Evaluation of the NOx Reduction Performance of Mortars Containing Zeolite/Activated Red Clay Coated with a TiO2 Photocatalyst
Abstract
:1. Introduction
2. Experimental and Numerical Procedures
2.1. Test Specimens
2.2. Used Materials
2.2.1. Cement and Fine Aggregates
2.2.2. Zeolite and Activated Red Clay
2.2.3. Titanium Dioxide (TiO2) Photocatalyst
2.3. Test Methods
2.3.1. Flexural and Compressive Strength Tests
2.3.2. Absorption Test
2.3.3. NOx Reduction Experiment
3. Results and Discussion
3.1. Flexural Strength Test Results
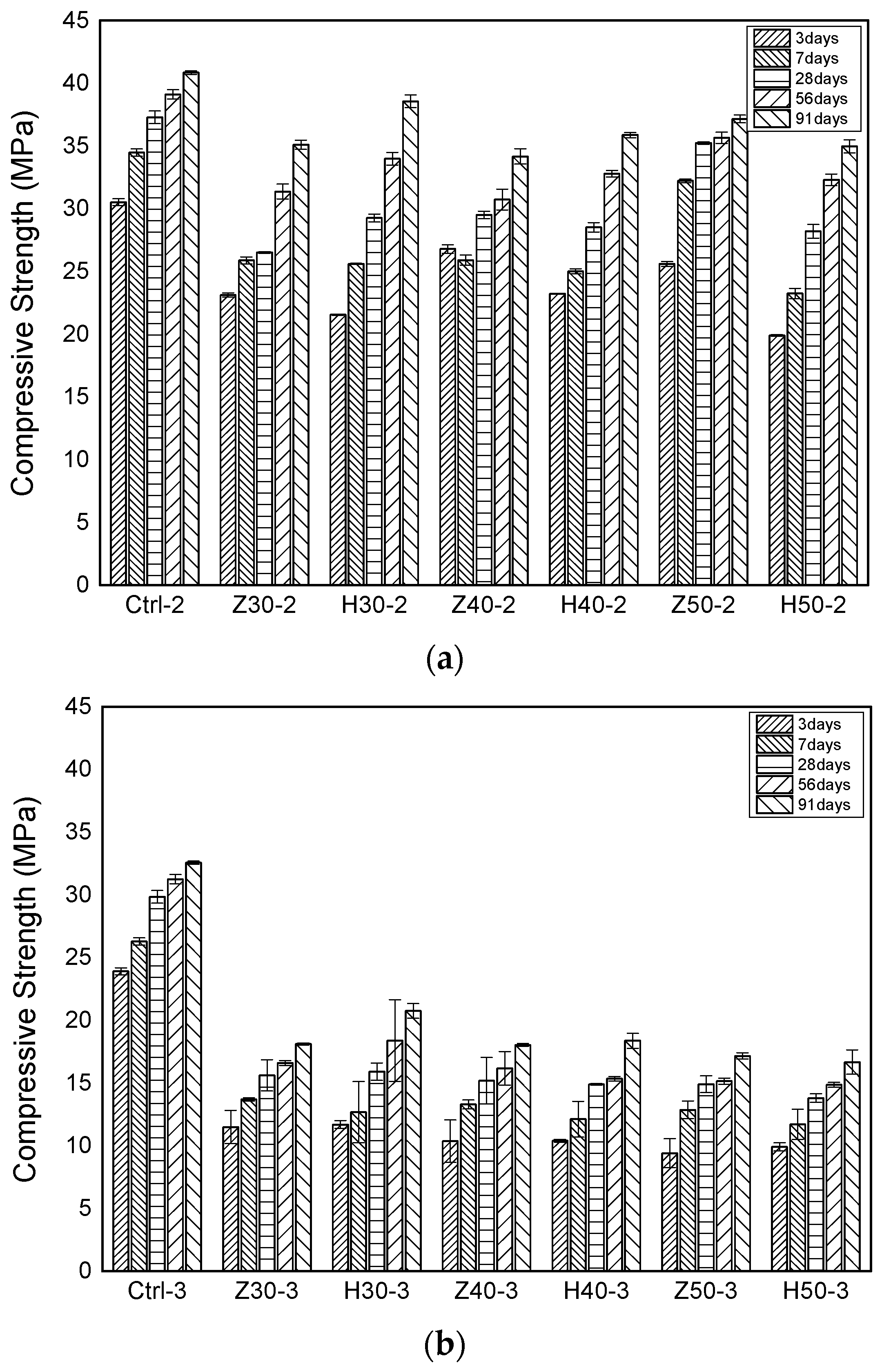
3.2. Compressive Strength Test Results
3.3. Absorption Rate Test Results
3.4. NOx Reduction Performance
4. Conclusions
Author Contributions
Funding
Institutional Review Board Statement
Informed Consent Statement
Data Availability Statement
Acknowledgments
Conflicts of Interest
References
- WHO. Air Quality Guidelines, Global Update 2005; World Health Organization: Geneva, Switzerland, 2005. [Google Scholar]
- Laden, F.; Schwartz, J.; Speizer, F.E.; Dockery, D.W. Reduction in Fine Particulate Air Pollution and Mortality: Extended Follow-up of the Harvard Six Cities Study. Am. J. Respir. Crit. Care Med. 2006, 173, 667–672. [Google Scholar] [CrossRef] [PubMed]
- Lasek, J.; Yu, Y.-H.; Wu, J.C.S. Removal of NOx by Photocatalytic Processes. J. Photochem. Photobiol. C Photochem. Rev. 2013, 14, 29–52. [Google Scholar] [CrossRef]
- Benoit-Marquie, F.; Wilkenhoner, U.; Simon, V. VOC Photodegradation at the Gas-solid Interface of a TiO2 Photocatalyst. J. Photochem. Photobiol. A Chem. 2000, 132, 225–232. [Google Scholar] [CrossRef]
- Allen, N.S.; Edge, M.; Verran, J.; Stratton, J.; Maltby, J.; Bygott, C. Photocatalytic Titania Based Surfaces: Environmental bene-fits. Polym. Degrad. Stab. 2008, 93, 1632–1646. [Google Scholar] [CrossRef]
- Dunster, A.M. The Pozzolanic Reaction of Metakaolin and its Effects on Portland Cement Hydration. J. Mater. Sci. 2000, 28, 1345–1350. [Google Scholar] [CrossRef]
- Ibrahim, I.; Belessiotis, G.V.; Antoniadou, M.; Kaltzoglou, A.; Sakellis, E.; Katsaros, F.; Sygellou, L.; Arfanis, M.K.; Salama, T.M.; Falaras, P. Silver Decorated TiO2/g-C3N4 Bifunctional Nanocomposites for Photocatalytic Elimination of Water Pollutants under UV and Artificial Solar Light. Results Eng. 2022, 14, 100470. [Google Scholar] [CrossRef]
- Zhang, Y.; Tang, Z.-R.; Fu, X.; Xu, Y.-J. TiO2–graphene nanocomposites for gas-phase photocatalytic degradation of volatile aromatic pollutant: Is TiO2–graphene truly different from other TiO2–carbon composite materials? ACS Nano 2010, 4, 7303–7314. [Google Scholar] [CrossRef]
- Lackhoff, M.; Pietro, X.; Nestle, N.; Dehn, F.; Niessner, R. Photocatalytic activity of semiconductor-modified cement—Influence of semiconductor type and cement ageing. Appl. Catal. B Environ. 2003, 46, 205–216. [Google Scholar] [CrossRef]
- Jayapalan, A.R.; Lee, B.Y.; Fredrich, S.M.; Kurtis, K.E. Influence of Additions of Anatase TiO2 Nanoparticles on Early-Age Properties of Cement-Based Materials. Transp. Res. Rec. 2010, 2141, 41–46. [Google Scholar] [CrossRef]
- Han, C.; Pelaez, M.; Likodimos, V.; Kontos, A.G.; Falaras, P.; O’Shea, K.; Dionysiou, D.D. Innovative Visible Light-Activated Sulfur Doped TiO2 Films for Water Treatment. Appl. Catal. B 2011, 107, 77–87. [Google Scholar] [CrossRef]
- Pérez-Nicolás, M.; Balbuena, J.; Cruz-Yustab, M.; Sánchezb, L.; Navarro-Blascoa, I.; Fernández, J.M.; Alvarez, J.I. Photocatalytic NOx Abatement by Calcium Aluminate Cements Modified with TiO2: Improved NO2 Conversion. Cem. Concr. Res. 2015, 70, 67–76. [Google Scholar] [CrossRef]
- Kwon, S.J.; Lim, H.S.; Kim, H.J.; Hyun, J.H. Evaluation of Mechanical Properties of Mortar Mixed with Zeolites and Active Hwangtoh. J. Korean Recycl. Constr. Resour. Inst. 2019, 7, 405–412. [Google Scholar]
- Eedem, E.; Karapinar, N.; Donat, R. The Removal of Heavy Metal Cations by Natural Zeolites. J. Colloid Interface Sci. 2004, 280, 309–314. [Google Scholar]
- Kopa, C.T.; Kocabas, S. Sulfur Dioxide Adsorption Isotherms and Breakthrough Analysis on Molecular Sieve5A Zeolite. Chem. Eng. Commun. 2003, 190, 1041–10540. [Google Scholar] [CrossRef]
- Oren, A.H.; Kaya, A. Factors Affecting Adsorption Characteristics of Zn2+ on Two Natural Zeolites. J. Hazard. Mater. 2006, 131, 59–65. [Google Scholar] [CrossRef] [PubMed]
- Colin, A.F.; Jeremy, L.B.; Lau, Y.L. Solid-State NMR Detection, Characterization, and Quantification of the Multiple Aluminum Environments in US-Y Catalysts by 27Al MAS and MQMAS Experiments at Very High Field. J. Am. Chem. Soc. 2001, 123, 5285–5291. [Google Scholar]
- Jung, J.S.; Park, J.W.; Seo, G. Catalytic cracking of n-octane over alkali-treated MFI zeolites. Appl. Catal. A Gen. 2005, 288, 149–157. [Google Scholar] [CrossRef]
- Kasai, Y.; Tobinai, K.; Asakura, E.; Feng, N. Comparative study of natural zeolites and other inorganic admixtures in terms of characterization and properties of mortars. Spec. Publ. 1992, 132, 615–634. [Google Scholar]
- Lim, W.T.; Seo, S.M.; Kim, G.H.; Lee, H.S.; Seff, K. Six single-crystal structures showing the dehydration, deamination, dealumination, and decomposition of NH4+-exchanged zeolite Y (FAU) with increasing evacuation temperature. Identification of a Lewis acid site. J. Phys. Chem. C 2007, 111, 18294–18306. [Google Scholar] [CrossRef]
- Kim, H.S.; Park, W.K.; Lee, H.Y.; Park, J.S.; Lim, W.T. Characterization of natural zeolite for removal of radioactive nuclides. J. Mineral. Soc. Korea 2014, 27, 41–51. [Google Scholar] [CrossRef]
- Kang, J.H.; Walter, R.; Xie, D.; Davis, T.; Chen, C.Y.; Davis, M.E.; Zones, S.I. Further studies on how the nature of zeolite cavities that are bounded by small pores influences the conversion of methanol to light olefins. ChemPhysChem 2018, 19, 412–419. [Google Scholar] [CrossRef] [PubMed]
- Yun, J.H.; Choi, D.K.; Kim, S.H. Adsorption of organic solvent vapors on hydrophobic Y-type zeolite. AIChE J. 1998, 44, 1344–1350. [Google Scholar] [CrossRef]
- Cho, H.S.; Ryoo, R. Synthesis of ordered mesoporous MFI zeolite using CMK carbon templates. Microporous Mesoporous Mater. 2012, 151, 107–112. [Google Scholar] [CrossRef]
- Ibrahim, I.; Kaltzoglou, A.; Athanasekou, C.; Katsaros, F.; Devlin, E.; Kontos, A.G.; Ioannidis, N.; Perraki, M.; Tsakiridis, P.; Sygellou, L.; et al. Magnetically Separable TiO2/CoFe2O4/Ag Nanocomposites for the Photocatalytic Reduction of Hexavalent Chromium Pollutant under UV and Artificial Solar Light. Chem. Eng. J. 2020, 381, 122730. [Google Scholar] [CrossRef]
- Perraki, T.; Kontori, E.; Tsivilis, S.; Kakali, G. The effect of zeolite on the properties and hydration of blended cements. Cem. Concr. Compos. 2010, 32, 128–133. [Google Scholar] [CrossRef]
- Kim, H.J.; Hong, K.N. Evaluation of Nitrogen Oxide Reduction Performance in Permeable Concrete Surfaces Treated with a TiO2 Photocatalyst. Materials 2023, 16, 5512. [Google Scholar] [CrossRef] [PubMed]
- Go, S.S.; Lee, H.C.; Lee, J.Y.; Kim, J.K.; Chung, C.W. Experimental Investigation of Mortars Using Activated Hwangtoh. Constr. Build. Mater. 2009, 23, 1438–1445. [Google Scholar] [CrossRef]
- Bayraktar, A.; Hokelekli, E. Nonlinear soil deformability effects on the seismic damage mechanisms of brick and stone masonry arch bridge. Int. J. Damage Mech. 2021, 30, 431–452. [Google Scholar] [CrossRef]
- Yoon, Y.S.; Kim, H.J.; Park, J.H.; Kwon, S.J. NOx Reduction Performance in Cement Mortar with TiO2 Treatment and Mineral Admixture. J. Korean Recycl. Constr. Resour. Inst. 2020, 8, 506–513. [Google Scholar]
- Kim, H.J.; Park, J.H.; Yoon, Y.S.; Kwon, S.J. Durability and Mechanical Performance in Activated Hwangtoh—Based Composite for NOx Reduction. Adv. Concr. Constr. 2021, 11, 307–314. [Google Scholar]
- ISO 4013:1978; Concrete—Determination of Fexural Strength of Test Specimens. International Organization for Standardization: Geneve, Switzerland, 1978. Available online: https://www.iso.org/standard/9692.html (accessed on 10 July 2023).
- ISO 679:2009; Cement—Test Methods—Determination of Strength. International Organization for Standardization: Geneve, Switzerland, 2020. Available online: https://www.iso.org/standard/45568.html (accessed on 10 July 2023).
- ISO 22197-1:2016; Fine Ceramics (Advanced Ceramics, Advanced Technical Ceramics)—Test Method for Air-Purification Performance of Semiconducting Photocatalytic Materials—Part 1: Removal of Nitric Oxide. International Organization for Standardization: Geneve, Switzerland, 2016. Available online: https://www.iso.org/standard/65416.html (accessed on 10 July 2023).
- Colelia, C. Ion exchange equilibria in zeolite minerals. Miner. Depos. 1996, 31, 554–562. [Google Scholar] [CrossRef]
- Vejmelkova, E.; Konakova, D.; Kulovana, T.; Keppert, M.; Zumar, J.; Rovnanikova, P.; Kersner, Z.; Sedlmajer, M.; Cerny, R. Engineering properties of concrete containing natural zeolite as supplementary cementitious material: Streng, toughness, durability, and hygrothermal performance. Cem. Concr. Compos. 2015, 55, 259–267. [Google Scholar] [CrossRef]
- Lin, R.S.; Lee, H.S.; Han, Y.; Wang, X.Y. Experimental studies on hydration-strength-durability of limestone-cement-calcined Hwangtoh clay ternary composite. Constrution Build. Mater. 2021, 269, 121290. [Google Scholar] [CrossRef]
- Martines, T.; Bertron, A.; Escadeillas, G.; Ringot, E.; Simon, V. BTEX abatement by photocatalytic TiO2-bearing coatings applied to cement mortars. Build. Environ. 2014, 71, 186–192. [Google Scholar] [CrossRef]








| Type | Unit Weight (kg/m3) | ||||
|---|---|---|---|---|---|
| Water | Binder | Sand | |||
| Cement | Zeolite | Activated Red Clay | |||
| C25-2 | 300 | 1200 | - | - | 2400 |
| Z30-2 | 840 | 360 | - | ||
| H30-2 | - | 360 | |||
| Z40-2 | 720 | 480 | - | ||
| H40-2 | - | 480 | |||
| Z50-2 | 600 | 600 | - | ||
| H50-2 | - | 600 | |||
| C25-3 | 1200 | - | - | 3600 | |
| Z30-3 | 840 | 360 | - | ||
| H30-3 | - | 360 | |||
| Z40-3 | 720 | 480 | - | ||
| H40-3 | - | 480 | |||
| Z50-3 | 600 | 600 | - | ||
| H50-3 | - | 600 | |||
| SiO2 (%) | Al2O3 (%) | Fe2O3 (%) | CaO (%) | MgO (%) | SO3 (%) |
|---|---|---|---|---|---|
| 21.74 | 5.00 | 3.17 | 62.79 | 2.97 | 1.67 |
| Type | Specific Gravity (g/cm3) | Fineness Modulus | Absorption Rate (%) |
|---|---|---|---|
| River sand | 2.68 | 2.81 | 0.91 |
| SiO2 (%) | Al2O3 (%) | Fe2O3 (%) | CaO (%) | MgO (%) | K2O (%) | |
|---|---|---|---|---|---|---|
| Zeolite | 68.9 | 16.4 | 5.3 | 2.6 | 1.0 | 3.7 |
| Activated red clay | 43.0 | 25.9 | 10.8 | 7.2 | 1.6 | 0.8 |
| Type | Absorption Rate (%) | Type | Absorption Rate (%) |
|---|---|---|---|
| Ctrl-2 | 7.18 | Ctrl-3 | 7.33 |
| Z30-2 | 7.98 | Z30-3 | 8.69 |
| H30-2 | 7.37 | H30-3 | 7.87 |
| Z40-2 | 7.79 | Z40-3 | 8.80 |
| H40-2 | 7.41 | H40-3 | 7.80 |
| Z50-2 | 8.12 | Z50-3 | 9.22 |
| H50-2 | 7.39 | H50-3 | 7.93 |
| Type | Efficiency of NOx Reduction (%) |
|---|---|
| Ctrl-3 | 54.2 |
| Z30-3 | 60.6 |
| H30-3 | 63.6 |
| Z50-3 | 66.8 |
| H50-3 | 67.4 |
Disclaimer/Publisher’s Note: The statements, opinions and data contained in all publications are solely those of the individual author(s) and contributor(s) and not of MDPI and/or the editor(s). MDPI and/or the editor(s) disclaim responsibility for any injury to people or property resulting from any ideas, methods, instructions or products referred to in the content. |
© 2023 by the authors. Licensee MDPI, Basel, Switzerland. This article is an open access article distributed under the terms and conditions of the Creative Commons Attribution (CC BY) license (https://creativecommons.org/licenses/by/4.0/).
Share and Cite
Joo, B.-c.; Kim, H.-J. Evaluation of the NOx Reduction Performance of Mortars Containing Zeolite/Activated Red Clay Coated with a TiO2 Photocatalyst. Materials 2024, 17, 80. https://doi.org/10.3390/ma17010080
Joo B-c, Kim H-J. Evaluation of the NOx Reduction Performance of Mortars Containing Zeolite/Activated Red Clay Coated with a TiO2 Photocatalyst. Materials. 2024; 17(1):80. https://doi.org/10.3390/ma17010080
Chicago/Turabian StyleJoo, Bong-chul, and Hyeok-Jung Kim. 2024. "Evaluation of the NOx Reduction Performance of Mortars Containing Zeolite/Activated Red Clay Coated with a TiO2 Photocatalyst" Materials 17, no. 1: 80. https://doi.org/10.3390/ma17010080
APA StyleJoo, B.-c., & Kim, H.-J. (2024). Evaluation of the NOx Reduction Performance of Mortars Containing Zeolite/Activated Red Clay Coated with a TiO2 Photocatalyst. Materials, 17(1), 80. https://doi.org/10.3390/ma17010080
