The Rejuvenation Effect of Bio-Oils on Long-Term Aged Asphalt
Abstract
1. Introduction
2. Materials and Methods
2.1. Asphalts and Rejuvenators
2.2. Rejuvenator Evaluations
2.2.1. Asphalt Aging and Rejuvenation Tests
2.2.2. Physical Property Tests
2.2.3. Rheological Property Tests
2.2.4. Chemical Property Tests
3. Results and Discussion
3.1. Physical Properties
3.2. Rheological Properties
3.2.1. Effect of Aging on the Rheological Properties
3.2.2. Effect of Rejuvenator Dosages on Rheological Properties
3.2.3. Effect of Types of Rejuvenators on Rheological Properties
3.3. Chemical Properties
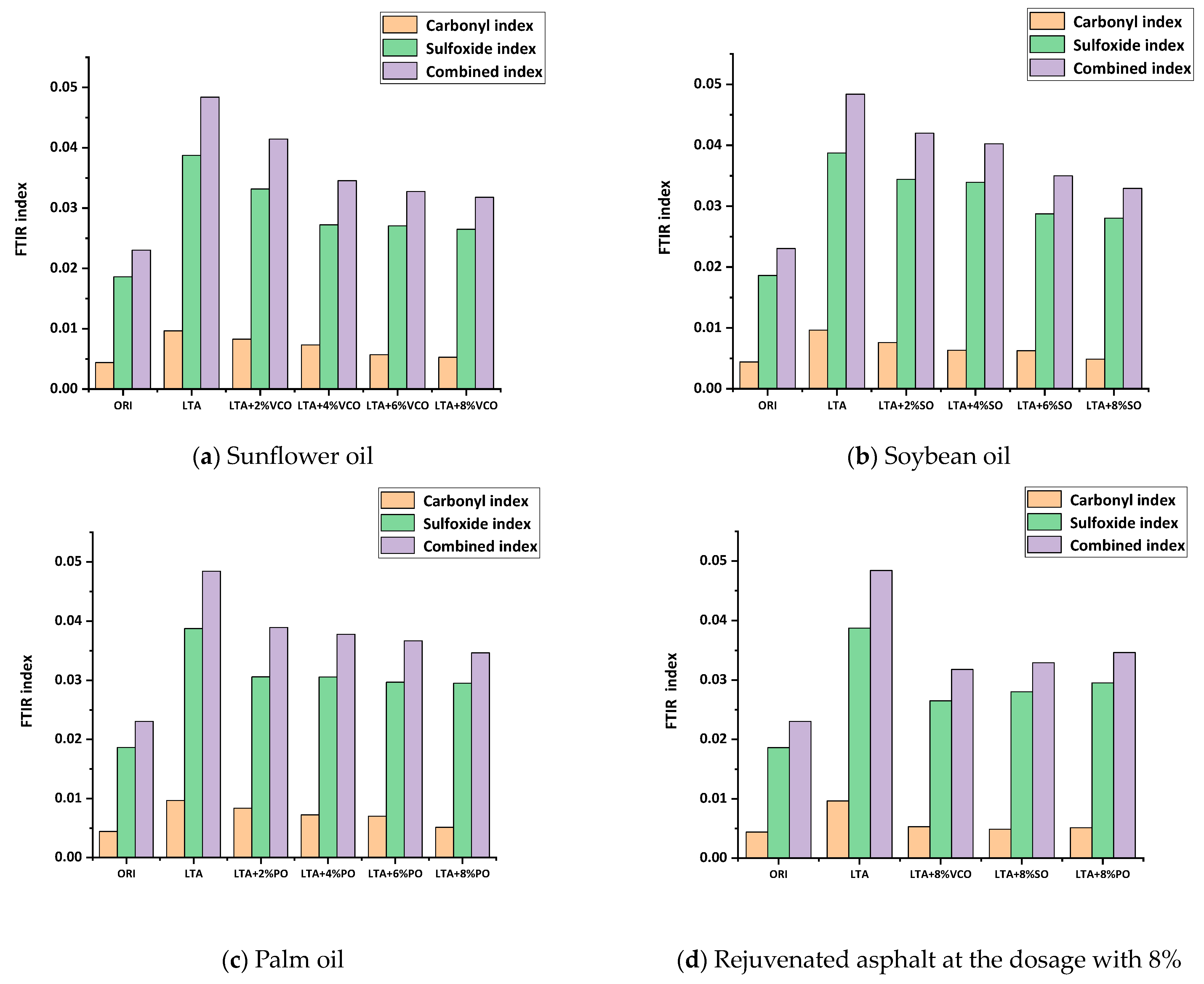
3.3.1. Effect of Aging on the Chemical Composition
3.3.2. Effect of Dosages and Types of Rejuvenators on the Chemical Composition
4. Conclusions
- The aging of PEN70 virgin asphalt decreases the penetration and increases the softening point, while the viscous component decreases and the elastic component increases, leading to a decrease in the phase angle and an increase in the complex shear modulus, and the rutting resistance becomes better. The presence of oxidized molecules in asphalt leads to an increase in carbonyl (C=O) and sulphinyl (S=O) groups.
- The results of the asphalt physical properties test show that the addition of the three bio-oil rejuvenators can soften the long-term aged asphalt and restore the penetration and softening point of aged asphalt, and the rejuvenation efficiency of the three bio-oils on the physical properties of aged asphalt is decreased as VCO, SO and PO. When the content reaches 8%, the physical properties of the aged asphalt can be roughly rejuvenated to a level close to the virgin asphalt. Therefore, considering both economic benefits and rejuvenation efficiency, the optimal dosages of the three bio-oils are determined to be 8%.
- DSR test results show that with the increase in the three bio-oils, the complex shear modulus and rutting parameter of the aged asphalt decrease, and the phase angle increases, indicating that the three bio-oils rejuvenate the rheological properties of the aged asphalt to a certain degree, but it is not conducive to the high-temperature stability of the asphalt.
- Comparing the rejuvenation efficiency of the three oils on the complex shear modulus of aged asphalt, in the low-temperature region it is decreased as VCO, SO and PO, while the rejuvenation efficiency of the complex shear modulus of aged asphalt is decreased as VCO, PO and SO in the high-temperature region. There is always a sequential decrease in VCO, PO and SO when recovering the phase angle of aged asphalt. The rejuvenation efficiency of VCO on the antirutting performance of aged asphalt is more obvious than that of SO and PO. In the low-temperature zone, the rejuvenation of SO on the antirutting performance of aged asphalt is greater than that of PO, while the opposite is true in the high-temperature region.
- The FTIR results show that the carbonyl index and sulfoxide index of aged asphalt decrease with an increase in the three bio-oils, indicating that the three bio-oils can improve the effect of aging on asphalt. In addition, the efficiency of the three bio-oils in rejuvenating the chemical composition at the optimum dosage decreases sequentially from VCO, SO and PO.
- Based on the above conclusions, it is obvious that the rejuvenation efficiency of VCO on the physical properties, rheological properties and chemical components of aged asphalt is better than that of SO and PO, so VCO is more suitable to be a bio-oil rejuvenator.
- Future research should pay more attention to the antiaging performance of rejuvenated asphalt and the green, sustainable, intelligent and automated production of bio-oil rejuvenators, so as to provide a basis for the comprehensive evaluation of bio-oil rejuvenators.
Author Contributions
Funding
Institutional Review Board Statement
Informed Consent Statement
Data Availability Statement
Acknowledgments
Conflicts of Interest
References
- Yan, K.; He, W.; Chen, M.; Liu, W.J.C.; Materials, B. Laboratory investigation of waste tire rubber and amorphous poly alpha olefin modified asphalt. Constr. Build. Mater. 2016, 129, 256–265. [Google Scholar] [CrossRef]
- Pei, Z.; Xu, M.; Cao, J.; Feng, D.; Hu, W.; Ren, J.; Jing, R.; Yi, J. Analysis of the microcharacteristics of different kinds of asphalt based on different aging conditions. Mater. Struct. 2022, 55, 250. [Google Scholar] [CrossRef]
- Zeng, W.; Wu, S.; Pang, L.; Chen, H.; Hu, J.; Sun, Y.; Chen, Z. Research on Ultra Violet (UV) aging depth of asphalts. Constr. Build. Mater. 2018, 160, 620–627. [Google Scholar] [CrossRef]
- Miro, R.; Martinez, A.H.; Moreno-Navarro, F.; del Carmen Rubio-Gamez, M. Effect of of ageing and temperature on the fatigue behaviour of bitumens. Mater. Des. 2015, 86, 129–137. [Google Scholar] [CrossRef]
- Zhang, L.; Cui, Y.; Xing, C.; Shan, M.; Gao, F. Diffusion Influence Mechanism of Virgin and Aged Asphalt Binder System Based on Molecular Dynamics. J. Transp. Eng. Part B Pavements 2024, 150, 04024022. [Google Scholar] [CrossRef]
- Sun, G.; Li, B.; Sun, D.; Zhang, J.; Wang, C.; Zhu, X. Roles of aging and bio-oil regeneration on self-healing evolution behavior of asphalts within wide temperature range. J. Clean. Prod. 2021, 329, 129712. [Google Scholar] [CrossRef]
- Lv, S.; Liu, J.; Peng, X.; Liu, H.; Hu, L.; Yuan, J.; Wang, J. Rheological and microscopic characteristics of bio-oil recycled asphalt. J. Clean. Prod. 2021, 295, 126449. [Google Scholar] [CrossRef]
- Jiang, Y.; Chen, X.; Xu, T. Development of sustainable compound bio-oil rejuvenator and its rejuvenation mechanism on long-term aged asphalt. J. Clean. Prod. 2023, 429, 139440. [Google Scholar] [CrossRef]
- Zhao, W.; Li, X.; Feng, Z. Infrared spectrum analysis of aged asphalt regenerated by recycled engine oil bottom. Math. Probl. Eng. 2022, 2022, 2224094. [Google Scholar] [CrossRef]
- Moghaddam, T.B.; Baaj, H. The use of rejuvenating agents in production of recycled hot mix asphalt: A systematic review. Constr. Build. Mater. 2016, 114, 805–816. [Google Scholar] [CrossRef]
- El-Shorbagy, A.M.; El-Badawy, S.M.; Gabr, A.R. Investigation of waste oils as rejuvenators of aged bitumen for sustainable pavement. Constr. Build. Mater. 2019, 220, 228–237. [Google Scholar] [CrossRef]
- Zhang, R.; Wang, H.; You, Z.; Jiang, X.; Yang, X. Optimization of bio-asphalt using bio-oil and distilled water. J. Clean. Prod. 2017, 165, 281–289. [Google Scholar] [CrossRef]
- Zhang, R.; You, Z.; Wang, H.; Ye, M.; Yap, Y.K.; Si, C. The impact of bio-oil as rejuvenator for aged asphalt binder. Constr. Build. Mater. 2019, 196, 134–143. [Google Scholar] [CrossRef]
- Guo, M.; Liang, M.; Liu, H.; Du, X. Optimization and validation of waste bio-oil based high-performance rejuvenator for rejuvenating aged bitumen. Mater. Struct. 2023, 56, 99. [Google Scholar] [CrossRef]
- Yan, S.; Dong, Q.; Chen, X.; Zhou, C.; Dong, S.; Gu, X. Application of waste oil in asphalt rejuvenation and modification: A comprehensive review. Constr. Build. Mater. 2022, 340, 127784. [Google Scholar] [CrossRef]
- Fang, Y.; Zhang, Z.; Yang, J.; Li, X. Comprehensive review on the application of bio-rejuvenator in the regeneration of waste asphalt materials. Constr. Build. Mater. 2021, 295, 123631. [Google Scholar] [CrossRef]
- Yan, K.; Peng, Y.; You, L. Use of tung oil as a rejuvenating agent in aged asphalt: Laboratory evaluations. Constr. Build. Mater. 2020, 239, 117783. [Google Scholar] [CrossRef]
- Ahmad, K.A.; Abdullah, M.E.; Hassan, N.A.; Usman, N.; Ambak, K. Investigating the feasibility of using jatropha curcas oil (JCO) as bio based rejuvenator in reclaimed asphalt pavement (RAP). MATEC Web of Conferences. Edp Sci. 2017, 103, 09013. [Google Scholar]
- Samieadel, A.; Rajib, A.I.; Dandamudi, K.P.R.; Deng, S.; Fini, E.H. Improving recycled asphalt using sustainable hybrid rejuvenators with enhanced intercalation into oxidized asphaltenes nanoaggregates. Constr. Build. Mater. 2020, 262, 120090. [Google Scholar] [CrossRef]
- Gong, M.; Yang, J.; Zhang, J.; Zhu, H.; Tong, T. Physical-chemical properties of aged asphalt rejuvenated by bio-oil derived from biodiesel residue. Constr. Build. Mater. 2016, 105, 35–45. [Google Scholar] [CrossRef]
- Yang, X.; You, Z.; Dai, Q.; Mills-Beale, J. Mechanical performance of asphalt mixtures modified by bio-oils derived from waste wood resources. Constr. Build. Mater. 2014, 51, 424–431. [Google Scholar] [CrossRef]
- Lu, D.; Jiang, X.; Tan, Z.; Yin, B.; Leng, Z.; Zhong, J.J.C.M. Enhancing sustainability in pavement Engineering: A-state-of-the-art review of cement asphalt emulsion mixtures. Clean. Mater. 2023, 9, 100204. [Google Scholar] [CrossRef]
- Ingrassia, L.P.; Cardone, F.; Canestrari, F.; Lu, X. Experimental investigation on the bond strength between sustainable road bio-binders and aggregate substrates. Mater. Struct. 2019, 52, 1–14. [Google Scholar] [CrossRef]
- Ingrassia, L.P.; Lu, X.; Ferrotti, G.; Conti, C.; Canestrari, F. Investigating the "circular propensity" of road bio-binders: Effectiveness in hot recycling of reclaimed asphalt and recyclability potential. J. Clean. Prod. 2020, 255, 120193. [Google Scholar] [CrossRef]
- Tarar, M.A.; Khan, A.H.; Ur Rehman, Z.; Qamar, S.; Akhtar, M.N. Compatibility of sunflower oil with asphalt binders: A way toward materials derived from renewable resources. Mater. Struct. 2020, 53, 1–15. [Google Scholar] [CrossRef]
- Sukiran, M.A.; Abnisa, F.; Daud, W.M.A.W.; Abu Bakar, N.; Loh, S.K. A review of torrefaction of oil palm solid wastes for biofuel production. Energy Convers. Manag. 2017, 149, 101–120. [Google Scholar] [CrossRef]
- Ma, W.; Rokayya, S.; Xu, L.; Sui, X.; Jiang, L.; Li, Y. Physical-Chemical Properties of Edible Film Made from Soybean Residue and Citric Acid. J. Chem. 2018, 2018, 4026831. [Google Scholar] [CrossRef]
- Shirzad, S.; Hassan, M.M.; Aguirre, M.A.; Mohammad, L.N.; Daly, W.H. Evaluation of Sunflower Oil as a Rejuvenator and Its Microencapsulation as a Healing Agent. J. Mater. Civ. Eng. 2016, 28, 04016116. [Google Scholar] [CrossRef]
- Rafiq, W.; Napiah, M.; Habib, N.Z.; Sutanto, M.H.; Alaloul, W.S.; Khan, M.I.; Musarat, M.A.; Memon, A.M. Modeling and design optimization of reclaimed asphalt pavement containing crude palm oil using response surface methodology. Constr. Build. Mater. 2021, 291, 123288. [Google Scholar] [CrossRef]
- Elkashef, M.; Williams, R.C.; Cochran, E.W. Physical and chemical characterization of rejuvenated reclaimed asphalt pavement (RAP) binders using rheology testing and pyrolysis gas chromatography-mass spectrometry. Mater. Struct. 2018, 51, 1–9. [Google Scholar] [CrossRef]
- ASTM D2872-22; Standard Test Method for Effect of Heat and Air on a Moving Film of Asphalt (Rolling Thin-Film Oven Test). Annual Book of ASTM Standards; ASTM International: West Conshohocken, PA, USA, 2012.
- ASTM D6521-22; Standard Practice for Accelerated Aging of Asphalt Binder Using a Pressurized Aging Vessel (PAV). ASTM International: West Conshohocken, PA, USA, 2009.
- ASTM D5-06; Standard Test Method for Penetration of Bituminous Materials. ASTM International: West Conshohocken, PA, USA, 2013.
- ASTM D36-06; Standard Test Method for Softening Point of Bitumen (Ring-and-Ball Apparatus). ASTM International: West Conshohocken, PA, USA, 2010.
- Liu, Z.; Li, S.; Wang, Y. Characteristics of asphalt modified by waste engine oil/polyphosphoric acid: Conventional, high-temperature rheological, and mechanism properties. J. Clean. Prod. 2022, 330, 129844. [Google Scholar] [CrossRef]
- Ma, Y.; Polaczyk, P.; Hu, W.; Zhang, M.; Huang, B. Quantifying the effective mobilized RAP content during hot in-place recycling techniques. J. Clean. Prod. 2021, 314, 127953. [Google Scholar] [CrossRef]
- Zhao, X.; Wang, S.; Wang, Q.; Yao, H. Rheological and structural evolution of SBS modified asphalts under natural weathering. Fuel 2016, 184, 242–247. [Google Scholar] [CrossRef]
- Lamontagne, J.; Dumas, P.; Mouillet, V.; Kister, J. Comparison by Fourier transform infrared (FTIR) spectroscopy of different ageing techniques: Application to road bitumens. Fuel 2001, 80, 483–488. [Google Scholar] [CrossRef]
- Wan, G.; Chen, M.; Wu, S.; Zhang, D.; Liu, J.; Liu, S. Physical and chemical properties of rejuvenating aged binder with waste cooking oil and its bioasphalt. In Advances in Energy and Environmental Materials: Proceedings of Chinese Materials Conference 2017 18th; Springer: Singapore, 2018; pp. 591–606. [Google Scholar]
- Li, P.; Ding, Z.; Ma, L.X.; Feng, Z.G. Analysis of viscous flow properties of asphalt in aging process. Constr. Build. Mater. 2016, 124, 631–638. [Google Scholar] [CrossRef]
- Wang, J.; Lv, S.; Liu, J.; Peng, X.; Lu, W.; Wang, Z.; Xie, N. Performance evaluation of aged asphalt rejuvenated with various bio-oils based on rheological property index. J. Clean. Prod. 2023, 385, 135593. [Google Scholar] [CrossRef]
- Zhou, T.; Cao, L.; Fini, E.H.; Li, L.; Liu, Z.; Dong, Z. Behaviors of asphalt under certain aging levels and effects of rejuvenation. Constr. Build. Mater. 2020, 249, 118748. [Google Scholar] [CrossRef]
- Li, B.; Qiu, K.; Li, Z.; Li, X.; Wang, Y. Diffusion Characteristics and Mechanism of Waste Cooking Oil Rejuvenator in Ultraviolet Aged Asphalt Using Multi-Scale Evaluation Method. J. Test. Eval. 2022, 50, 1794–1813. [Google Scholar] [CrossRef]











| Property | Unit | Specification | Measured | Standard |
|---|---|---|---|---|
| Penetration at 25 °C | 0.1 mm | 60–80 | 69.2 | ASTM-D5 [33] |
| Softening point | °C | ≥45 | 46.5 | ASTM-D36 [34] |
| Temperature (°C) | ORI | LTA | LTA + 8VCO | LTA + 8SO | LTA + 8PO |
|---|---|---|---|---|---|
| 30 | 5.35 | 6.07 | 5.22 | 5.33 | 5.34 |
| 40 | 4.83 | 5.74 | 4.74 | 4.88 | 4.89 |
| 50 | 4.28 | 5.21 | 4.28 | 4.45 | 4.44 |
| 60 | 3.65 | 4.61 | 3.72 | 3.91 | 3.87 |
| 70 | 3.08 | 4.01 | 3.19 | 3.38 | 3.33 |
| 80 | 2.56 | 3.45 | 2.70 | 2.87 | 2.81 |
| Temperature (°C) | ORI | LTA | LTA + 8VCO | LTA + 8SO | LTA + 8PO |
|---|---|---|---|---|---|
| 30 | 73.52 | 54.73 | 64.89 | 61.55 | 63.05 |
| 40 | 76.23 | 61.80 | 68.28 | 64.72 | 66.75 |
| 50 | 78.88 | 66.60 | 71.38 | 67.32 | 69.91 |
| 60 | 81.90 | 70.94 | 75.71 | 71.44 | 74.62 |
| 70 | 84.77 | 76.01 | 80.11 | 76.43 | 79.44 |
| 80 | 86.91 | 80.82 | 84.10 | 81.47 | 83.60 |
| Temperature (°C) | ORI | LTA | LTA + 8VCO | LTA + 8SO | LTA + 8PO |
|---|---|---|---|---|---|
| 30 | 232,000 | 1,260,000 | 182,000 | 251,000 | 264,000 |
| 40 | 70,110 | 624,000 | 58,765 | 84,107 | 85,104 |
| 50 | 19,601 | 178,000 | 20,165 | 30,341 | 29,226 |
| 60 | 4505 | 43,113 | 5465 | 8576 | 7739 |
| 70 | 1216 | 10,633 | 1590 | 2495 | 2156 |
| 80 | 366 | 2861 | 497 | 745 | 643 |
Disclaimer/Publisher’s Note: The statements, opinions and data contained in all publications are solely those of the individual author(s) and contributor(s) and not of MDPI and/or the editor(s). MDPI and/or the editor(s) disclaim responsibility for any injury to people or property resulting from any ideas, methods, instructions or products referred to in the content. |
© 2024 by the authors. Licensee MDPI, Basel, Switzerland. This article is an open access article distributed under the terms and conditions of the Creative Commons Attribution (CC BY) license (https://creativecommons.org/licenses/by/4.0/).
Share and Cite
Wang, J.; Xu, S.; Zhu, S.; Tian, Q.; Yang, X.; Pipintakos, G.; Ren, S.; Wu, S. The Rejuvenation Effect of Bio-Oils on Long-Term Aged Asphalt. Materials 2024, 17, 3316. https://doi.org/10.3390/ma17133316
Wang J, Xu S, Zhu S, Tian Q, Yang X, Pipintakos G, Ren S, Wu S. The Rejuvenation Effect of Bio-Oils on Long-Term Aged Asphalt. Materials. 2024; 17(13):3316. https://doi.org/10.3390/ma17133316
Chicago/Turabian StyleWang, Jintao, Shi Xu, Sifan Zhu, Qin Tian, Xinkui Yang, Georgios Pipintakos, Shisong Ren, and Shaopeng Wu. 2024. "The Rejuvenation Effect of Bio-Oils on Long-Term Aged Asphalt" Materials 17, no. 13: 3316. https://doi.org/10.3390/ma17133316
APA StyleWang, J., Xu, S., Zhu, S., Tian, Q., Yang, X., Pipintakos, G., Ren, S., & Wu, S. (2024). The Rejuvenation Effect of Bio-Oils on Long-Term Aged Asphalt. Materials, 17(13), 3316. https://doi.org/10.3390/ma17133316

