An Optimized Strain-Compensated Arrhenius Constitutive Model of GH4169 Superalloy Based on Hot Compression
Abstract
1. Introduction
2. Material and Experiment
3. Results and Discussions
3.1. Correction of Flow Stress
3.2. Original Strain-Compensation Arrhenius Constitutive Model
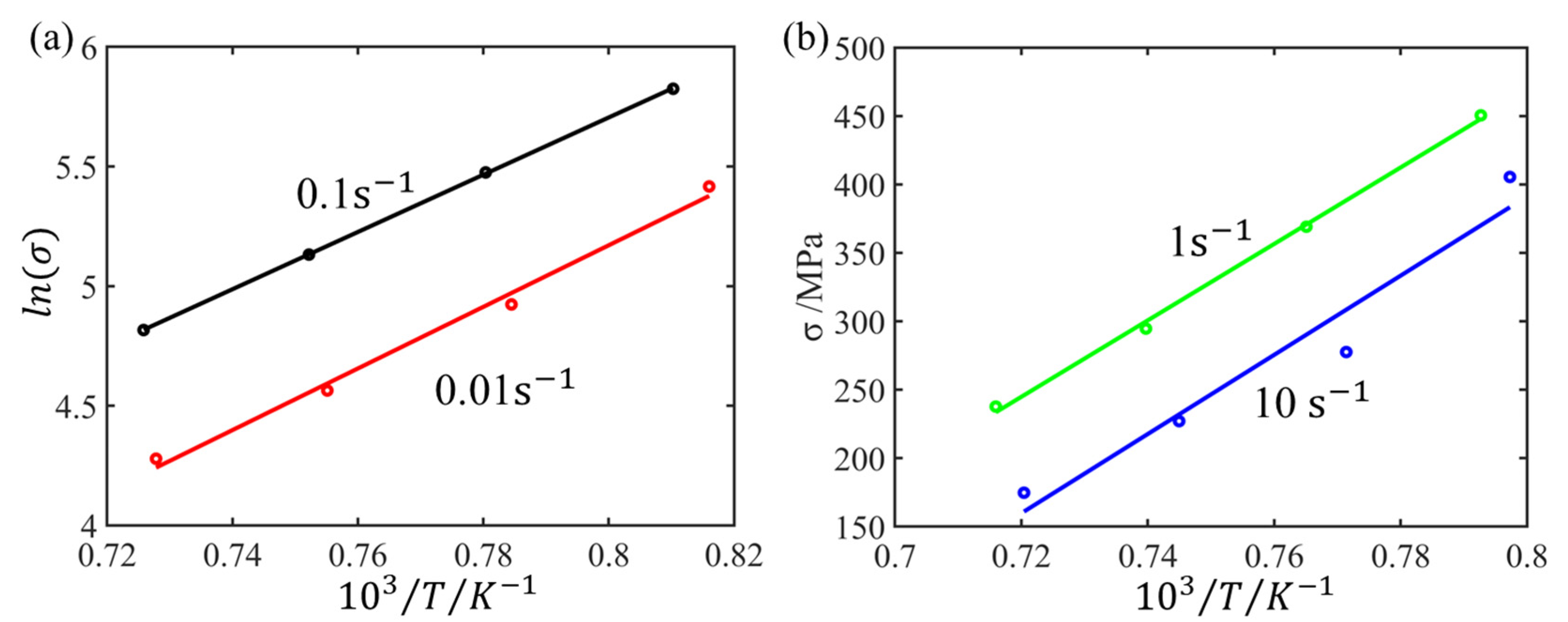
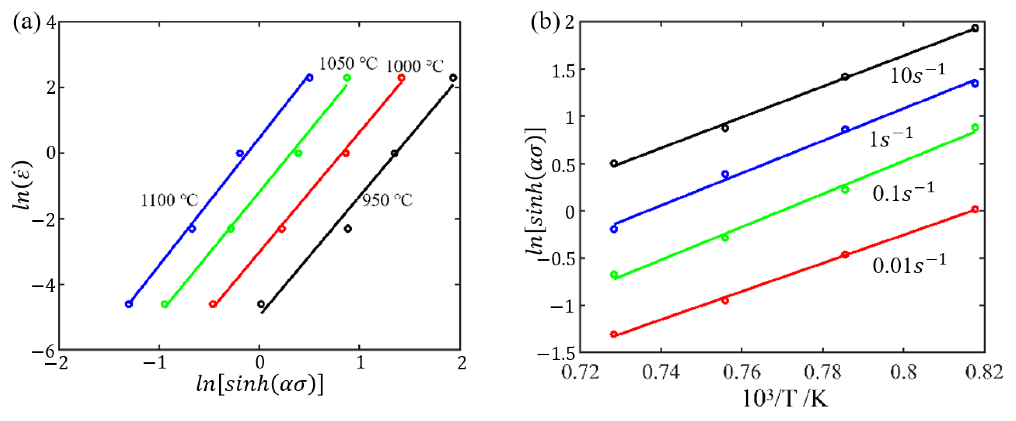
3.3. Optimized Strain-Compensated Arrhenius Constitutive Model
3.4. Correlation Analysis of Model Accuracy
4. Conclusions
Author Contributions
Funding
Institutional Review Board Statement
Informed Consent Statement
Data Availability Statement
Conflicts of Interest
Appendix A. The Polynomial Fitting Coefficients of the Material Parameters for the Original Model
| Coefficients | n) | n) | n) | n) |
| 3th | 0.004965196 | 9.280570422 | 676,621.0208 | 61.0612994 |
| −0.008999469 | −40.86635503 | −2,416,658.901 | −230.8685229 | |
| 0.025313495 | 106.8353812 | 8,052,427.794 | 771.8335009 | |
| −0.01837128 | −92.3699141 | −7,717,886.816 | −741.5176644 | |
| 5th | 0.005043017 | 10.65750559 | 851,455.5084 | 77.65322329 |
| −0.011771629 | −93.36139773 | −9,118,905.766 | −866.6237652 | |
| 0.049534267 | 606.0907809 | 72,199,014.41 | 6853.38013 | |
| −0.100144531 | −1958.54772 | −249,146,829 | −23,617.64701 | |
| 0.116324539 | 3001.975228 | 391,240,586.1 | 37,048.76691 | |
| −0.05799663 | −1741.610813 | −228,771,494.6 | −21,649.74571 | |
| 10th | 0.00513226 | 13.09915635 | 1,056,592.429 | 96.91444953 |
| −0.016181833 | −288.2087321 | −24,479,868.57 | −2310.771568 | |
| 0.054076086 | 5629.3284 | 434,752,169.4 | 41,019.16905 | |
| 1.392636525 | −66,157.84616 | −4,487,663,282 | −424,334.2081 | |
| −21.94232655 | 483,956.3678 | 29,790,292,108 | 2,826,909.655 | |
| 146.935357 | −2,277,882.923 | −1.31145 | −12,493,210.83 | |
| −550.3668352 | 7,001,432.601 | 3.84125 | 36,729,726.51 | |
| 1229.917378 | −13,953,848.96 | −7.36399 | −70,662,954.04 | |
| −1628.38703 | 17,364,107.77 | 8.84414 | 85,154,905.52 | |
| 1178.395447 | −12,253,784.79 | −6.02175 | −58,175,711.96 | |
| −358.8138813 | 3,743,222.516 | 1.7704 | 17,162,940.37 |
Appendix B. The Polynomial Fitting Coefficients of the Material Parameters for the Optimized Model
| Coefficients | 24 | 24 | 24 | 24 | 24 | 24 | |
| α | −0.313619694713256 | 0.543895041466033 | −0.365608618478928 | 0.1244497630481 | −0.02113597209330 | 0.005446613330949 | |
| n | B1 | −0.126045546843889 | 0.234069957657822 | −0.166675838101146 | 0.05645151186931 | −0.00901272163852 | 0.000554240987898 |
| B2 | 345.630700332918 | −640.985856269958 | 456.118762468758 | −154.651085847321 | 24.8258673316506 | −1.54646736038328 | |
| B3 | −237,324.596980361 | 439,540.520537349 | −312,548.202652688 | 106,077.946074500 | −17,119.5043604220 | 1084.20283268688 | |
| s | C1 | 43.1475033224648 | −40.0123640650615 | −4.26044031008300 | 13.6452551703253 | −3.90601274917559 | 0.242723453398392 |
| C2 | −22.3573005923190 | 198.105013817509 | −265.935515353085 | 132.390269772340 | −25.2298674879718 | 1.05008484641301 | |
| C3 | −1467.40331359746 | 2388.46163132963 | −1387.84039308468 | 320.523456631582 | −15.1669809803312 | −2.60984588780090 | |
| C4 | −1104.82670101620 | 1315.29350890874 | −237.622706864870 | −236.643968782035 | 114.107490552172 | 0.149386135111619 | |
| D1 | E11 | 0.00708824746160676 | −0.01227964163259 | 0.007967811834393 | −0.00238078908168 | 0.00031636052193 | −1.82873445226331 × 10−5 |
| E21 | −18.6422491869782 | 32.3810738259777 | −21.0881975759859 | 6.33417033649789 | −0.8478940186192 | 0.0489621270946009 | |
| E31 | 12,237.1724058837 | −21,310.793140206 | 13,927.6760969287 | −4203.83601094965 | 566.486707459597 | −32.6861294572920 | |
| D2 | E12 | 0.0311730275899159 | −0.053265420177463 | 0.0338179549946556 | −0.009715027096117 | 0.00118707475111 | −5.72799756454774 |
| E22 | −83.0178403898485 | 142.214199816963 | −90.6129272024957 | 26.1602820906068 | −3.21821326828688 | 0.153899437145203 | |
| E32 | 55,186.4048879887 | −94,771.1226350173 | 60,588.1297553708 | −17,571.4685968231 | 2174.21976876730 | −103.017266005603 | |
| D3 | E13 | −0.01808461137684 | 0.0363133985525667 | −0.0283640156211 | 0.01084820348329 | −0.0020392894982 | 0.0001815477277889 |
| E23 | 43.3108458068339 | −88.8607082597213 | 70.9716779462624 | −27.7793987816668 | 5.34156271632478 | −0.482964627846992 | |
| E33 | −25,567.3413267429 | 53,840.2516391468 | −44,115.9545491695 | 17,710.4701986799 | −3487.55465679182 | 320.692350036855 | |
| D4 | E14 | −0.08087684880229 | 0.133937089478043 | −0.07840675472315 | 0.01760586052878 | −0.00034838051414 | −0.000226671745111 |
| E24 | 212.00572653823 | −352.06420682219 | 207.016839072178 | −46.9114717964426 | 1.05093407600229 | 0.627590021585192 | |
| E34 | −138,735.817194794 | 231,056.612708095 | −136,473.601976111 | 31,192.7365911438 | −769.345619601457 | −435.745738873583 | |
References
- Wu, S.; Song, H.; Peng, H.; Hodgson, P.; Wang, H.; Wu, X.; Zhu, Y.; Lam, M.; Huang, A. A microstructure-based creep model for additively manufactured nickel-based superalloys. Acta Mater. 2021, 224, 117528. [Google Scholar] [CrossRef]
- Zeng, Y.; Li, L.; Huang, W.; Zhao, Z.; Yang, W.; Yue, Z. Effect of thermal cycles on laser direct energy deposition repair performance of nickel-based superalloy: Microstructure and tensile properties. Int. J. Mech. Sci. 2022, 221, 107173. [Google Scholar] [CrossRef]
- Tian, H.; Zhao, J.; Zhao, R.; He, W.; Meng, B.; Wan, M. The modified GTN model for fracture of nickel-based superalloys considering size effect and healing effect in pulsed current assisted deformation. Int. J. Plast. 2023, 167, 103656. [Google Scholar] [CrossRef]
- Wang, H.; Zhang, H.; Liu, C.; Ruan, J.; Huang, H.; Zhou, X.; Meng, F.; Zhu, L.; Zhang, S.; Jiang, L. Hot deformation behavior, superplasticity and microstructure evolution of a new hot isostatic pressed nickel-based superalloy. Mater. Sci. Eng. A 2024, 891, 145997. [Google Scholar] [CrossRef]
- Lin, Y.; Nong, F.-Q.; Chen, X.-M.; Chen, D.-D.; Chen, M.-S. Microstructural evolution and constitutive models to predict hot deformation behaviors of a nickel-based superalloy. Vacuum 2017, 137, 104–114. [Google Scholar] [CrossRef]
- He, A.; Wang, X.-T.; Xie, G.-L.; Yang, X.-Y.; Zhang, H.-L. Modified arrhenius-type constitutive model and artificial neural network-based model for constitutive relationship of 316LN stainless steel during hot deformation. J. Iron Steel Res. Int. 2015, 22, 721–729. [Google Scholar] [CrossRef]
- Zhou, Z.; Gong, H.; You, J.; Liu, S.; He, J. Research on compression deformation behavior of aging AA6082 aluminum alloy based on strain compensation constitutive equation and PSO-BP network model. Mater. Today Commun. 2021, 28, 102507. [Google Scholar] [CrossRef]
- Tang, X.; Wang, B.; Huo, Y.; Ma, W.; Zhou, J.; Ji, H.; Fu, X. Unified modeling of flow behavior and microstructure evolution in hot forming of a Ni-based superalloy. Mater. Sci. Eng. A 2016, 662, 54–64. [Google Scholar] [CrossRef]
- Li, Y.; Yu, L.; Zheng, J.-H.; Guan, B.; Zheng, K. A physical-based unified constitutive model of AA7075 for a novel hot forming condition with pre-cooling. J. Alloys Compd. 2021, 876, 160142. [Google Scholar] [CrossRef]
- He, D.; Chen, S.-B.; Lin, Y.; Li, C.; Xu, Z.; Xiao, G. Microstructural evolution characteristics and a unified dislocation-density related constitutive model for a 7046 aluminum alloy during hot tensile. J. Mater. Res. Technol. 2023, 25, 2353–2367. [Google Scholar] [CrossRef]
- Xu, L.; Zhou, D.; Xu, C.; Zhang, H.; Qu, W.; Xie, P.; Li, L. Microstructure evolution, constitutive modeling and forming simulation of AA6063 aluminum alloy in hot deformation. Mater. Today Commun. 2023, 34, 105138. [Google Scholar] [CrossRef]
- Wang, S.; Deng, X.; Gao, P.; Ren, Z.; Wang, X.; Feng, H.; Zeng, L.; Zhang, Z. Physical constitutive modelling of hot deformation of titanium matrix composites. Int. J. Mech. Sci. 2024, 262, 108712. [Google Scholar] [CrossRef]
- Wang, K.; Liu, G.; Zhao, J.; Huang, K.; Wang, L. Experimental and modelling study of an approach to enhance gas bulging formability of TA15 titanium alloy tube based on dynamic recrystallization. J. Am. Acad. Dermatol. 2018, 259, 387–396. [Google Scholar] [CrossRef]
- Liu, R.; Wang, B.; Hu, S.; Zhang, H.; Feng, P. Unified modeling of the microstructure and densification of TC4 powder titanium alloy during hot deformation. J. Mater. Res. Technol. 2023, 24, 4904–4918. [Google Scholar] [CrossRef]
- Su, Z.; Sun, C.; Wang, M.; Qian, L.; Li, X. Modeling of microstructure evolution of AZ80 magnesium alloy during hot working process using a unified internal state variable method. J. Magnes. Alloys 2021, 10, 281–294. [Google Scholar] [CrossRef]
- Xu, W.; Yuan, C.; Wu, H.; Yang, Z.; Yang, G.; Shan, D.; Guo, B.; Jin, B.C. Modeling of flow behavior and microstructure evolution for Mg-6Gd-5Y-0.3Zr alloy during hot deformation using a unified internal state variable method. J. Mater. Res. Technol. 2020, 9, 7669–7685. [Google Scholar] [CrossRef]
- Jaimin, A.; Kotkunde, N.; Singh, S.K.; Saxena, K.K. Studies on flow stress behaviour prediction of AZ31B alloy: Microstructural evolution and fracture mechanism. J. Mater. Res. Technol. 2023, 27, 5541–5558. [Google Scholar] [CrossRef]
- Su, Z.; Sun, C.; Qian, L.; Liu, C.; Yan, Z.; Zhang, L.; Wang, R.; Liu, Y. Workability optimization and microstructure regulation for a multi-angular extrusion process of AZ80 magnesium alloy. J. Mater. Res. Technol. 2023, 27, 8271–8280. [Google Scholar] [CrossRef]
- Cao, J.; Lin, J. A study on formulation of objective functions for determining material models. Int. J. Mech. Sci. 2008, 50, 193–204. [Google Scholar] [CrossRef]
- Wang, D.; Zhu, Q.; Wei, Z.; Lin, B.; Jing, Y.; Shi, Y.; Misra, R.; Li, J. Hot deformation behaviors of AZ91 magnesium alloy: Constitutive equation, ANN-based prediction, processing map and microstructure evolution. J. Alloys Compd. 2022, 908, 164580. [Google Scholar] [CrossRef]
- Liu, W.; Liu, Z.; Zhang, H.; Ruan, J.; Huang, H.; Zhou, X.; Meng, F.; Zhang, S.; Jiang, L. Hot deformation behavior and new grain size model of hot extruded FGH4096 superalloy during hot compression. J. Alloys Compd. 2023, 938, 168574. [Google Scholar] [CrossRef]
- Johnson, G.R.; Cook, W.H. A Constitutive Model and Date for Metals Subject to Large Strains, High Strain Rate and High Temperatures. In Proceedings of the 7th International Symposium on Ballistics, The Hague, The Netherlands, 19–21 April 1983; Volume 21, pp. 541–547. [Google Scholar]
- Sellars, C.M.; McTegart, W.J. On the mechanism of hot deformation. Acta Metall. 1966, 14, 1136–1138. [Google Scholar] [CrossRef]
- Lin, Y.; Chen, X.-M.; Liu, G. A modified Johnson–Cook model for tensile behaviors of typical high-strength alloy steel. Mater. Sci. Eng. A 2010, 527, 6980–6986. [Google Scholar] [CrossRef]
- Liu, Y.; Li, M.; Ren, X.; Xiao, Z.; Zhang, X.; Huang, Y. Flow stress prediction of Hastelloy C-276 alloy using modified Zerilli−Armstrong, Johnson−Cook and Arrhenius-type constitutive models. Trans. Nonferr. Met. Soc. China 2020, 30, 3031–3042. [Google Scholar] [CrossRef]
- Han, Y.; Qiao, G.; Sun, J.; Zou, D. A comparative study on constitutive relationship of as-cast 904L austenitic stainless steel during hot deformation based on Arrhenius-type and artificial neural network models. Comput. Mater. Sci. 2012, 67, 93–103. [Google Scholar] [CrossRef]
- Zhang, C.; Ding, J.; Dong, Y.; Zhao, G.; Gao, A.; Wang, L. Identification of friction coefficients and strain-compensated Arrhenius-type constitutive model by a two-stage inverse analysis technique. Int. J. Mech. Sci. 2015, 98, 195–204. [Google Scholar] [CrossRef]
- Geng, P.; Qin, G.; Zhou, J.; Zou, Z. Hot deformation behavior and constitutive model of GH4169 superalloy for linear friction welding process. J. Manuf. Process. 2018, 32, 469–481. [Google Scholar] [CrossRef]
- Guo, S.; Wu, S.; Guo, J.; Shen, Y.; Zhang, W. An investigation on the hot deformation behavior and processing maps of Co-Ni-Cr-W-based superalloy. J. Manuf. Process. 2021, 74, 100–111. [Google Scholar] [CrossRef]
- Ren, J.; Wang, R.; Feng, Y.; Peng, C.; Cai, Z. Hot deformation behavior and microstructural evolution of as-quenched 7055 Al alloy fabricated by powder hot extrusion. Mater. Charact. 2019, 156, 109833. [Google Scholar] [CrossRef]
- Wang, M.; Wang, W.; Liu, Z.; Sun, C.; Qian, L. Hot workability integrating processing and activation energy maps of Inconel 740 superalloy. Mater. Today Commun. 2018, 14, 188–198. [Google Scholar] [CrossRef]
- Lin, X.; Huang, H.; Yuan, X.; Wang, Y.; Zheng, B.; Zuo, X.; Zhou, G. Study on high-temperature deformation mechanical behavior and dynamic recrystallization kinetics model of Ti-47.5Al-2.5V-1.0Cr-0.2Zr alloy. J. Alloys Compd. 2021, 891, 162105. [Google Scholar] [CrossRef]
- Qi, R.-S.; Guo, B.-F.; Liu, X.-G.; Jin, M. Flow Stress Behaviors and Microstructure Evolution of 300M High Strength Steel Under Isothermal Compression. J. Iron Steel Res. Int. 2014, 21, 1116–1123. [Google Scholar] [CrossRef]
- Fu, P.; Liu, X.; Dai, Q.; Zhang, J.; Deng, Y. Modification of Flow Stress Curves and Constitutive Equations During Hot Compression Deformation of 5083 Aluminum Alloy. J. Mater. Eng. 2017, 45, 76–82. [Google Scholar]
- Zhao, M.; Huang, L.; Li, C.; Su, Y.; Guo, S.; Li, J.; Sun, C.; Li, P. Flow Stress Characteristics and Constitutive Modeling of Typical Ultrahigh-Strength Steel under High Temperature and Large Strain. Steel Res. Int. 2023, 94, 2200648. [Google Scholar] [CrossRef]
- Mirzadeh, H.; Cabrera, J.M.; Najafizadeh, A. Constitutive relationships for hot deformation of austenite. Acta Mater. 2011, 59, 6441–6448. [Google Scholar] [CrossRef]
- Chang, Y.; Chen, H.; Zhou, J.; Liu, R.; Nie, H.; Wang, W. Comprehensive study of hot deformation behavior and fracture mechanism of Al/Cu laminated composite. J. Manuf. Process. 2023, 97, 48–61. [Google Scholar] [CrossRef]
- Kareem, S.A.; Anaele, J.U.; Aikulola, E.O.; Olanrewaju, O.F.; Omiyale, B.O.; Bodunrin, M.O.; Alaneme, K.K. Hot deformation behaviour, constitutive model description, and processing map analysis of superalloys: An overview of nascent developments. J. Mater. Res. Technol. 2023, 26, 8624–8669. [Google Scholar] [CrossRef]
- Sun, Y.; Wang, R.; Ren, J.; Peng, C.; Feng, Y. Hot deformation behavior of Mg-8Li-3Al-2Zn-0.2Zr alloy based on constitutive analysis, dynamic recrystallization kinetics, and processing map. Mech. Mater. 2019, 131, 158–168. [Google Scholar] [CrossRef]
- Sun, Y.; Yang, B.; Zhang, F.; Wang, R.; Peng, C.; Ren, J.; Song, G. Hot deformation behavior of Mg-5Li-3Al-2Zn-0.2Zr alloy based on constitutive analysis, processing map, and microstructure evolution. J. Alloys Compd. 2023, 941, 168983. [Google Scholar] [CrossRef]
- Lin, Y.; Xia, Y.-C.; Chen, X.-M.; Chen, M.-S. Constitutive descriptions for hot compressed 2124-T851 aluminum alloy over a wide range of temperature and strain rate. Comput. Mater. Sci. 2010, 50, 227–233. [Google Scholar] [CrossRef]
- Shi, C.; Mao, W.; Chen, X.-G. Evolution of activation energy during hot deformation of AA7150 aluminum alloy. Mater. Sci. Eng. A 2013, 571, 83–91. [Google Scholar] [CrossRef]















| Parameters | Value |
|---|---|
| Load Range/Accuracy | ±200 kN, ±1% |
| Displacement Range/Accuracy | 0~100 mm, ±1% |
Disclaimer/Publisher’s Note: The statements, opinions and data contained in all publications are solely those of the individual author(s) and contributor(s) and not of MDPI and/or the editor(s). MDPI and/or the editor(s) disclaim responsibility for any injury to people or property resulting from any ideas, methods, instructions or products referred to in the content. |
© 2024 by the authors. Licensee MDPI, Basel, Switzerland. This article is an open access article distributed under the terms and conditions of the Creative Commons Attribution (CC BY) license (https://creativecommons.org/licenses/by/4.0/).
Share and Cite
Cheng, X.; Wang, R.; Chen, X.; Jin, S.; Qian, Q.; Wu, H. An Optimized Strain-Compensated Arrhenius Constitutive Model of GH4169 Superalloy Based on Hot Compression. Materials 2024, 17, 3400. https://doi.org/10.3390/ma17143400
Cheng X, Wang R, Chen X, Jin S, Qian Q, Wu H. An Optimized Strain-Compensated Arrhenius Constitutive Model of GH4169 Superalloy Based on Hot Compression. Materials. 2024; 17(14):3400. https://doi.org/10.3390/ma17143400
Chicago/Turabian StyleCheng, Xiang, Ruomin Wang, Xiaolu Chen, Shasha Jin, Qinke Qian, and He Wu. 2024. "An Optimized Strain-Compensated Arrhenius Constitutive Model of GH4169 Superalloy Based on Hot Compression" Materials 17, no. 14: 3400. https://doi.org/10.3390/ma17143400
APA StyleCheng, X., Wang, R., Chen, X., Jin, S., Qian, Q., & Wu, H. (2024). An Optimized Strain-Compensated Arrhenius Constitutive Model of GH4169 Superalloy Based on Hot Compression. Materials, 17(14), 3400. https://doi.org/10.3390/ma17143400
