Study on the Deformation Behavior of Two Phases during the Low Cycle Fatigue of UNS S32750 Duplex Stainless Steel
Abstract
1. Introduction
2. Experimental Materials and Methods
2.1. Preparation of Test Steel
2.2. Tensile and Fatigue Testing
2.3. Microstructure Observation and Microscopic Characterization
3. Result
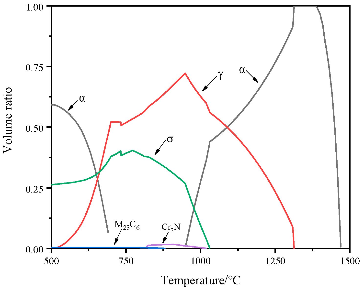
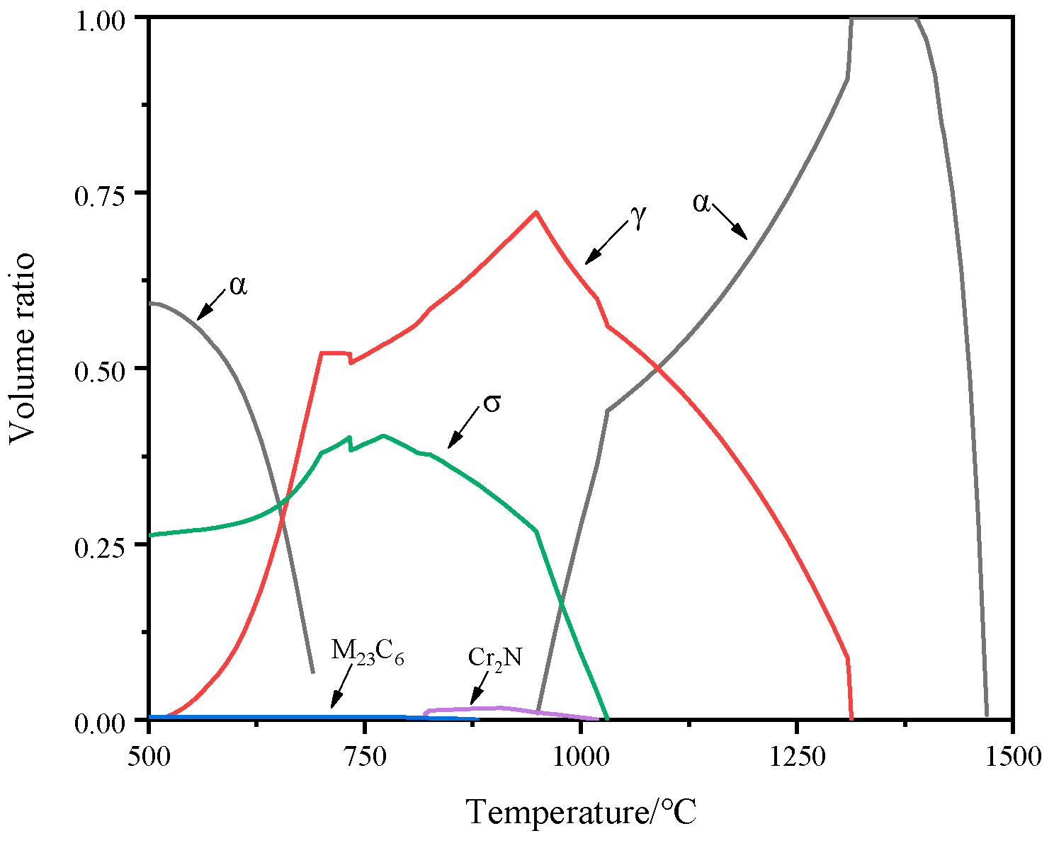
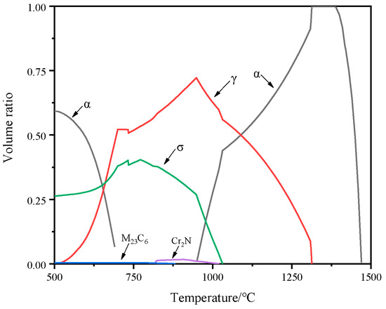
3.1. Phase Ratio and Grain Size
3.2. Fatigue Crack Source and Fracture Morphology
3.3. Change in Two Phases of Microhardness under Different Cycles
4. Discussion
4.1. Evolution Rule of Two-Phase KAM in the Cyclic Process
4.2. Relationship between Dislocation Structure and the Number of Cycles
4.3. Fatigue Crack Initiation Process
5. Conclusions and Prospects
- (1)
- Based on the microhardness test results, in the first 2000 cycles, the microhardness of the two phases of S32750 duplex stainless steel is slightly increased. When the number of cycles increased to 4000 times, the microhardness of ferrite increased significantly, indicating that a large amount of plastic deformation was accumulated in ferritic grains. When a sample faces fatigue fracture, the microhardness of ferrite and austenite increased by 23 and 87, respectively, and the strain-hardening rate of austenite was much higher than that of ferrite.
- (2)
- After 9387 cycles, fatigue fracture occurred. Near the fracture, the austenite grains are more likely to be fragmented, and the phase boundaries are also easy to form gaps. Therefore, microcracks easily initiate in austenite grains and phase boundaries. After fatigue fracture, ferrite grains tend to form a <111>∥RD texture, and austenite tends to form a <101>∥RD texture.
- (3)
- With the increase in cycle numbers, the development of a dislocation morphology in ferrite and austenite shows different trends. The initial dislocation beam and dislocation array in ferrite gradually change into a sub-grain boundary structure. The initial dipole array in austenite gradually deforms and tangles, and finally forms a regular network Taylor lattice structure.
Author Contributions
Funding
Data Availability Statement
Conflicts of Interest
References
- Francis, R.; Byrne, G. Duplex Stainless Steels—Alloys for the 21st Century. Metals 2021, 11, 836. [Google Scholar] [CrossRef]
- Jing, Q.; Fang, X. Application of Stainless Steel Reinforcements in the Hong Kong-Zhuhai-Macao Bridge. In Proceedings of the 2016 International Conference on Architectural Engineering and Civil Engineering, Shanghai, China, 9–11 December 2016. [Google Scholar]
- Sun, Z. Research and Development Progress of Super Duplex Stainless Steel in China. In Proceedings of the Third China Iron and Steel Annual Conference Papers-Conference Invited Report & Sub-Conference Invited Report, Online, China, 23–24 November 2022; Volume 71. [Google Scholar]
- Han, F.; Xiaoyu, Z.; Hu, L.; Zhigang, S. Development status and trend of super duplex stainless steel. J. Iron Steel Res. 2015, 27, 1–5. [Google Scholar]
- Norimitsu, K.; Tatsuya, N.; Osamu, U.; Valentin, T.; Klaus-Peter, W. Tensile properties and deformation behavior of ferrite and austenite duplex stainless steel at cryogenic temperature. Mater. Sci. Eng. A 2020, 801, 140442. [Google Scholar]
- Moura, A.N.D.; Neto, C.A.R.; Castro, N.A.; Vieira, E.A.; Orlando, M.T.D. Microstructure, crystallographic texture and strain hardening behavior in hot tensile tests of UNS S32304 Lean Duplex stainless steel. J. Mater. Res. Technol. 2021, 12, 1065–1079. [Google Scholar] [CrossRef]
- Abboud, A.; AlHassan, A.; Dönges, B.; Micha, J.S.; Hartmann, R.; Strüder, L.; Christ, H.-J.; Pietsch, U. VHCF damage in duplex stainless steel revealed by microbeam energy-dispersive X-ray Laue diffraction. Int. J. Fatigue 2021, 151, 106358. [Google Scholar] [CrossRef]
- Zhang, W.; Song, M.; Jiang, W.; Sun, G.; Shan, G.; Chen, M.; Bai, Y. Fatigue failure mechanism of 2205 duplex stainless steel using the neutron diffraction and EBSD technologies. Int. J. Fatigue 2022, 159, 106828. [Google Scholar] [CrossRef]
- Polák, J.; Petráš, R.; Heczko, M.; Kuběna, I.; Kruml, T.; Chai, G. Low cycle fatigue behavior of Sanicro25 steel at room and at elevated temperature. Mater. Sci. Eng. A 2014, 615, 175–182. [Google Scholar] [CrossRef]
- Heczko, M.; Polák, J.; Kruml, T. Microstructure and dislocation arrangements in Sanicro 25 steel fatigued at ambient and elevated temperatures. Mater. Sci. Eng. A 2016, 680, 168–181. [Google Scholar] [CrossRef]
- Zhu, M.W.; Jia, N.; Shi, F.; Clausen, B. Neutron Diffraction Study of Low-Cycle Fatigue Behavior in an Austenitic-Ferritic Stainless Steel. Acta Metall. Sin. (Engl. Lett.) 2015, 28, 1247–1256. [Google Scholar] [CrossRef]
- Dönges, B.; Giertler, A.; Krupp, U.; Fritzen, C.-P.; Christ, H.-J. Significance of crystallographic misorientation at phase boundaries for fatigue crack initiation in a duplex stainless steel during high and very high cycle fatigue loading. Mater. Sci. Eng. A 2014, 589, 146–152. [Google Scholar] [CrossRef]
- Fu, H.; Dönges, B.; Krupp, U.; Pietsch, U.; Fritzen, C.-P.; Yun, X.; Christ, H.-J. Microcrack initiation mechanism of a duplex stainless steel under very high cycle fatigue loading condition: The significance of load partitioning and micro residual stresses. Acta Mater. 2020, 199, 278–287. [Google Scholar] [CrossRef]
- Yu, H.; Yan, Y.; Liu, X.; Tang, Z.; Wu, G. Analysis of Composition, Properties and Precipitates of Duplex Stainless Steel. Spec. Steel 2019, 40, 53–58. [Google Scholar]
- GB/T 228.1-2021; Tensile Tests for Metallic Materials—Part 1: Test Method at Room Temperature. Standards Press of China: Beijing, China, 2021.
- GB/T 3075-2021; Axial Force Control Method for Fatigue Test of Metal Materials. Standards Press of China: Beijing, China, 2021.
- Li, S.X. Effects of inclusions on very high cycle fatigue properties of high strength steels. Int. Mater. Rev. 2012, 57, 92–114. [Google Scholar] [CrossRef]
- Totten, G. Fatigue crack propagation. Adv. Mater. Process. 2008, 166, 39–41. [Google Scholar]
- Tofique, M.W.; Bergström, J.; Svensson, K.; Johansson, S.; Peng, R.L. ECCI/EBSD and TEM analysis of plastic fatigue damage accumulation responsible for fatigue crack initiation and propagation in VHCF of duplex stainless steels. Int. J. Fatigue 2017, 100 Pt 1, 251–262. [Google Scholar] [CrossRef]
- Degallaix, S.; Seddouki, A.; Degallaix, G.; Kruml, T.; Polák, J. Fatigue damage in austenitic-ferritic duplex stainless steels. Fatigue Fract. Eng. Mater. Struct. 1995, 18, 65–77. [Google Scholar] [CrossRef]
- Strubbia, R.; Hereñú, S.; Giertler, A.; Alvarez-Armas, I.; Krupp, U. Experimental characterization of short crack nucleation and growth during cycling in lean duplex stainless steels. Int. J. Fatigue 2013, 65, 58–63. [Google Scholar] [CrossRef]
- Soares, G.C.; Queiroz, R.R.U.; Santos, L.A. Effects of Dynamic Strain Aging on Strain Hardening Behavior, Dislocation Substructure, and Fracture Morphology in a Ferritic Stainless Steel. Metall. Mater. Trans. A 2020, 51, 725–739. [Google Scholar] [CrossRef]
- Kim, B.K.; Kim, D.I.; Choi, I.S.; Jung, W.S.; Kwun, S.I. High temperature low cycle fatigue properties of 24Cr ferritic stainless steel for SOFC applications. Mater. Sci. Eng. A 2013, 57, 81–86. [Google Scholar] [CrossRef]
- Li, P.; Li, S.X.; Wang, Z.G.; Zhang, Z.F. Unified factor controlling the dislocation evolution of fatigued face-centered cubic crystals. Acta Mater. 2017, 129, 98–111. [Google Scholar] [CrossRef]
- Peter, R. Dislocation patterning and bunching in crystals and epitaxial layers—A review. Cryst. Res. Technol. 2017, 52, 1600171. [Google Scholar]












| C | Si | Mn | P | S | Cr | Ni | Cu | Mo | N | O |
|---|---|---|---|---|---|---|---|---|---|---|
| 0.021 | 0.37 | 0.68 | 0.019 | <0.0004 | 25.54 | 6.28 | 0.15 | 3.90 | 0.28 | 0.0022 |
| Number | Maximum Stress/MPa | Stress Ratio (R) | Frequency/Hz | Cycle Number |
|---|---|---|---|---|
| 1 | 600 | −1 | 1 | 2000 |
| 2 | 600 | −1 | 1 | 4000 |
| 3 | 600 | −1 | 1 | 6000 |
| 4 | 600 | −1 | 1 | 8000 |
| 5 | 600 | −1 | 1 | 9387 |
Disclaimer/Publisher’s Note: The statements, opinions and data contained in all publications are solely those of the individual author(s) and contributor(s) and not of MDPI and/or the editor(s). MDPI and/or the editor(s) disclaim responsibility for any injury to people or property resulting from any ideas, methods, instructions or products referred to in the content. |
© 2024 by the authors. Licensee MDPI, Basel, Switzerland. This article is an open access article distributed under the terms and conditions of the Creative Commons Attribution (CC BY) license (https://creativecommons.org/licenses/by/4.0/).
Share and Cite
Bao, S.; Feng, H.; Song, Z.; He, J.; Wu, X.; Gu, Y. Study on the Deformation Behavior of Two Phases during the Low Cycle Fatigue of UNS S32750 Duplex Stainless Steel. Materials 2024, 17, 3390. https://doi.org/10.3390/ma17143390
Bao S, Feng H, Song Z, He J, Wu X, Gu Y. Study on the Deformation Behavior of Two Phases during the Low Cycle Fatigue of UNS S32750 Duplex Stainless Steel. Materials. 2024; 17(14):3390. https://doi.org/10.3390/ma17143390
Chicago/Turabian StyleBao, Shun, Han Feng, Zhigang Song, Jianguo He, Xiaohan Wu, and Yang Gu. 2024. "Study on the Deformation Behavior of Two Phases during the Low Cycle Fatigue of UNS S32750 Duplex Stainless Steel" Materials 17, no. 14: 3390. https://doi.org/10.3390/ma17143390
APA StyleBao, S., Feng, H., Song, Z., He, J., Wu, X., & Gu, Y. (2024). Study on the Deformation Behavior of Two Phases during the Low Cycle Fatigue of UNS S32750 Duplex Stainless Steel. Materials, 17(14), 3390. https://doi.org/10.3390/ma17143390

