Damage of Refractory Metal Single Crystals for Nuclear Applications: A Review. Materials, 17(14), 3417. https://doi.org/10.3390/ma17143417

