Mechanical Energy Absorption Ability of Titanium-Based Porous Structures Produced by Various Powder Metallurgy Approaches
Abstract
1. Introduction
2. Materials and Methods
3. Results
3.1. Characteristics of the Original Structures
3.2. Compression of the Porous Materials
3.2.1. Quasi-Static Tests
3.2.2. Dynamic Impact Compression Tests
4. Discussion
4.1. Microstructures of Tested Samples
4.2. Strain Rate Sensitivity
4.3. Energy Absorption Characteristics
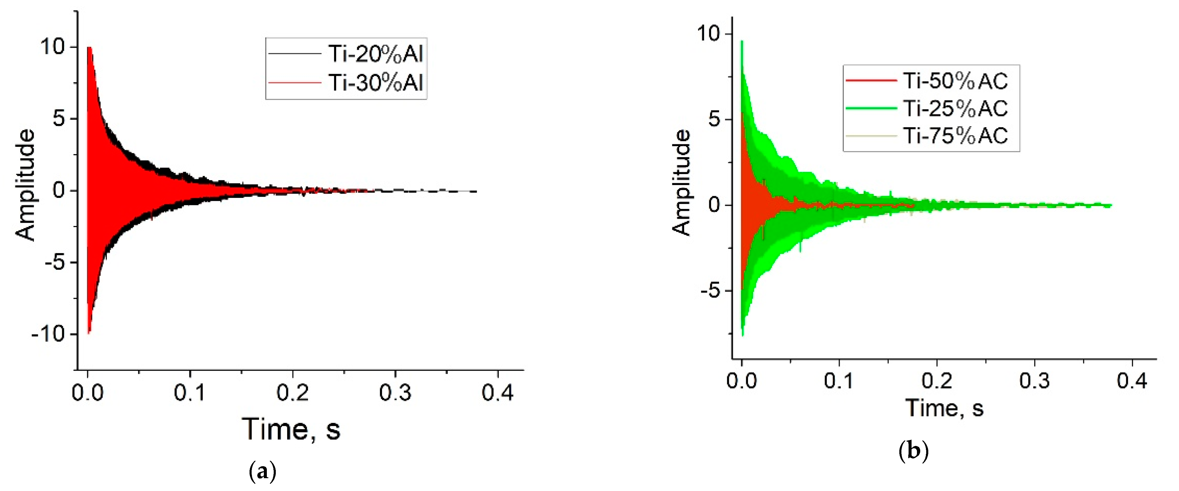
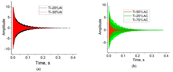
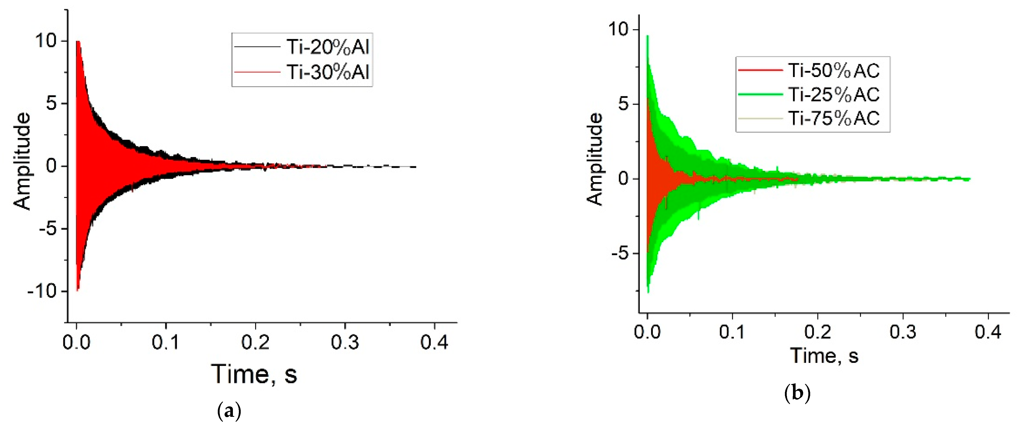
4.4. Damping Properties
4.5. Deformation Mechanism
4.6. Comparison with Other Porous and Cellular Metallic Materials
5. Conclusions
- Among the considered methods of manufacturing porous materials, the most promising is the use of ammonium carbonate as a pore holder. This method is quite simple and technologically convenient, providing controlled porosity and desired mechanical characteristics. Porous Ti-Al materials with fewer promising characteristics were produced using a reaction of molten Al with titanium particles. The worse characteristics of the sintered porous titanium were obtained using NaCl crystals as a space holder material.
- The mechanical behavior under quasi-static and dynamic compression of porous titanium materials obtained by various methods was determined by two main factors: (a) the porosity value and (b) the presence of additional phases, such as titanium aluminides in the case of Ti-Al materials. Single-phase (h.c.p.) porous titanium produced with ammonium carbonate demonstrated a mechanical behavior that was similar to a solid metal if the material porosity was lower than 50%. Otherwise, the tested Ti porous materials behave similar to metal foams. In the case of porous Ti-Al materials, the presence of brittle intermetallic phases led to a sharp decrease in plasticity and material fracture at the beginning stages of deformation. The higher the content of aluminum used for pore formation, the greater the number of intermetallic compounds formed and the earlier and more extensively cracking of the material.
- It was found that porous titanium materials were sensitive to the strain rate when the latter exceeded 103 s−1. The highest sensitivity to the strain rate was shown by the materials prepared using aluminum. Specimens prepared with ammonium carbonate were much less sensitive to the strain rate. However, the dependence of the strain rate sensitivity on the porosities of these specimens was ambiguous, probably due to the effect of the presence of gases trapped in the pores.
- The porous titanium matrix produced using ammonium carbonate demonstrated plastic deformation behavior until the porous structure was fully densified, allowing the accumulation of essentially more mechanical energy, possessing higher energy absorption capacity. In contrast, the cracking of the brittle Al-Ti intermetallic bridges between the pores at relatively early stages of compression resulted in a relatively low impact energy absorption capacity.
Author Contributions
Funding
Institutional Review Board Statement
Informed Consent Statement
Data Availability Statement
Acknowledgments
Conflicts of Interest
References
- Banhart, J. Manufacture, Characterization and application of cellular metals and metal foams. Prog. Mater. Sci. 2001, 46, 559–632. [Google Scholar] [CrossRef]
- Kobashi, M.; Miyake, S.; Kanetake, N. Hierarchical open cellular porous TiAl manufactured by space holder process. Intermetallics 2013, 42, 32–34. [Google Scholar] [CrossRef]
- Takata, N.; Uematsu, K.; Kobashi, M. Compressive properties of porous Ti–Al alloys fabricated by reaction synthesis using a space holder powder. Mater. Sci. Eng. 2017, A697, 66–70. [Google Scholar] [CrossRef]
- Dmitruk, A.; Naplocha, K.; Pach, J.; Pyka, D.; Ziółkowski, G.; Bocian, M.; Jamroziak, K. Experimental and Numerical Study of Ballistic Resistance of Composites Based on Sandwich Metallic Foams. Appl. Compos. Mater. 2021, 28, 2021–2044. [Google Scholar] [CrossRef]
- Gaitanaros, S.; Kyriakides, S. On the effect of relative density on the crushing of open-cell foams under impact and energy absorption. Int. J. Impact Eng. 2015, 82, 3–13. [Google Scholar] [CrossRef]
- Zhang, X.X.; Hou, H.W.; Wei, L.S.; Chen, Z.X.; Wei, W.T.; Geng, L. High damping capacity in porous NiTi alloy with bimodal pore architecture. J. Alloys Compd. 2013, 550, 297–301. [Google Scholar] [CrossRef]
- Ye, B.; Dunand, D.C. Titanium foams produced by solid-state replication of NaCl powders. Mater. Sci. Eng. A 2010, 528, 691–697. [Google Scholar] [CrossRef]
- Jha, N.; Mondal, D.P.; Dutta Majumdar, J.; Badkul, A.; Jha, A.K.; Khare, A.K. Highly porous open cell Ti-foam using NaCl as temporary space holder through powder metallurgy route. Mater. Des. 2013, 47, 810–819. [Google Scholar] [CrossRef]
- Arakawa, Y.; Kobashi, M.; Kanetake, N. Foaming behavior of long-scale Al-Ti intermetallic foam by SHS mode combustion reaction. Intermetallics 2013, 41, 22–27. [Google Scholar] [CrossRef]
- Neto, F.C.; Giaretton, M.V.; Neves, G.O.; Aguilar, C.; Tramontin Souza, M.; Binder, C.; Klein, A.N. An Overview of Highly Porous Titanium Processed via Metal Injection Molding in Combination with the Space Holder Method. Metals 2022, 12, 783. [Google Scholar] [CrossRef]
- Suzuki, A.; Kosugi, N.; Takata, N.; Kobashi, M. Microstructure and compressive properties of porous hybrid materials consisting of ductile Al/Ti and brittle Al3Ti phases fabricated by reaction sintering with space holder. Mater. Sci. Eng. A 2020, 776, 139000. [Google Scholar] [CrossRef]
- Ivasishin, O.M.; Anokhin, V.M.; Demidik, A.N.; Savvakin, D.G. Cost-Effective Blended Elemental Powder Metallurgy of Titanium Alloys for Transportation Application. Key Eng. Mater. 2000, 188, 55–62. [Google Scholar] [CrossRef]
- Ivasishin, O.M.; Moxson, V.S. Low cost titanium hydride powder metallurgy. In Titanium Powder Metallurgy, Science, Technology and Applications; Qian, M., Froes, S.H., Eds.; Butterworth-Heinemann; Elsevier: Oxford, UK, 2015; Chapter 8; pp. 117–148. [Google Scholar]
- Wang, Y.-G.; Tao, J.; Zhang, J.-L.; Wang, T. Effects of addition of NH4HCO3 on pore characteristics and compressive properties of porous Ti-10%Mg composites. Trans. Nonferrous Met. Soc. China 2011, 21, 1074–1079. [Google Scholar] [CrossRef]
- Dahms, M.; Leitner, G.; Poessnecker, W.; Schultrich, S.; Schmelzer, F. Pore formation during reactive sintering of extruded titanium-aluminum powder mixtures. Z. Metallkd. 1993, 84, 351–357. [Google Scholar] [CrossRef]
- Liu, J.; He, S.; Zhao, H.; Li, G.; Wang, M. Experimental investigation on the dynamic behaviour of metal foam: From yield to densification. Int. J. Impact Eng. 2018, 114, 69–77. [Google Scholar] [CrossRef]
- Duan, Y.; Du, B.; Shi, X.; Hou, B.; Li, Y. Quasi-static and dynamic compressive properties and deformation mechanisms of 3D printed polymeric cellular structures with kelvin cells. Int. J. Impact Eng. 2019, 132, 103303. [Google Scholar] [CrossRef]
- Cao, B.T.; Hou, B.; Zhao, H.; Li, Y.L.; Liu, J.G. On the influence of the property gradient on the impact behavior of graded multilayer sandwich with corrugated cores. Int. J. Impact Eng. 2018, 113, 98–105. [Google Scholar] [CrossRef]
- Markovsky, P.E.; Janiszewski, J.; Bondarchuk, V.I.; Stasyuk, O.O.; Skoryk, M.A.; Cieplak, K.; Dziewit, P.; Prikhodko, S. Effect of Strain Rate on Microstructure Evolution and Mechanical Behavior of Titanium-Based Materials. Metals 2020, 10, 1404. [Google Scholar] [CrossRef]
- Antolak-Dudka, A.; Płatek, P.; Durejko, T.; Baranowski, P.; Małachowski, J.; Sarzynski, M.; Czujko, T. Static and Dynamic Loading Behavior of Ti6Al4V Honeycomb Structures Manufactured by Laser Engineered Net Shaping (LENSTM). Technol. Mater. 2019, 12, 1225. [Google Scholar] [CrossRef]
- Wang, X.; Li, J.; Hu, R.; Kou, H.; Zhou, L. Mechanical properties of porous titanium with different distributions of pore size. Trans. Nonferrous Met. Soc. China 2019, 23, 2317–2322. [Google Scholar] [CrossRef]
- Sun, Y.; Li, Q.M. Dynamic compressive behaviour of cellular materials: A review of phenomenon, mechanism and modelling. Int. J. Impact Eng. 2018, 112, 74–115. [Google Scholar] [CrossRef]
- Gibson, L.; Ashby, M. Cellular Solids: Structure and Properties; Cambridge University Press: Cambridge, UK, 1997. [Google Scholar] [CrossRef]
- Zhao, H.; Xie, Z.L.; Zhong, T.; Sun, T.; Fezza, K.; Cai, Y.; Huan, J.Y.; Luo, S.N. Strain rate effects on the mechanical behavior of porous titanium with different pore sizes. J. Mater. Sci. Eng. 2021, 821, 141593. [Google Scholar] [CrossRef]
- Sun, Y.; Li, Q.M. Effect of entrapped gas on the dynamic compressive behaviour of cellular solids. Int. J. Solids Struct. 2015, 63, 50–67. [Google Scholar] [CrossRef]
- Böhm, A.; Kieback, B. Investigation of Swelling Behavior of Ti–Al Elemental Powder Mixtures During Reaction Sintering. Int. J. Mater. Res. 2021, 89, 90–95. [Google Scholar] [CrossRef]
- Chen, W.; Hao, H.; Hughes, D.; Shi, Y.; Cui, J.; Li, Z.X. Static and dynamic mechanical properties of expanded polystyrene. Mater. Des. 2015, 69, 170–180. [Google Scholar] [CrossRef]
- Jing, L.; Su, X.; Yang, F.; Ma, H.; Zhao, L. Compressive strain rate dependence and constitutive modeling of closed-cell aluminum foams with various relative densities. J. Mater. Sci. 2018, 53, 14739–14757. [Google Scholar] [CrossRef]
- Tan, P.J.; Harrigan, J.J.; Reid, S.R. Inertia effects in uniaxial dynamic compression of a closed cell aluminium alloy foam. Mater. Sci. Technol. 2002, 18, 480–488. [Google Scholar] [CrossRef]
- Firstov, S.; Podrezov, Y. Optimization of Mechanical Properties of Porous Materials. Powder Metall. Prog. 2001, 1, 5–18. [Google Scholar] [CrossRef]
- Markovsky, P.E.; Janiszewski, J.; Savvakin, D.G.; Stasiuk, O.O.; Bondarchuk, V.I.; Cieplak, K.; Prikhodko, S.V. Mechanical behavior of bilayer structures of Ti64 alloy and its composites with TiC or TiB under quasi-static and dynamic compression. Mater. Des. 2022, 223, 111205. [Google Scholar] [CrossRef]























| Weight % of Pore Holder, or Pore Forming Substance | Vacuum Sintering Temperature, °C | Sintering Exposure, Hours | Porosity, % | , g/cm3 | Relative Density | |
|---|---|---|---|---|---|---|
| CP-Ti, Type #1, NaCl as space holder | ||||||
| 1 | 60 | 1000 + 1200 | 0.5 + 2 | 71 | 1.31 ± 0.02 | 0.29 |
| Ti-Al, Type #2, Al for pores formation | ||||||
| 2 | 20 | 1000 | 0.5 | 35 | 2.729 ± 0.037 | 0.65 |
| 3 | 30 | 1000 | 0.5 | 42 | 2.244 ± 0.054 | 0.58 |
| CP-Ti, Type #3, ammonia carbonate [(NH4)2CO3] as space holder | ||||||
| 4 | 25 | 1250 | 2 | 37 | 2.850 ± 0.026 | 0.63 |
| 5 | 50 | 1250 | 2 | 49 | 2.281 ± 0.034 | 0.51 |
| 6 | 75 | 1250 | 2 | 57 | 1.922 ± 0.019 | 0.43 |
| Ti-20%Al | Ti-30%Al | Ti-25%AC | Ti-50%AC | Ti-75%AC | |
|---|---|---|---|---|---|
| from | - | 0.51 | - | 0.49 | 0.59 |
| from Gibson & Ashby formula | 0.39 | 0.50 | 0.37 | 0.48 | 0.57 |
| Material | Resonance Frequency (Hz) | Loss Rate (%) | Damping Ability | Young Modulus (GPa) |
|---|---|---|---|---|
| Ti-20%Al | 4926 | 16 | 1 | 44 |
| Ti-30%Al | 4411 | 24 | 1.7 | 27 |
| Ti-25%AC | 5523 | 17 | 1.8 | 45 |
| Ti-50%AC | 4187 | 60 | 2.7 | 18 |
| Ti-75%AC | 4284 | 14 | 2.7 | 16 |
Disclaimer/Publisher’s Note: The statements, opinions and data contained in all publications are solely those of the individual author(s) and contributor(s) and not of MDPI and/or the editor(s). MDPI and/or the editor(s) disclaim responsibility for any injury to people or property resulting from any ideas, methods, instructions or products referred to in the content. |
© 2023 by the authors. Licensee MDPI, Basel, Switzerland. This article is an open access article distributed under the terms and conditions of the Creative Commons Attribution (CC BY) license (https://creativecommons.org/licenses/by/4.0/).
Share and Cite
Markovsky, P.E.; Janiszewski, J.; Stasiuk, O.O.; Savvakin, D.G.; Oryshych, D.V.; Dziewit, P. Mechanical Energy Absorption Ability of Titanium-Based Porous Structures Produced by Various Powder Metallurgy Approaches. Materials 2023, 16, 3530. https://doi.org/10.3390/ma16093530
Markovsky PE, Janiszewski J, Stasiuk OO, Savvakin DG, Oryshych DV, Dziewit P. Mechanical Energy Absorption Ability of Titanium-Based Porous Structures Produced by Various Powder Metallurgy Approaches. Materials. 2023; 16(9):3530. https://doi.org/10.3390/ma16093530
Chicago/Turabian StyleMarkovsky, Pavlo E., Jacek Janiszewski, Oleksandr O. Stasiuk, Dmytro G. Savvakin, Denys V. Oryshych, and Piotr Dziewit. 2023. "Mechanical Energy Absorption Ability of Titanium-Based Porous Structures Produced by Various Powder Metallurgy Approaches" Materials 16, no. 9: 3530. https://doi.org/10.3390/ma16093530
APA StyleMarkovsky, P. E., Janiszewski, J., Stasiuk, O. O., Savvakin, D. G., Oryshych, D. V., & Dziewit, P. (2023). Mechanical Energy Absorption Ability of Titanium-Based Porous Structures Produced by Various Powder Metallurgy Approaches. Materials, 16(9), 3530. https://doi.org/10.3390/ma16093530

