Effects of Waste Glass Powder on Rheological and Mechanical Properties of Calcium Carbide Residue Alkali-Activated Composite Cementitious Materials System
Abstract
1. Introduction
2. Materials and Test Methods
2.1. Materials
2.2. The Preparation of CCR Alkali-Activated Composite Cementitious Material
2.3. Mini-Slump Flow Diameter
2.4. Test of Rheological Properties
2.5. Test of Mechanical Properties
2.6. XRD
2.7. FTIR
2.8. DTG
2.9. SEM-EDS
3. Results and Discussion
3.1. Mini-Slump of the CCR Alkali-Activated Composite Cementitious Materials
3.2. Rheological Behavior of the CCR Alkali-Activated Composite Cementitious Materials
3.3. Mechanical Properties of the CCR Alkali-Activated Composite Cementitious Materials
3.4. XRD Analysis
3.5. FTIR Analysis
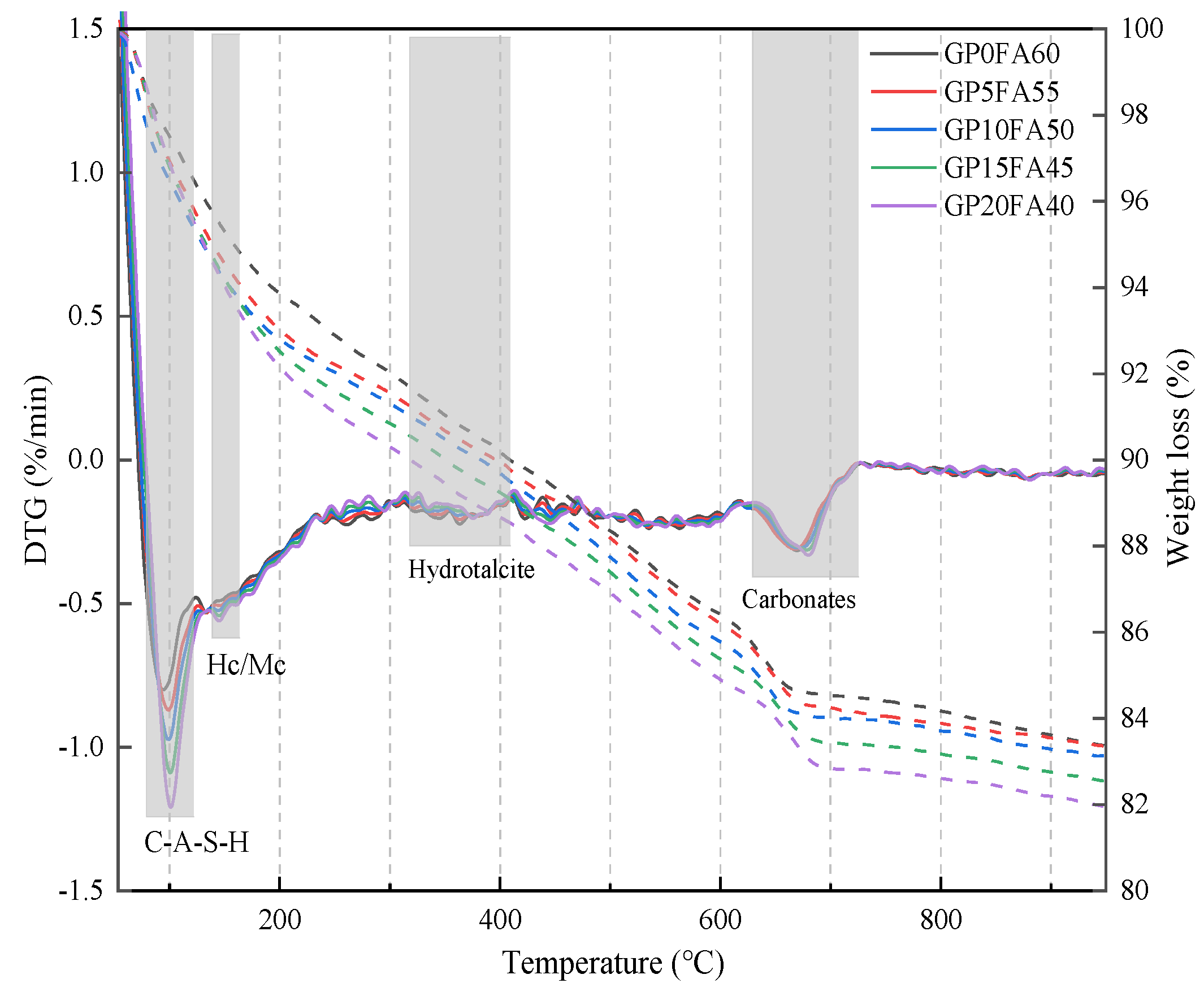
3.6. DTG Analysis
3.7. SEM/EDX Analysis
4. Conclusions
- The substitution of GP for FA had a negative effect on the fluidity of the alkali-activated materials paste under the synergistic activation of CCR and Na2CO3, which was attributed to the diamond-shaped morphological structure of GP that increased the friction between particles during the flow of the alkali-activated materials paste.
- The rheological behavior of alkali-activated materials incorporating GP conformed to the Herschel–Bulkley model. Compared to the reference, when the partial replacement of FA by GP was increased to 20%, the shear stress was increased by 49.6% and the equivalent plastic viscosity increased by 32.1%.
- With the increase in FA replaced by GP, the alkali-activated materials paste gradually changed from a shear thinning to shear thickening response. When 5% GP was used as a replacement for FA, the maximum pseudoplasticity index was 1.72.
- When 20% GP was substituted for FA, the compressive strength and flexural strength of alkali-activated materials at 28d were increased by 13% and 20.3%, respectively, compared with the reference sample.
- Under the co-activation of CCR and Na2CO3, GP replacing part of FA contributed to the dissolution of Ca and Si to generate C-(A)-S-H gels with higher polymerization, which promoted the development of the mechanical properties of the substrate.
Author Contributions
Funding
Institutional Review Board Statement
Informed Consent Statement
Data Availability Statement
Conflicts of Interest
References
- Li, Q. The view of technological innovation in coal industry under the vision of carbon neutralization. Int. J. Coal Sci. Technol. 2021, 8, 1197–1207. [Google Scholar] [CrossRef]
- Zhang, Z.; Wang, T.; Blunt, M.J.; Anthony, E.J.; Park, A.H.A.; Hughes, R.; Webley, P.; Yan, J. Advances in carbon capture, utilization and storage. Appl. Energy 2020, 278, 115627. [Google Scholar] [CrossRef]
- Bondar, D.; Lynsdale, C.J.; Milestone, N.B.; Hassani, N.; Ramezanianpour, A.A. Effect of adding mineral additives to alkali-activated natural pozzolan paste. Constr. Build. Mater. 2011, 25, 2906–2910. [Google Scholar] [CrossRef]
- Al-Fakih, A.; Mohammed, B.S.; Liew, M.S. Tires rubber as a useable material in civil engineering applications: An overview. Int. J. Adv. Res. Eng. Technol. 2020, 11, 315–325. [Google Scholar]
- Mohammed, B.S.; Liew, M.S.; Alaloul, W.S.; Al-Fakih, A.; Ibrahim, W.; Adamu, M. Development of rubberized geopolymer interlocking bricks. Case Stud. Constr. Mater. 2018, 8, 401–408. [Google Scholar] [CrossRef]
- Nodehi, M.; Taghvaee, V.M. Alkali-activated materials and geopolymer: A review of common precursors and activators addressing circular economy. Circ. Econ. Sustain. 2022, 2, 165–196. [Google Scholar] [CrossRef]
- Mendes, B.C.; Pedroti, L.G.; Vieira, C.M.F.; Marvila, M.; Azevedo, A.R.; de Carvalho, J.M.F.; Ribeiro, J.C.L. Application of eco-friendly alternative activators in alkali-activated materials: A review. J. Build. Eng. 2021, 35, 102010. [Google Scholar] [CrossRef]
- Rafieizonooz, M.; Mirza, J.; Salim, M.R.; Hussin, M.W.; Khankhaje, E. Investigation of coal bottom ash and fly ash in concrete as replacement for sand and cement. Constr. Build. Mater. 2016, 116, 15–24. [Google Scholar] [CrossRef]
- Nejad, A.S.; Zahedi, A.R. Optimization of biodiesel production as a clean fuel for thermal power plants using renewable energy source. Renew. Energy 2018, 119, 365–374. [Google Scholar] [CrossRef]
- Zhang, P.; Gao, Z.; Wang, J.; Guo, J.; Hu, S.; Ling, Y. Properties of fresh and hardened fly ash/slag based geopolymer concrete: A review. J. Clean. Prod. 2020, 270, 122389. [Google Scholar] [CrossRef]
- John, S.K.; Nadir, Y.; Girija, K. Effect of source materials, additives on the mechanical properties and durability of fly ash and fly ash-slag geopolymer mortar: A review. Constr. Build. Mater. 2021, 280, 122443. [Google Scholar] [CrossRef]
- Shah, S.F.A.; Chen, B.; Oderji, S.Y.; Haque, M.A.; Ahmad, M.R. Improvement of early strength of fly ash-slag based one-part alkali activated mortar. Constr. Build. Mater. 2020, 246, 118533. [Google Scholar] [CrossRef]
- Abdalqader, A.F.; Jin, F.; Al-Tabbaa, A. Development of greener alkali-activated cement: Utilisation of sodium carbonate for activating slag and fly ash mixtures. J. Clean. Prod. 2016, 113, 66–75. [Google Scholar] [CrossRef]
- Li, G.; Tan, H.; Zhang, J.; Deng, X.; Liu, X.; Luo, Z. Ground granulated blast-furnace slag/fly ash blends activated by sodium carbonate at ambient temperature. Constr. Build. Mater. 2021, 291, 123378. [Google Scholar] [CrossRef]
- Lee, N.K.; Lee, H.K. Setting and mechanical properties of alkali-activated fly ash/slag concrete manufactured at room temperature. Constr. Build. Mater. 2013, 47, 1201–1209. [Google Scholar] [CrossRef]
- Van Deventer, J.S.; Provis, J.L.; Duxson, P.; Brice, D.G. Chemical research and climate change as drivers in the commercial adoption of alkali activated materials. Waste Biomass Valorization 2010, 1, 145–155. [Google Scholar] [CrossRef]
- Lu, C.; Zhang, Z.; Shi, C.; Li, N.; Jiao, D.; Yuan, Q. Rheology of alkali-activated materials: A review. Cem. Concr. Compos. 2021, 121, 104061. [Google Scholar] [CrossRef]
- Khmiri, A.; Samet, B.; Chaabouni, M. Assessment of the waste glass powder pozzolanic activity by different methods. Int. J. Res. Rev. Appl. Sci. 2012, 10, 322–328. [Google Scholar]
- Ling, T.C.; Poon, C.S. Use of recycled CRT funnel glass as fine aggregate in dry-mixed concrete paving blocks. J. Clean. Prod. 2014, 68, 209–215. [Google Scholar] [CrossRef]
- Çınar, M.; Çelik, F.; Çanakcı, H.; Nassani, D.E. Fresh properties of cementitious grout with rice husk powder. Arab. J. Sci. Eng. 2017, 42, 3819–3827. [Google Scholar] [CrossRef]
- Celik, F.; Akcuru, O. Rheological and workability effects of bottom ash usage as a mineral additive on the cement based permeation grouting method. Constr. Build. Mater. 2020, 263, 120186. [Google Scholar] [CrossRef]
- Aliabdo, A.A.; Abd Elmoaty, M.; Aboshama, A.Y. Utilization of waste glass powder in the production of cement and concrete. Constr. Build. Mater. 2016, 124, 866–877. [Google Scholar] [CrossRef]
- Ali, H.A.; Sun, K.; Xuan, D.; Lu, J.X.; Cyr, M.; Poon, C.S. Recycling of high-volume waste glass powder in alkali-activated materials: An efflorescence mitigation strategy. J. Build. Eng. 2023, 65, 105756. [Google Scholar] [CrossRef]
- Li, L.; Lu, J.X.; Zhang, B.; Poon, C.S. Rheology behavior of one-part alkali activated slag/glass powder (AASG) pastes. Constr. Build. Mater. 2020, 258, 120381. [Google Scholar] [CrossRef]
- Marathe, S.; Mithanthaya, I.R.; Shenoy, R.Y. Durability and microstructure studies on Slag-Fly Ash-Glass powder based alkali activated pavement quality concrete mixes. Constr. Build. Mater. 2021, 287, 123047. [Google Scholar] [CrossRef]
- Cercel, J.; Adesina, A.; Das, S. Performance of eco-friendly mortars made with alkali-activated slag and glass powder as a binder. Constr. Build. Mater. 2021, 270, 121457. [Google Scholar] [CrossRef]
- Gao, X.; Yao, X.; Yang, T.; Zhou, S.; Wei, H.; Zhang, Z. Calcium carbide residue as auxiliary activator for one-part sodium carbonate-activated slag cements: Compressive strength, phase assemblage and environmental benefits. Constr. Build. Mater. 2021, 308, 125015. [Google Scholar] [CrossRef]
- Yang, J.; Bai, H.; He, X.; Zeng, J.; Su, Y.; Wang, X.; Zhao, H.; Mao, C. Performances and microstructure of one-part fly ash geopolymer activated by calcium carbide slag and sodium metasilicate powder. Constr. Build. Mater. 2023, 367, 130303. [Google Scholar] [CrossRef]
- Shi, Y.; Zhao, Q.; Xue, C.; Jia, Y.; Guo, W.; Zhang, Y.; Qiu, Y. Preparation and curing method of red mud-calcium carbide slag synergistically activated fly ash-ground granulated blast furnace slag based eco-friendly geopolymer. Cem. Concr. Compos. 2023, 139, 104999. [Google Scholar] [CrossRef]
- Shi, C.; Zheng, K. A review on the use of waste glasses in the production of cement and concrete. Resour. Conserv. Recycl. 2007, 52, 234–247. [Google Scholar] [CrossRef]
- Pourkhorshidi, A.R.; Najimi, M.; Parhizkar, T.; Jafarpour, F.; Hillemeier, B. Applicability of the standard specifications of ASTM C618 for evaluation of natural pozzolans. Cem. Concr. Compos. 2010, 32, 794–800. [Google Scholar] [CrossRef]
- Luukkonen, T.; Abdollahnejad, Z.; Yliniemi, J.; Kinnunen, P.; Illikainen, M. One-part alkali-activated materials: A review. Cem. Concr. Res. 2018, 103, 21–34. [Google Scholar] [CrossRef]
- EN 1015-3:1999; Methods of Test for Mortar for Masonry—Part 3: Determination of Consistence of Fresh Mortar (by Flow Table). BSI: London, UK, 2000.
- EN 1015-11; Methods of Test for Mortar for Masonry—Part 11: Determination of Flexural and Compressive Strength of Hardened Mortar. BSI: London, UK, 2019.
- Lu, J.X.; Poon, C.S. Use of waste glass in alkali activated cement mortar. Constr. Build. Mater. 2018, 160, 399–407. [Google Scholar] [CrossRef]
- Rehman, S.; Iqbal, S.; Ali, A. Combined influence of glass powder and granular steel slag on fresh and mechanical properties of self-compacting concrete. Constr. Build. Mater. 2018, 178, 153–160. [Google Scholar] [CrossRef]
- Tariq, S.; Scott, A.N.; Mackechnie, J.R.; Shah, V. Glass powder replacement in self-compacting concrete and its effect on rheological and mechanical properties. J. Sustain. Cem.-Based Mater. 2022, 11, 240–256. [Google Scholar] [CrossRef]
- Samarakoon, M.H.; Ranjith, P.G.; De Silva, V.R.S. Effect of soda-lime glass powder on alkali-activated binders: Rheology, strength and microstructure characterization. Constr. Build. Mater. 2020, 241, 118013. [Google Scholar] [CrossRef]
- Criado, M.; Palomo, A.; Fernández-Jiménez, A.; Banfill, P. Alkali activated fly ash: Effect of admixtures on paste rheology. Rheol. Acta 2009, 48, 447–455. [Google Scholar] [CrossRef]
- Sun, X.; Liu, J.; Qiu, J.; Wu, P.; Zhao, Y. Alkali activation of blast furnace slag using a carbonate-calcium carbide residue alkaline mixture to prepare cemented paste backfill. Constr. Build. Mater. 2022, 320, 126234. [Google Scholar] [CrossRef]
- Khan, M.N.N.; Kuri, J.C.; Sarker, P.K. Effect of waste glass powder as a partial precursor in ambient cured alkali activated fly ash and fly ash-GGBFS mortars. J. Build. Eng. 2021, 34, 101934. [Google Scholar] [CrossRef]
- Wang, J.; Lyu, X.; Wang, L.; Cao, X.; Liu, Q.; Zang, H. Influence of the combination of calcium oxide and sodium carbonate on the hydration reactivity of alkali-activated slag binders. J. Clean. Prod. 2018, 171, 622–629. [Google Scholar] [CrossRef]
- Renaudin, G.; Russias, J.; Leroux, F.; Frizon, F.; Cau-dit-Coumes, C. Structural characterization of C–S–H and C–A–S–H samples—Part II: Local environment investigated by spectroscopic analyses. J. Solid State Chem. 2009, 182, 3320–3329. [Google Scholar] [CrossRef]
- L’Hôpital, E.; Lothenbach, B.; Le Saout, G.; Kulik, D.; Scrivener, K. Incorporation of aluminium in calcium-silicate-hydrates. Cem. Concr. Res. 2015, 75, 91–103. [Google Scholar] [CrossRef]
- Yaphary, Y.L.; Lau, D.; Sanchez, F.; Poon, C.S. Effects of sodium/calcium cation exchange on the mechanical properties of calcium silicate hydrate (CSH). Constr. Build. Mater. 2020, 243, 118283. [Google Scholar] [CrossRef]
- Zhang, T.; Lu, Z.; Sun, Z.; Yang, H.; Yan, Z.; Ji, Y. Modification of glass powder and its effect on the compressive strength of hardened alkali-activated slag-glass powder paste. J. Build. Eng. 2022, 58, 105030. [Google Scholar] [CrossRef]
- Karim, M.R.; Zain, M.F.M.; Jamil, M.; Lai, F.C. Fabrication of a non-cement binder using slag, palm oil fuel ash and rice husk ash with sodium hydroxide. Constr. Build. Mater. 2013, 49, 894–902. [Google Scholar] [CrossRef]
- Gao, K.; Lin, K.L.; Wang, D.; Hwang, C.L.; Shiu, H.S.; Chang, Y.M.; Cheng, T.W. Effects SiO2/Na2O molar ratio on mechanical properties and the microstructure of nano-SiO2 metakaolin-based geopolymers. Constr. Build. Mater. 2014, 53, 503–510. [Google Scholar] [CrossRef]
- Zawrah, M.F.; Gado, R.A.; Feltin, N.; Ducourtieux, S.; Devoille, L. Recycling and utilization assessment of waste fired clay bricks (Grog) with granulated blast-furnace slag for geopolymer production. Process Saf. Environ. Prot. 2016, 103, 237–251. [Google Scholar] [CrossRef]
- Xiao, R.; Zhang, Y.; Jiang, X.; Polaczyk, P.; Ma, Y.; Huang, B. Alkali-activated slag supplemented with waste glass powder: Laboratory characterization, thermodynamic modelling and sustainability analysis. J. Clean. Prod. 2021, 286, 125554. [Google Scholar] [CrossRef]
- Zhang, S.; Keulen, A.; Arbi, K.; Ye, G. Waste glass as partial mineral precursor in alkali-activated slag/fly ash system. Cem. Concr. Res. 2017, 102, 29–40. [Google Scholar] [CrossRef]
- Bahedh, M.A.; Jaafar, M.S. Ultra high-performance concrete utilizing fly ash as cement replacement under autoclaving technique. Case Stud. Constr. Mater. 2018, 9, e00202. [Google Scholar] [CrossRef]















| Raw Materials | Na2O | MgO | Al2O3 | SiO2 | P2O5 | SO3 | K2O | CaO | Fe2O3 |
|---|---|---|---|---|---|---|---|---|---|
| GGBS | 0.46 | 7.41 | 14.91 | 30.39 | 0.03 | 2.22 | 0.42 | 42.41 | 0.44 |
| FA | 0.33 | 0.23 | 38.01 | 46.44 | 0.06 | 0.69 | 0.88 | 7.52 | 3.12 |
| GP | 12.76 | 1.97 | 2.24 | 68.48 | 0.02 | 0.23 | 0.33 | 10.81 | 0.95 |
| CCR | 0.02 | 0.09 | 1.38 | 2.72 | 0.01 | 0.77 | 0.04 | 77.99 | 0.42 |
| Testing Items | Limits | |
|---|---|---|
| WGP | Class N | |
| SiO2 + Al2O3 + Fe2O3 | 71.67% | >70% |
| SO3 | 0.23% | <4% |
| Moisture content | 1.48% | <10% |
| Loss on ignition | 2.21% | <3% |
| Amount retained when wet-sieved on 45 μm sieve | 11.4% | <34% |
| Strength activity index at 7 days | 81.2% | >75% |
| Strength activity index at 28 days | 85.3% | >75% |
| Sample | GP | FA | GGBS | CCR | Na2CO3 | W/S |
|---|---|---|---|---|---|---|
| GP0FA60 | 0 | 60% | 40% | 6% | 9% | 0.6 |
| GP5FA55 | 5% | 55% | 40% | 6% | 9% | 0.6 |
| GP10FA50 | 10% | 50% | 40% | 6% | 9% | 0.6 |
| GP15FA45 | 15% | 45% | 40% | 6% | 9% | 0.6 |
| GP20FA40 | 20% | 40% | 40% | 6% | 9% | 0.6 |
| Sample | The Fitting Equation | R2 | n |
|---|---|---|---|
| GP0FA60 | y = 20.42 + 0.419x0.9765 | 0.9915 | 0.9765 |
| GP5FA55 | y = 18.79 + 0.01626x1.726 | 0.9908 | 1.726 |
| GP10FA50 | y = 21.77 + 0.05239x1.495 | 0.9945 | 1.495 |
| GP15FA45 | y = 22.46 + 0.03984x1.555 | 0.9926 | 1.555 |
| GP20FA40 | y = 26.97 + 0.04683x1.551 | 0.9937 | 1.551 |
Disclaimer/Publisher’s Note: The statements, opinions and data contained in all publications are solely those of the individual author(s) and contributor(s) and not of MDPI and/or the editor(s). MDPI and/or the editor(s) disclaim responsibility for any injury to people or property resulting from any ideas, methods, instructions or products referred to in the content. |
© 2023 by the authors. Licensee MDPI, Basel, Switzerland. This article is an open access article distributed under the terms and conditions of the Creative Commons Attribution (CC BY) license (https://creativecommons.org/licenses/by/4.0/).
Share and Cite
Chen, Y.; Wu, X.; Yin, W.; Tang, S.; Yan, G. Effects of Waste Glass Powder on Rheological and Mechanical Properties of Calcium Carbide Residue Alkali-Activated Composite Cementitious Materials System. Materials 2023, 16, 3590. https://doi.org/10.3390/ma16093590
Chen Y, Wu X, Yin W, Tang S, Yan G. Effects of Waste Glass Powder on Rheological and Mechanical Properties of Calcium Carbide Residue Alkali-Activated Composite Cementitious Materials System. Materials. 2023; 16(9):3590. https://doi.org/10.3390/ma16093590
Chicago/Turabian StyleChen, Youzhi, Xiuqi Wu, Weisong Yin, Shichang Tang, and Ge Yan. 2023. "Effects of Waste Glass Powder on Rheological and Mechanical Properties of Calcium Carbide Residue Alkali-Activated Composite Cementitious Materials System" Materials 16, no. 9: 3590. https://doi.org/10.3390/ma16093590
APA StyleChen, Y., Wu, X., Yin, W., Tang, S., & Yan, G. (2023). Effects of Waste Glass Powder on Rheological and Mechanical Properties of Calcium Carbide Residue Alkali-Activated Composite Cementitious Materials System. Materials, 16(9), 3590. https://doi.org/10.3390/ma16093590

