Effects of Calcination Temperature on the Synthesis of One-Pot Sol-Gelled Barium Titanate Powder and Its Performance as an Endodontic Radiopacifier
Abstract
1. Introduction
2. Materials and Methods
2.1. One-Pot Sol-Gelled Barium Titanate Synthesis, Calcination, and Characterization
2.2. Preparation and Evaluation of BTO-Added MTA-like Cements
2.3. In Vitro Biocompatibility of Optimal BTO-Added Cements
2.4. Statistical Analysis
3. Results and Discussion
3.1. Characterization of Sol-Gelled Barium Titanate Powders
3.2. Performance of MTA-like Cements Prepared Using Sol-Gelled BaTiO3
3.3. Biocompatibility Evaluation of Optimal MTA-like Cement
4. Conclusions
Author Contributions
Funding
Institutional Review Board Statement
Informed Consent Statement
Data Availability Statement
Conflicts of Interest
References
- Buscaglia, V.; Randall, C.A. Size and scaling effects in barium titanate. An overview. J. Eur. Ceram. Soc. 2020, 40, 3744–3758. [Google Scholar] [CrossRef]
- Acosta, M.; Novak, N.; Rojas, V.; Patel, S.; Vaish, R.; Koruza, J.; Rossetti, G.; Rödel, J. BaTiO3-based piezoelectrics: Fundamentals, current status, and perspectives. Appl. Phys. Rev. 2017, 4, 041305. [Google Scholar] [CrossRef]
- Jiang, B.; Iocozzia, J.; Zhao, L.; Zhang, H.; Harn, Y.-W.; Chen, Y.; Lin, Z. Barium titanate at the nanoscale: Controlled synthesis and dielectric and ferroelectric properties. Chem. Soc. Rev. 2019, 48, 1194–1228. [Google Scholar] [CrossRef] [PubMed]
- Candito, M.; Simoni, E.; Gentilin, E.; Martini, A.; Marioni, G.; Danti, S.; Astolfi, L. Neuron compatibility and antioxidant activity of barium titanate and lithium niobate nanoparticles. Int. J. Mol. Sci. 2022, 23, 1761. [Google Scholar] [CrossRef] [PubMed]
- Khalil, A.K.; Fouad, H.; Abdal-hay, A.; Abd El-salam, N.M.; Abdelrazek Khalil, K. Fabrication and Characterization of Piezoelectric PEO/SF/BaTiO3 Scaffolds for Cardiac Tissue Engineering. J. Compos. Sci. 2023, 7, 200. [Google Scholar] [CrossRef]
- Wu, T.; Ji, X.; Zhang, Z.; Wang, S.; Zhou, J.; Meng, L.; Liu, X.; Yu, H.; Gong, T.; Liu, Y. The effects of BaTiO3 on the handleability and mechanical strength of the prepared piezoelectric calcium phosphate silicate for bone tissue engineering. Ceram. Int. 2023, 49, 19746–19752. [Google Scholar] [CrossRef]
- Pavlović, V.P.; Stojanović, B.D.; Pavlović, V.B.; Marinković-Stanojević, Z.; Živković, L.; Ristić, M.M. Synthesis of BaTiO3 from a mechanically activated BaCO3-TiO2 system. Sci. Sinter. 2008, 40, 21–26. [Google Scholar] [CrossRef]
- Othman, K.I.; Hassan, A.A.; Abdelal, O.A.; Elshazly, E.S.; Ali, M.E.-S.; El-Raghy, S.; El-Houte, S. Formation mechanism of barium titanate by solid-state reactions. Int. J. Sci. Eng. Res. 2014, 5, 1460–1465. [Google Scholar]
- Zhu, Y.; Ma, B.; Wang, K.; Sun, Z.; Ren, K.; Wang, Y. Electric field-assisted solid-state reaction of BaCO3-TiO2 system. J. Am. Ceram. Soc. 2021, 104, 6572–6578. [Google Scholar] [CrossRef]
- Kudłacik-Kramarczyk, S.; Drabczyk, A.; Głąb, M.; Dulian, P.; Bogucki, R.; Miernik, K.; Sobczak-Kupiec, A.; Tyliszczak, B. Mechanochemical synthesis of BaTiO3 powders and evaluation of their acrylic dispersions. Materials 2020, 13, 3275. [Google Scholar] [CrossRef]
- Hu, Z.; Dong, W.; Dong, Z.; Li, P.; Bao, Q.; Cao, T. Facile fabrication of tetragonal phase single-crystalline BaTiO3 terrace-like dendrite by a simple solvothermal method and its piezocatalytic properties. Mater. Chem. Phys. 2023, 293, 126911. [Google Scholar] [CrossRef]
- Surmenev, R.; Chernozem, R.; Skirtach, A.; Bekareva, A.; Leonova, L.; Mathur, S.; Ivanov, Y.F.; Surmeneva, M. Hydrothermal synthesis of barium titanate nano/microrods and particle agglomerates using a sodium titanate precursor. Ceram. Int. 2021, 47, 8904–8914. [Google Scholar] [CrossRef]
- Zhang, X.; Yue, J.; Zhao, Y.; Yan, Z.; Zhu, G.; Liu, L.; Xu, H.; Yu, A. Synthesis of tetragonal BaTiO3 nano-particle via a novel tartaric acid co-precipitation process. Ceram. Int. 2021, 47, 7263–7267. [Google Scholar] [CrossRef]
- Navas, D.; Fuentes, S.; Castro-Alvarez, A.; Chavez-Angel, E. Review on sol-gel synthesis of perovskite and oxide nanomaterials. Gels 2021, 7, 275. [Google Scholar] [CrossRef] [PubMed]
- Mi, L.; Zhang, Q.; Wang, H.; Wu, Z.; Guo, Y.; Li, Y.; Xiong, X.; Liu, K.; Fu, W.; Ma, Y. Synthesis of BaTiO3 nanoparticles by sol-gel assisted solid phase method and its formation mechanism and photocatalytic activity. Ceram. Int. 2020, 46, 10619–10633. [Google Scholar] [CrossRef]
- Okhay, O.; Tkach, A. Current Achievements in Flexible Piezoelectric Nanogenerators Based on Barium Titanate. Nanomaterials 2023, 13, 988. [Google Scholar] [CrossRef] [PubMed]
- Shariatinia, Z.; Karimzadeh, Z. Perovskite oxides as efficient bioactive inorganic materials in tissue engineering: A review. Mater. Today Chem. 2024, 35, 101846. [Google Scholar] [CrossRef]
- Sood, A.; Desseigne, M.; Dev, A.; Maurizi, L.; Kumar, A.; Millot, N.; Han, S.S. A Comprehensive Review on Barium Titanate Nanoparticles as a Persuasive Piezoelectric Material for Biomedical Applications: Prospects and Challenges. Small 2023, 19, e2206401. [Google Scholar] [CrossRef] [PubMed]
- Montoya, C.; Kurylec, J.; Baraniya, D.; Tripathi, A.; Puri, S.; Orrego, S. Antifungal Effect of Piezoelectric Charges on PMMA Dentures. ACS Biomater. Sci. Eng. 2021, 7, 4838–4846. [Google Scholar] [CrossRef]
- Choi, Y.; Hwang, Y.-C.; Yu, M.-K.; Lee, K.-W.; Min, K.-S. Effects of barium titanate on the dielectric constant, radiopacity, and biological properties of tricalcium silicate-based bioceramics. Dent. Mater. J. 2023, 42, 55–63. [Google Scholar] [CrossRef]
- Lin, H.-N.; Chen, W.-W.; Hsu, C.-C.; Chen, M.-S.; Chang, P.-J.; Chang, W.-M.; Zhang, F.-H.; Chen, C.-Y.; Lee, P.-Y.; Lin, C.-K. Endodontic Radiopacifying Application of Barium Titanate Prepared through a Combination of Mechanical Milling and Heat Treatment. Materials 2023, 16, 7270. [Google Scholar] [CrossRef] [PubMed]
- Chao, Y.C.; Chen, P.H.; Su, W.S.; Yeh, H.W.; Su, C.C.; Wu, Y.C.; Chiang, H.S.; Jhou, H.J.; Shieh, Y.S. Effectiveness of different root-end filling materials in modern surgical endodontic treatment: A systematic review and network meta-analysis. J. Dent. Sci. 2022, 17, 1731–1743. [Google Scholar] [CrossRef]
- Murray, P.E. Review of guidance for the selection of regenerative endodontics, apexogenesis, apexification, pulpotomy, and other endodontic treatments for immature permanent teeth. Int. Endod. J. 2023, 56, 188–199. [Google Scholar] [CrossRef] [PubMed]
- Sen, H.G.; Helvacioglu-Yigit, D.; Yilmaz, A. Radiopacity evaluation of calcium silicate cements. BMC Oral Health 2023, 23, 491. [Google Scholar] [CrossRef]
- Camilleri, J.; Sorrentino, F.; Damidot, D. Investigation of the hydration and bioactivity of radiopacified tricalcium silicate cement, Biodentine and MTA Angelus. Dent. Mater. 2013, 29, 580–593. [Google Scholar] [CrossRef]
- Oliveira, L.V.; da Silva, G.R.; Souza, G.L.; Magalhaes, T.E.A.; Barbosa, G.L.R.; Turrioni, A.P.; Moura, C.C.G. A laboratory evaluation of cell viability, radiopacity and tooth discoloration induced by regenerative endodontic materials. Int. Endod. J. 2020, 53, 1140–1152. [Google Scholar] [CrossRef] [PubMed]
- Lee, D.S.; Lim, M.J.; Choi, Y.; Rosa, V.; Hong, C.U.; Min, K.S. Tooth discoloration induced by a novel mineral trioxide aggregate-based root canal sealer. Eur. J. Dent. 2016, 10, 403–407. [Google Scholar] [CrossRef]
- Marciano, M.A.; Pelepenko, L.E.; Francati, T.M.; Antunes, T.B.M.; Janini, A.C.P.; Rohwedder, J.J.R.; Shelton, R.M.; Camilleri, J. Bismuth release from endodontic materials: In vivo analysis using Wistar rats. Sci. Rep. 2023, 13, 9738. [Google Scholar] [CrossRef]
- Zamparini, F.; Prati, C.; Taddei, P.; Spinelli, A.; Di Foggia, M.; Gandolfi, M.G. Chemical-Physical Properties and Bioactivity of New Premixed Calcium Silicate-Bioceramic Root Canal Sealers. Int. J. Mol. Sci. 2022, 23, 13914. [Google Scholar] [CrossRef]
- Cardinali, F.; Camilleri, J. A critical review of the material properties guiding the clinician’s choice of root canal sealers. Clin. Oral Investig. 2023, 27, 4147–4155. [Google Scholar] [CrossRef]
- Lin, D.; Zeng, X.; Li, H.; Lai, X.; Wu, T. One-pot fabrication of superhydrophobic and flame-retardant coatings on cotton fabrics via sol-gel reaction. J. Colloid. Interface Sci. 2019, 533, 198–206. [Google Scholar] [CrossRef]
- Zhang, W.; Li, J.; Guan, P.; Lv, C.; Yang, C.; Han, N.; Wang, X.; Song, G.; Peng, Z. One-pot sol-gel synthesis of Si/C yolk-shell anodes for high performance lithium-ion batteries. J. Alloys Compd. 2020, 835, 155135. [Google Scholar] [CrossRef]
- Branda, F.; Passaro, J.; Pauer, R.; Gaan, S.; Bifulco, A. Solvent-Free One-Pot Synthesis of Epoxy Nanocomposites Containing Mg(OH)(2) Nanocrystal-Nanoparticle Formation Mechanism. Langmuir 2022, 38, 5795–5802. [Google Scholar] [CrossRef] [PubMed]
- Pelepenko, L.E.; Saavedra, F.; Antunes, T.B.; Bombarda, G.F.; Gomes, B.P.; Zaia, A.A.; Camilleri, J.; Marciano, M.A. Physicochemical, antimicrobial, and biological properties of White-MTAFlow. Clin. Oral Investig. 2021, 25, 663–672. [Google Scholar] [CrossRef]
- Ma, C.; Gao, X.; Yang, Y.; Bian, X.; Wang, B.; Liu, X.; Wang, Y.; Su, D.; Zhang, G.; Qu, L. The three-dimensional culture of L929 and C2C12 cells based on SPI-SA interpenetrating network hydrogel scaffold with excellent mechanical properties. Front. Bioeng. Biotechnol. 2023, 11, 1329183. [Google Scholar] [CrossRef]
- Almeshari, A.; Elsafadi, M.; Almadhari, R.; Mahmood, A.; Alsubait, S.; Aksel, H. The additive effect of iloprost on the biological properties of Mineral trioxide aggregate on mesenchymal stem cells. J. Dent. Sci. 2022, 17, 225–232. [Google Scholar] [CrossRef] [PubMed]
- Tihtih, M.; Ponaryadov, A.V.; Ibrahim, J.; Kurovics, E.; Kotova, E.L.; Gömze, L.A. Effect of temperature on the structural properties of barium titanate nanopowders synthesis via sol-gel process. Epa.-J. Silic. Based Compos. Mater. 2020, 72, 165–168. [Google Scholar]
- Khanal, G.P.; Fujii, I.; Ueno, S.; Wada, S. Phase evolution and -orientation mechanism in RTGG-processed BaTiO3 ceramics with electrical properties. J. Am. Ceram. Soc. 2021, 104, 4649–4658. [Google Scholar] [CrossRef]
- ISO 6876:2012; Dentistry—Root Canal Sealing Materials. International Organization for Standardization: Geneva, Switzerland, 2012.
- Pekkan, G.; Aktas, A.; Pekkan, K. Comparative radiopacity of bone graft materials. J. Cranio-Maxillofac. Surg. 2012, 40, e1–e4. [Google Scholar] [CrossRef]
- Chen, M.S.; Yang, J.C.; Lai, F.C.; Chen, C.Y.; Hsieh, M.Y.; Fang, A.; Chen, S.H.; Lin, C.K. Radiopacity performances of precipitated ZrO2 -doped Bi2O3 powders and the influences of dopant concentrations and sintering temperatures. Ceram. Int. 2017, 43, 14008–14014. [Google Scholar] [CrossRef]
- Chen, M.-S.; Lin, H.-N.; Cheng, Y.-C.; Fang, A.; Chen, C.-Y.; Lee, P.-Y.; Lin, C.-K. Effects of milling time, zirconia addition, and storage environment on the radiopacity performance of mechanically milled Bi2O3/ZrO2 composite powders. Materials 2020, 13, 563. [Google Scholar] [CrossRef] [PubMed]
- Pasqualini, D.; Comba, A.; Annaratone, L.; Mola, V.; Alovisi, M.; Breschi, L.; Mazzoni, A.; Scotti, N.; Cassoni, P.; Berutti, E. Osteogenic Potential of Fast Set Bioceramic Cements: Molecular and In Vitro Study. Appl. Sci. 2020, 10, 6713. [Google Scholar] [CrossRef]
- Antonijević, D.; Despotović, A.; Biočanin, V.; Milošević, M.; Trišić, D.; Lazović, V.; Zogović, N.; Milašin, J.; Ilić, D. Influence of the addition of different radiopacifiers and bioactive nano-hydroxyapatite on physicochemical and biological properties of calcium silicate based endodontic ceramic. Ceram. Int. 2021, 47, 28913–28923. [Google Scholar] [CrossRef]
- Benetti, F.; de Azevedo Queiroz, I.O.; Oliveira, P.H.C.; Conti, L.C.; Azuma, M.M.; Oliveira, S.H.P.; Cintra, L.T.A. Cytotoxicity and biocompatibility of a new bioceramic endodontic sealer containing calcium hydroxide. Braz. Oral Res. 2019, 33, e042. [Google Scholar] [CrossRef] [PubMed]
- Ribeiro, D.A.; Sugui, M.M.; Matsumoto, M.A.; Duarte, M.A.; Marques, M.E.; Salvadori, D.M. Genotoxicity and cytotoxicity of mineral trioxide aggregate and regular and white Portland cements on Chinese hamster ovary (CHO) cells in vitro. Oral Surg. Oral Med. Oral Pathol. Oral Radiol. Endod. 2006, 101, 258–261. [Google Scholar] [CrossRef]
- ISO 10993-5:2009; Biological Evaluation of Medical Devices Part 5: Tests for In Vitro Cytotoxicity. International Organization for Standardization: Geneva, Switzerland, 2009.
- Tabira, K.; Kajimoto, N.; Minamisawa, H.; Sato, T.; Maruta, M.; Oka, K.; Kataoka, T.; Yoshioka, T.; Hayakawa, S.; Tsuru, K. Functional evaluation of mineral trioxide aggregate cement with choline dihydrogen phosphate. Dent. Mater. J. 2023, 42, 485–492. [Google Scholar] [CrossRef]











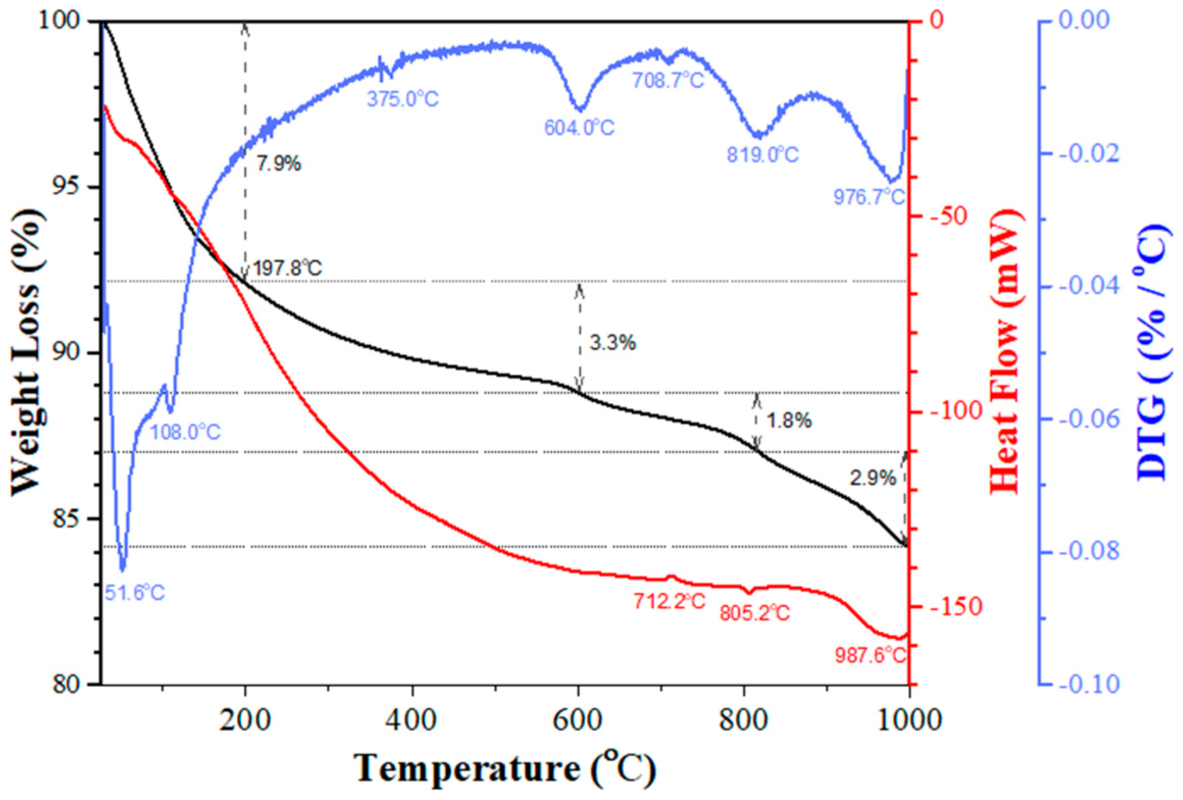
| Trange (°C) | Wt. Loss (%) | DSC (°C) | DTG (°C) | Possible Reactions |
|---|---|---|---|---|
| RT-200 | 7.9 | -- | -- | water evaporation and organic solvent burnout |
| 200–600 | 3.3 | -- | -- | BaTiO3 and BaCO3 formation |
| 600–820 | 1.8 | 712.2 endo. 805.2 exo. | 604.0 708.7 819.0 | BaCO3 decomposition and Ba2TiO4 formation |
| 820–1000 | 2.9 | 987.6 endo. | 976.7 | BaCO3 decomposition and transition of Ba2TiO4 to BaTiO3 |
| Calcination Temperature (°C) | Composition (%) | Grain Size (nm) | ||||
|---|---|---|---|---|---|---|
| BaTiO3 | BaCO3 | Ba2TiO4 | BaTiO3 | BaCO3 | Ba2TiO4 | |
| 600 | 90.5 | 9.5 | - | 19.63 | 50.48 | - |
| 800 | 95.1 | 2.9 | 2.0 | 34.11 | 66.21 | 54.19 |
| 900 | 91.0 | 0.3 | 8.8 | 34.83 | 44.20 | 57.89 |
| 1000 | 95.4 | 0.1 | 4.5 | 34.92 | 38.62 | 68.73 |
| 1100 | 97.2 | - | 2.8 | 35.66 | - | 78.73 |
| Radiopacity (mmAl) | PC | 600 °C | 800 °C | 900 °C | 1000 °C | 1100 °C | |
|---|---|---|---|---|---|---|---|
| 20% BTO | 1 Day | 1.43 ± 0.40 | 2.04 ± 0.27 | 2.45 ± 0.28 | 2.51 ± 0.23 | 3.03 ± 0.37 | 2.84 ± 0.33 |
| 7 Days | 1.13 ± 0.32 | 2.06 ± 0.44 | 2.13 ± 0.71 | 2.09 ± 0.76 | 2.20 ± 0.68 | 2.20 ± 0.66 | |
| 40% BTO | 1 Day | 1.43 ± 0.40 | 3.80 ± 0.31 | 4.57 ± 0.38 | 4.48 ± 0.44 | 4.83 ± 0.61 | 4.44 ± 0.50 |
| 7 Days | 1.13 ± 0.32 | 3.67 ± 0.55 | 4.23 ± 0.48 | 4.39 ± 0.40 | 4.69 ± 0.51 | 4.62 ± 0.32 | |
| DTS (MPa) | PC | 600 °C | 800 °C | 900 °C | 1000 °C | 1100 °C | |
|---|---|---|---|---|---|---|---|
| 20% BTO | 1 Day | 1.92 ± 0.22 | 1.51 ± 0.53 | 1.44 ± 0.17 | 1.50 ± 0.18 | 2.43 ± 0.29 | 1.73 ± 0.18 |
| 7 Days | 2.48 ± 0.22 | 2.32 ± 0.42 | 2.37 ± 0.58 | 2.16 ± 0.28 | 2.46 ± 0.55 | 2.08 ± 0.31 | |
| 40% BTO | 1 Day | 1.92 ± 0.22 | 0.77 ± 0.26 | 1.22 ± 0.22 | 1.68 ± 0.20 | 2.86 ± 0.33 | 2.55 ± 0.44 |
| 7 Days | 2.48 ± 0.22 | 0.58 ± 0.27 | 1.77 ± 0.42 | 1.82 ± 0.65 | 3.13 ± 0.70 | 2.63 ± 0.60 | |
| Cell Line | MG63 | L929 | ||
|---|---|---|---|---|
| Cell Viability (%) | PC | 40% BTO | PC | 40% BTO |
| 1/10,000 | 95.64 ± 2.45 | 97.27 ± 6.94 | 96.02 ± 2.61 | 95.64 ± 2.45 |
| 1/1000 | 97.43 ± 1.06 | 97.77 ± 1.62 | 97.10 ± 3.43 | 98.47 ± 2.20 |
| 1/100 | 96.02 ± 2.61 | 100.71 ± 2.31 | 100.72 ± 2.3 | 97.27 ± 6.94 |
Disclaimer/Publisher’s Note: The statements, opinions and data contained in all publications are solely those of the individual author(s) and contributor(s) and not of MDPI and/or the editor(s). MDPI and/or the editor(s) disclaim responsibility for any injury to people or property resulting from any ideas, methods, instructions or products referred to in the content. |
© 2024 by the authors. Licensee MDPI, Basel, Switzerland. This article is an open access article distributed under the terms and conditions of the Creative Commons Attribution (CC BY) license (https://creativecommons.org/licenses/by/4.0/).
Share and Cite
Chang, P.-J.; Chen, M.-S.; Cheng, C.-H.; Chiou, Y.-J.; Chen, C.-Y.; Su, C.-Y.; Lin, C.-K. Effects of Calcination Temperature on the Synthesis of One-Pot Sol-Gelled Barium Titanate Powder and Its Performance as an Endodontic Radiopacifier. Materials 2024, 17, 2701. https://doi.org/10.3390/ma17112701
Chang P-J, Chen M-S, Cheng C-H, Chiou Y-J, Chen C-Y, Su C-Y, Lin C-K. Effects of Calcination Temperature on the Synthesis of One-Pot Sol-Gelled Barium Titanate Powder and Its Performance as an Endodontic Radiopacifier. Materials. 2024; 17(11):2701. https://doi.org/10.3390/ma17112701
Chicago/Turabian StyleChang, Pei-Jung, May-Show Chen, Chi-Han Cheng, Yuh-Jing Chiou, Chin-Yi Chen, Cherng-Yuh Su, and Chung-Kwei Lin. 2024. "Effects of Calcination Temperature on the Synthesis of One-Pot Sol-Gelled Barium Titanate Powder and Its Performance as an Endodontic Radiopacifier" Materials 17, no. 11: 2701. https://doi.org/10.3390/ma17112701
APA StyleChang, P.-J., Chen, M.-S., Cheng, C.-H., Chiou, Y.-J., Chen, C.-Y., Su, C.-Y., & Lin, C.-K. (2024). Effects of Calcination Temperature on the Synthesis of One-Pot Sol-Gelled Barium Titanate Powder and Its Performance as an Endodontic Radiopacifier. Materials, 17(11), 2701. https://doi.org/10.3390/ma17112701

