Polygonum cuspidatum Loaded Nanostructured Lipid Carriers for Dual Inhibition of TNF-α- and IL-6 Cytokines and Free Radical Species
Abstract
1. Introduction
2. Materials and Methods
2.1. Materials
2.2. Preparation of PgnC and/or DSG-Loaded Nanostructured Lipid Carriers
2.3. Determination of Particle Size and Polydispersity Index
2.4. Morphological Aspects of NLC
2.5. Zeta Potential Analysis
2.6. Differential Scanning Calorimetry (DSC)
2.7. The Entrapment Efficiency of Phytochemicals
2.8. In Vitro Antioxidant Activity of NLC
2.8.1. Chemiluminescence Assay
2.8.2. ABTS Assay
2.9. In Vitro Controlled Release
2.10. In Vitro Assessment of Cell Viability and Cytotoxicity
2.10.1. MTS Cell Viability Assay
2.10.2. Cytotoxicity vs. Cell Viability by Real-Time Cell Analysis (RTCA)
2.11. The Anti-Inflammatory Activity Using ELISA Assay
2.12. Statistical Analysis
3. Results and Discussion
3.1. Size, Stability, and Chemical Characteristics of Individual and Dual- NLC-To/Lo–Phytochemical Actives
- Entrapment efficiency of newly loaded and co-loaded NLC-To/Lo-herbal actives
- Structural changes in NLC-To/Lo following the incorporation of herbal actives
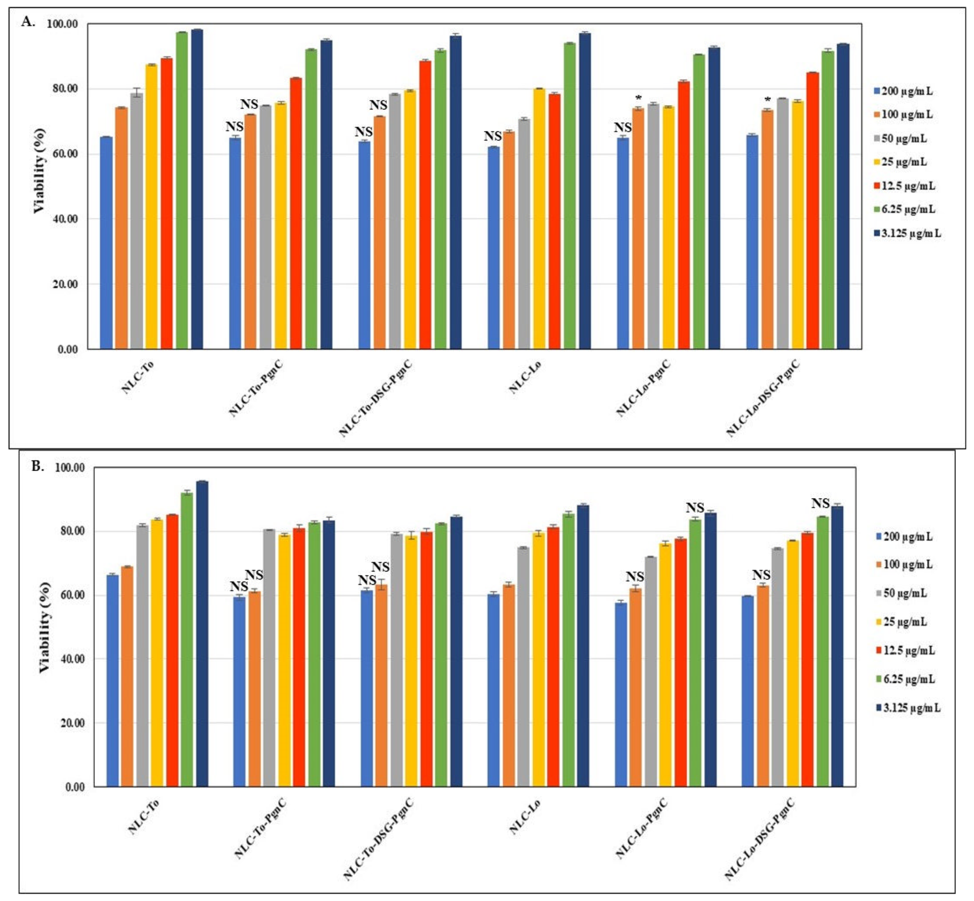
3.2. In Vitro Cytotoxicity of NLC (MTS and RTCA Assays)
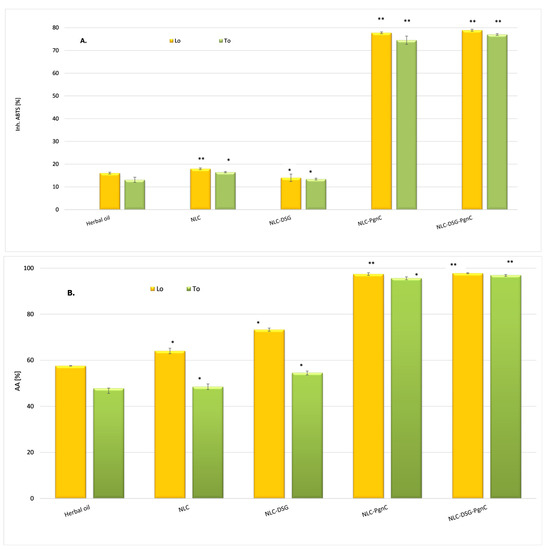
3.3. In Vitro Determination of Antioxidant Activity
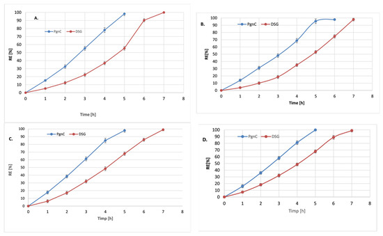
3.4. In Vitro Determination of Phytochemicals Co-Delivery
3.5. Kinetic Modelling Studies
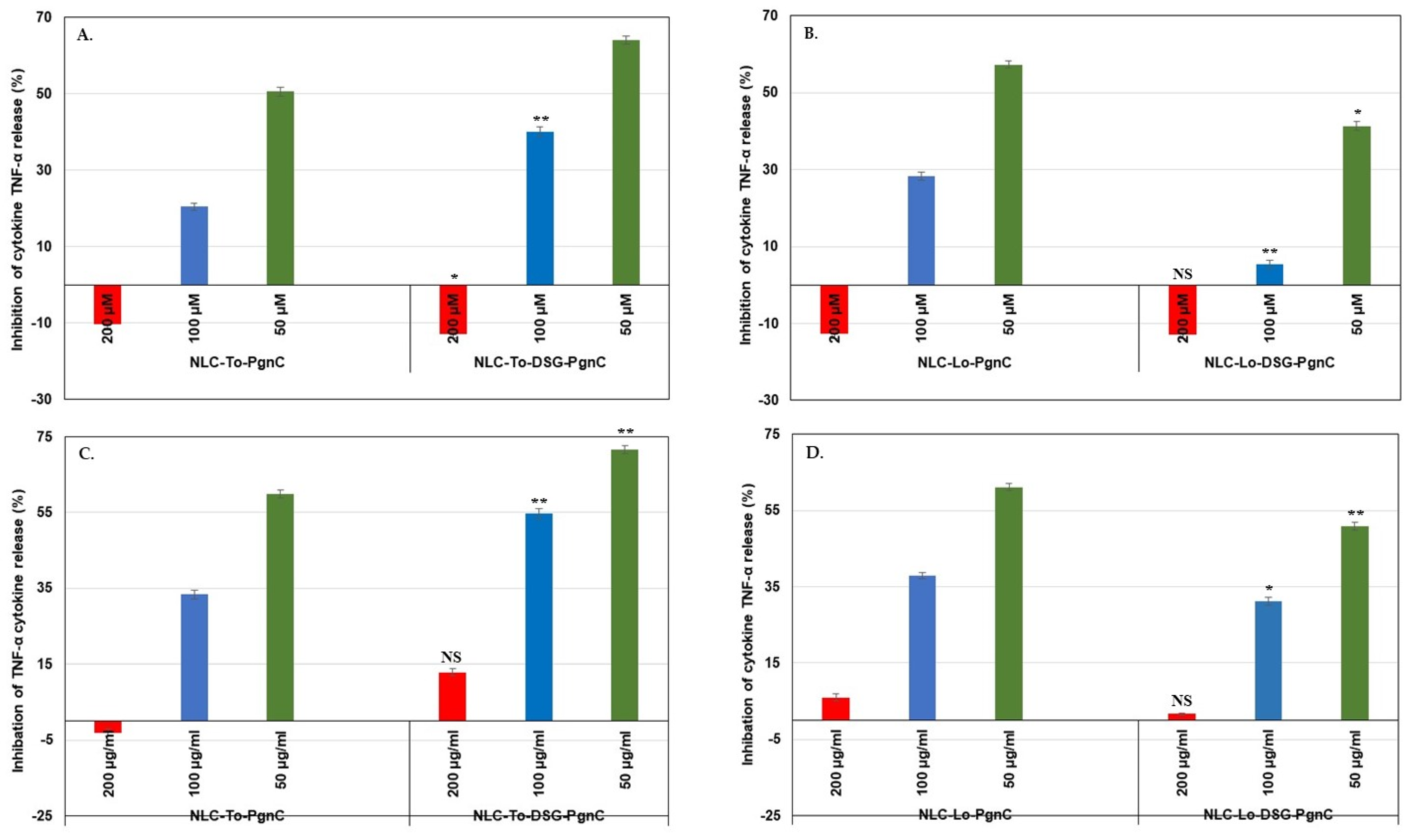
3.6. In Vitro Quantification of Anti-Inflammatory Action
4. Conclusions
Author Contributions
Funding
Institutional Review Board Statement
Informed Consent Statement
Data Availability Statement
Acknowledgments
Conflicts of Interest
References
- Rodino, S.; Butu, M. Herbal Extracts—New Trends in Functional and Medicinal Beverages. In Functional and Medicinal Beverages; Grumuzescu, A.M., Holban, A.M., Eds.; WoodHead Publishing: Sawston, UK, 2019; Volume 11, pp. 73–108. [Google Scholar]
- Fortune Bussiness Insights. Available online: https://www.fortunebusinessinsights.com/herbal-medicine-market-106320 (accessed on 3 February 2023).
- Al-kuraishy, H.M.; Al-Fakhrany, O.M.; Elekhnawy, E.; Al-Gareeb, A.I.; Alorabi, M.; De Waard, M.; Albogami, S.M.; El-Saber Batiha., G. Traditional herbs against COVID-19: Back to old weapons to combat the new pandemic. Eur. J. Med. Res. 2022, 27, 186. [Google Scholar] [CrossRef]
- Yuan, H.; Ma, Q.; Ye, L.; Piao, G. The Traditional Medicine and Modern Medicine from Natural Products. Molecules 2016, 21, 599. [Google Scholar] [CrossRef] [PubMed]
- Chakraborty, K.; Shivakumar, A.; Ramachandran, S. Nano-technology in herbal medicines: A review. Int. J. Herb. Med. 2016, 4, 21–27. [Google Scholar] [CrossRef]
- Barbinta-Patrascu, M.E. Liquid crystal biomimetic nanosystems loaded with vegetal extracts. Mol. Cryst. Liq. Cryst. 2019, 694, 32–39. [Google Scholar] [CrossRef]
- Dhiman, N.; Awasthi, R.; Sharma, B.; Kharkwal, H.; Kulkarni, G.T. Lipid Nanoparticles as Carriers for Bioactive Delivery. Front. Chem. 2021, 9, 580118. [Google Scholar] [CrossRef] [PubMed]
- Chauhan, I.; Yasir, M.; Verma, M.; Singh, A.P. Nanostructured Lipid Carriers: A Groundbreaking Approach for Transdermal Drug Delivery. Adv. Pharm. Bull. 2020, 10, 150–165. [Google Scholar] [CrossRef] [PubMed]
- Elmowafy, M.; Al-Saneac, M.M. Nanostructured lipid carriers (NLCs) as drug delivery platform: Advances in formulation and delivery strategies. Saudi. Pharm. J. 2021, 29, 999–1012. [Google Scholar] [CrossRef]
- Lacatusu, I.; Badea, N.; Udeanu, D.; Coc, L.; Pop, A.; Negut, C.C.; Tanase, C.; Stan, R.; Meghea, A. Improved anti-obesity effect of herbal active and endogenous lipids co-loaded lipid nanocarriers: Preparation, in vitro and in vivo evaluation. Mater. Sci. Eng. C 2019, 99, 12–24. [Google Scholar] [CrossRef]
- Ott, C.; Lacatusu, I.; Badea, G.; Grafu, I.A.; Istrati, D.; Babeanu, N.; Stan, R.; Badea, N.; Meghea, A. Exploitation of amaranth oil fractions enriched in squalene for dual delivery of hydrophilic and lipophilic actives. Ind. Crop. Prod. 2015, 77, 342–352. [Google Scholar] [CrossRef]
- Jaiswal, P.; Gidwani, B.; Vyas, A. Nanostructured lipid carriers and their current application in targeted drug delivery. Artif. Cells Nanomed. Biotechnol. 2016, 44, 27–40. [Google Scholar] [CrossRef] [PubMed]
- Lacatusu, I.; Iordache, T.A.; Mihaila, M.; Mihaiescu, D.E.; Pop, A.L.; Badea, N. Multifaced Role of Dual Herbal Principles Loaded-Lipid Nanocarriers in Providing High Therapeutic Efficacity. Pharmaceutics 2021, 13, 1511. [Google Scholar] [CrossRef] [PubMed]
- Arsenie, L.V.; Lacatusu, I.; Oprea, O.; Bordei, N.; Bacalum, M.; Badea, N. Azelaic acid-willow bark extract-panthenol—Loaded lipid nanocarriers improve the hydration effect and antioxidant action of cosmetic formulations. Ind. Crop. Prod. 2020, 154, 112658. [Google Scholar] [CrossRef]
- Lacatusu, I.; Istrati, D.; Bordei, N.; Popescu, M.; Seciu, A.M.; Panteli, L.M.; Badea, N. Synergism of plant extract and vegetable oils-based lipid nanocarriers: Emerging trends in development of advanced cosmetic prototype products. Mater. Sci. Eng. C 2020, 108, 110412. [Google Scholar] [CrossRef] [PubMed]
- Dai, M.; Yuan, D.; Lei, Y.; Li, J.; Ren, Y.; Zhang, Y.; Cang, H.; Gao, W.; Tang, Y. Expression, purification and structural characterization of resveratrol synthase from Polygonum cuspidatum. Protein Expr. Purif. 2021, 191, 106024. [Google Scholar] [CrossRef] [PubMed]
- Mantegna, S.; Binello, A.; Boffa, L.; Giorgis, M.; Cena, C.; Cravotto, G. A one-pot ultrasound-assisted water extraction/cyclodextrin encapsulation of resveratrol from Polygonum cuspidatum. Food Chem. 2012, 130, 746–750. [Google Scholar] [CrossRef]
- Peng, W.; Qin, R.; Li, X.; Zhou, H. Botany, phytochemistry, pharmacology, and potential application of Polygonum cuspidatum Sieb.et Zucc.: A review. J. Ethnopharmacol. 2013, 148, 729–745. [Google Scholar] [CrossRef]
- Pardo, G.D.; McClements, D.J. Resveratrol encapsulation: Designing delivery systems to overcome solubility, stability and bioavailability issues. Trends Food Sci. Technol. 2014, 38, 88–103. [Google Scholar] [CrossRef]
- De Vries, K.; Strydo, M.; Steenkamp, V. Bioavailability of resveratrol: Possibilities for enhancement. J. Herb. Med. 2018, 11, 71–77. [Google Scholar] [CrossRef]
- Fonseca, D.P.; Khalil, N.M.; Mainardes, R.M. Bovine serum albumin-based nanoparticles containing resveratrol: Characterization and antioxidant activity. J. Drug Deliv. Sci. Technol. 2017, 39, 147–155. [Google Scholar] [CrossRef]
- Kumar, S.; Sangwan, P.; Lather, V.; Pandita, D. Biocompatible PLGA-oil hybrid nanoparticles for high loading and controlled delivery of resveratrol. J. Drug Deliv. Sci. Technol. 2015, 30, 54–62. [Google Scholar] [CrossRef]
- Ahmadia, Z.; Mohammadinejadb, R.; Ashrafizadeh, M. Drug delivery systems for resveratrol, a non-flavonoid polyphenol: Emerging evidence in last decades. J. Drug Deliv. Sci. Technol. 2019, 51, 591–604. [Google Scholar] [CrossRef]
- Iskineyeva, A.; Fazylov, S.; Bakirova, R.; Sarsenbekova, A.; Pustoaikina, I.; Seilkhanov, O.; Alsfouk, A.A.; Elkaeed, E.B.; Eissa, I.H.; Metwaly, A.M. Combined In Silico and Experimental Investigations of Resveratrol Encapsulation by Beta-Cyclodextrin. Plants 2022, 11, 1678. [Google Scholar] [CrossRef] [PubMed]
- Gregoriou, Y.; Gregoriou, G.; Yilmaz, V.; Kapnisis, K.; Prokopi, M.; Anayiotos, A.; Strati, K.; Dietis, N.; Constantinou, A.I.; Andreou, C. Resveratrol loaded polymeric micelles for theranostic targeting of breast cancer cells. Nanotheranostics 2021, 5, 113–124. [Google Scholar] [CrossRef] [PubMed]
- Liu, M.D.; Cheng, Y.; Mei, Q.; Zhou, S. A resveratrol-loaded nanostructured lipid carrier hydrogel to enhance the anti-UV irradiation and anti-oxidant efficacy. Colloids Surf. B 2021, 204, 111786. [Google Scholar] [CrossRef]
- Neves, A.R.; Martins, S.; Segundo, M.A.; Reis, S. Nanoscale Delivery of Resveratrol towards Enhancement of Supplements and Nutraceuticals. Nutrients 2016, 8, 131. [Google Scholar] [CrossRef] [PubMed]
- Jesus, M.; Martins, A.P.J.; Gallardo, E.; Silvestre, S. Diosgenin: Recent Highlights on Pharmacology and Analytical Methodology. J. Anal. Methods Chem. 2016, 2016, 4156293. [Google Scholar] [CrossRef] [PubMed]
- Semwal, P.; Painuli, S.; Abu-Izneid, T.; Rauf, A.; Sharma, A.; Daştan, S.D.; Kumar, M.; Alshehri, M.M.; Taheri, Y.; Das, R.; et al. Diosgenin: An Updated Pharmacological Review and Therapeutic Perspectives. Oxid. Med. Cell Longev. 2022, 2022, 1035441. [Google Scholar] [CrossRef]
- Wang, D.; Wang, X. Diosgenin and Its Analogs: Potential Protective Agents Against Atherosclerosis. Drug Des. Devel. Ther. 2022, 16, 2305–2323. [Google Scholar] [CrossRef]
- Khan, H.; Nazir, S.; Farooq, R.K.; Khan, I.N.; Javed, A. Fabrication and Assessment of Diosgenin Encapsulated Stearic Acid Solid Lipid Nanoparticles for Its Anticancer and Antidepressant Effects Using in vitro and in vivo Models. Front. Neurosci. 2022, 15. [Google Scholar] [CrossRef]
- Chen, L.; Lan, J.; Li, Z.; Zeng, R.; Wang, Y.; Zhen, L.; Jin, H.; Ding, Y.; Zhang, T. A Novel Diosgenin-Based Liposome Delivery System Combined with Doxorubicin for Liver Cancer Therapy. Pharmaceutics 2022, 14, 1685. [Google Scholar] [CrossRef]
- Coc, L.M.C.; Lacatusu, I.; Badea, N.; Barbinta-Patrascu, M.E.; Meghea, A. Effective lipid nanocarriers based on linseed oil for delivery of natural polyphenolic active. J. Nanomater. 2021, 2021, 8853941. [Google Scholar] [CrossRef]
- Mihaila, M.; Bostan, M.; Hotnog, D.; Ferdes, M.; Brasoveanu, L.I. Real-time analysis of quercetin, resveratrol and /or doxorubicin effects in MCF-7 cells. Rom. Biotechnol. Lett. 2013, 18, 8106–8114. [Google Scholar]
- Berry, S.E.E. Tryacylglycerol structure and interesterification of palmitic and stearic acid-rich fats: An overview and implications for cardiovascular disease. Nutr. Res. Rev. 2009, 22, 3–17. [Google Scholar] [CrossRef] [PubMed]
- Niculae, G.; Lacatusu, I.; Badea, N.; Oprea, O.; Meghea, A. Optimization of lipid nanoparticles composition for sunscreen encapsulation. U.P.B. Sci. Bull. Ser. B 2013, 75, 79–92. [Google Scholar]
- Gokce, E.H.; Korkmaz, E.; Dellera, E.; Sandri, G.; Bonferoni, M.C.; Ozer, O. Resveratrol-loaded solid lipid nanoparticles versus nanostructured lipid carriers: Evaluation of antioxidant potential for dermal applications. Int. J. Nanomed. 2012, 7, 1841–1850. [Google Scholar] [CrossRef] [PubMed]
- Bunjes, H.; Unruh, T. Characterization of lipid nanoparticles by differential scanning calorimetry, X-ray and neutron scattering. Adv. Drug Deliv. Rev. 2007, 59, 379–402. [Google Scholar] [CrossRef] [PubMed]
- Pizzino, G.; Irrera, N.; Cucinotta, M.; Pallio, G.; Mannino, F.; Arcoraci, V.; Squadrito, F.; Altavilla, D.; Bitto, A. Oxidative Stress: Harms and Benefits for Human Health. Oxid Med. Cell Longev. 2017, 2017, 8416763. [Google Scholar] [CrossRef]
- Pan, Y.; Zhang, X.; Wang, H.; Liang, Y.; Zhu, J.; Li, H.; Zhang, Z.; Wu, Q. Antioxidant potential of ethanolic extract of Polygonum cuspidatum and application in peanut oil. Food Chem. 2007, 105, 1518–1524. [Google Scholar] [CrossRef]
- Adomėnienė, A.; Venskutonis, P.R. Dioscorea spp.: Comprehensive Review of Antioxidant Properties and Their Relation to Phytochemicals and Health Benefits. Molecules 2022, 27, 253. [Google Scholar] [CrossRef]
- Rabha, B.; Bharadwaj, K.K.; Baishya, D.; Sarkar, T.; Edinur, H.A.; Pati, S. Synthesis and Characterization of Diosgenin Encapsulated Poly-ε-Caprolactone-Pluronic Nanoparticles and Its Effect on Brain Cancer Cells. Polymers 2021, 13, 1322. [Google Scholar] [CrossRef]
- Siepmann, J.; Peppas, N.A. Modeling of drug release from delivery systems based on hydroxypropyl methylcellulose (HPMC). Adv. Drug Deliv. Rev. 2012, 64, 163–174. [Google Scholar] [CrossRef]
- Zhang, J.-M.; An, J. Cytokines, Inflammation, and Pain. Int. Anesthesiol. Clin. 2007, 45, 27–37. [Google Scholar] [CrossRef] [PubMed]
- Lacatusu, I.; Badea, G.; Popescu, M.; Bordei, N.; Istrati, D.; Moldovan, L.; Seciu, A.M.; Pandeli, M.I.; Rasit, I.; Badea, N. Marigold extract, azelaic acid and black caraway oil into lipid nanocarriers provides a strong anti-inflammatory effect in vivo. Ind. Crop. Prod. 2017, 109, 141–150. [Google Scholar] [CrossRef]








| Formulation | Zave (nm) | PdI | ξ (mV) | EEDSG and PgnC (%) |
|---|---|---|---|---|
| NLC-TO | 170.1 ± 2.97 | 0.153 ± 0.03 | −46.5 ± 0.40 | - |
| NLC-TO-DSG | 207.1 ± 3.40 | 0.169 ± 0.00 | −47.8 ± 0.85 | 86.59 ± 2.50 |
| NLC-TO-PgnC | 184.2 ± 2.72 | 0.219 ± 0.00 | −64.2 ± 0.72 | 73.00 ± 1.30 |
| NLC-TO-DSG-PgnC | 218.2 ± 0.89 | 0.114 ± 0.02 | −54.8 ± 1.00 | 63.30 ± 3.71 |
| 80.98 ± 0.15 | ||||
| NLC-LO | 150.5 ± 2.19 | 0.144 ± 0.00 | −48.0 ± 1.60 | - |
| NLC-LO-DSG | 200.5 ± 1.72 | 0.171 ± 0.01 | −47.9 ± 0.96 | 91.64 ± 0.31 |
| NLC-LO-PgnC | 164.3 ± 1.87 | 0.183 ± 0.01 | −55.4 ± 2.21 | 64.10 ± 1.50 |
| NLC-LO-DSG-PgnC | 193.9 ± 2.95 | 0.152 ± 0.02 | −52.8 ± 2.15 | 56.60 ± 1.21 |
| 86.98 ± 1.10 |
| Analysed Sample | Tm (°C) | ΔHm (J/g) | |
|---|---|---|---|
| 1 | Physical blend (GMS + CB + Lo) | 63.8 | 46.1 |
| 2 | NLC-Lo | 55.5 | 38.56 |
| 3 | NLC-Lo-DSG | 59.8 | 33.98 |
| 4 | NLC-Lo-PgnC | 55.4 | 36.66 |
| 5 | NLC-Lo-DSG-PgnC | 56.0 | 30.5 |
| 6 | Physical blend (GMS + CB + To) | 62.7 | 47.15 |
| 7 | NLC-To | 60.0 | 39.47 |
| 8 | NLC-To-DSG | 58.5 | 32.01 |
| 9 | NLC-To-PgnC | 54.6 | 38.51 |
| 10 | NLC-To-DSG-PgnC | 57.0 | 25.08 |
| Formulations | Phyt. | Order 0 | Order 1 | Higuchi | Hixson-Crowell | Peppas-Korsmeyer | ||||||
|---|---|---|---|---|---|---|---|---|---|---|---|---|
| R2 | k0 | R2 | k1 | R2 | k2 | R2 | k3 | R2 | k4 | n | ||
| NLC-To-DSG | DSG | 0.904 | 14.133 | 0.686 | 0.336 | 0.852 | 54.314 | 0.882 | 0.019 | 0.984 | 1.524 | 0.332 |
| NLC-To-PgnC | PgnC | 0.994 | 20.710 | 0.755 | 0.710 | 0.978 | 68.046 | 0.640 | 0.138 | 0.999 | 2.711 | 0.427 |
| NLC-To-DSG-PgnC | DSG | 0.937 | 14.104 * | 0.830 | 0.210 | 0.895 | 56.774 ** | 0.864 | 0.018 | 0.992 | 1.248 ** | 0.301 |
| PgnC | 0.984 | 17.641 *** | 0.847 | 0.648 * | 0.884 | 42.972 ** | 0.836 | 0.144 | 0.994 | 2.651 * | 0.443 | |
| NLC-Lo-DSG | DSG | 0.978 | 13.527 | 0.910 | 0.217 | 0.951 | 58.723 | 0.894 | 0.028 | 0.997 | 2.068 | 0.375 |
| NLC-Lo-PgnC | PgnC | 0.997 | 20.705 | 0.831 | 0.718 | 0.990 | 67.227 | 0.875 | 0.063 | 0.997 | 2.891 | 0.459 |
| NLC-Lo-DSG-PgnC | DSG | 0.983 | 15.080 ** | 0.823 | 0.328 ** | 0.958 | 58.704 ** | 0.893 | 0.028 | 0.999 | 1.903 * | 0.358 |
| PgnC | 0.997 | 20.467 ** | 0.917 | 0.401 ** | 0.968 | 65.339 *** | 0.926 | 0.067 | 0.999 | 2.787 * | 0.436 | |
Disclaimer/Publisher’s Note: The statements, opinions and data contained in all publications are solely those of the individual author(s) and contributor(s) and not of MDPI and/or the editor(s). MDPI and/or the editor(s) disclaim responsibility for any injury to people or property resulting from any ideas, methods, instructions or products referred to in the content. |
© 2023 by the authors. Licensee MDPI, Basel, Switzerland. This article is an open access article distributed under the terms and conditions of the Creative Commons Attribution (CC BY) license (https://creativecommons.org/licenses/by/4.0/).
Share and Cite
Iordache, T.-A.; Badea, N.; Mihaila, M.; Crisan, S.; Pop, A.L.; Lacatusu, I. Polygonum cuspidatum Loaded Nanostructured Lipid Carriers for Dual Inhibition of TNF-α- and IL-6 Cytokines and Free Radical Species. Materials 2023, 16, 3492. https://doi.org/10.3390/ma16093492
Iordache T-A, Badea N, Mihaila M, Crisan S, Pop AL, Lacatusu I. Polygonum cuspidatum Loaded Nanostructured Lipid Carriers for Dual Inhibition of TNF-α- and IL-6 Cytokines and Free Radical Species. Materials. 2023; 16(9):3492. https://doi.org/10.3390/ma16093492
Chicago/Turabian StyleIordache, Teodora-Alexandra, Nicoleta Badea, Mirela Mihaila, Simona Crisan, Anca Lucia Pop, and Ioana Lacatusu. 2023. "Polygonum cuspidatum Loaded Nanostructured Lipid Carriers for Dual Inhibition of TNF-α- and IL-6 Cytokines and Free Radical Species" Materials 16, no. 9: 3492. https://doi.org/10.3390/ma16093492
APA StyleIordache, T.-A., Badea, N., Mihaila, M., Crisan, S., Pop, A. L., & Lacatusu, I. (2023). Polygonum cuspidatum Loaded Nanostructured Lipid Carriers for Dual Inhibition of TNF-α- and IL-6 Cytokines and Free Radical Species. Materials, 16(9), 3492. https://doi.org/10.3390/ma16093492

