Study on Carbon Fixation Ratio and Properties of Foamed Concrete
Abstract
1. Introduction
2. Experimental Design
2.1. Preparation of Foam Concrete Materials
2.2. CO2 Curing and Sequestration
2.3. Characterizations
3. Experimental Results and Analysis
3.1. Effects of Water–Cement Ratio on CO2 Sequestration
3.1.1. XRD Analysis
3.1.2. SEM Analysis
3.1.3. BET Analysis
3.1.4. CO2 Sequestration
3.2. Effects of Foaming Agent Dosage on CO2 Sequestration
3.2.1. XRD Analysis
3.2.2. SEM Analysis
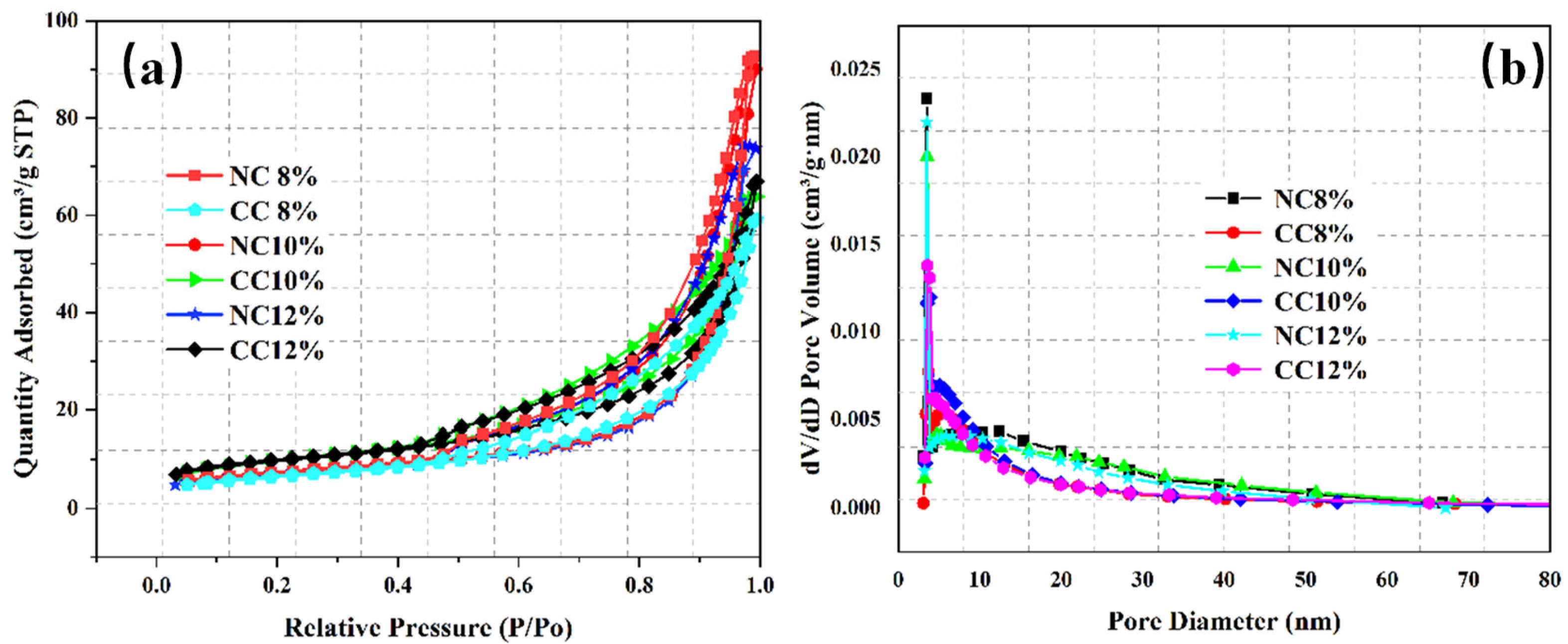
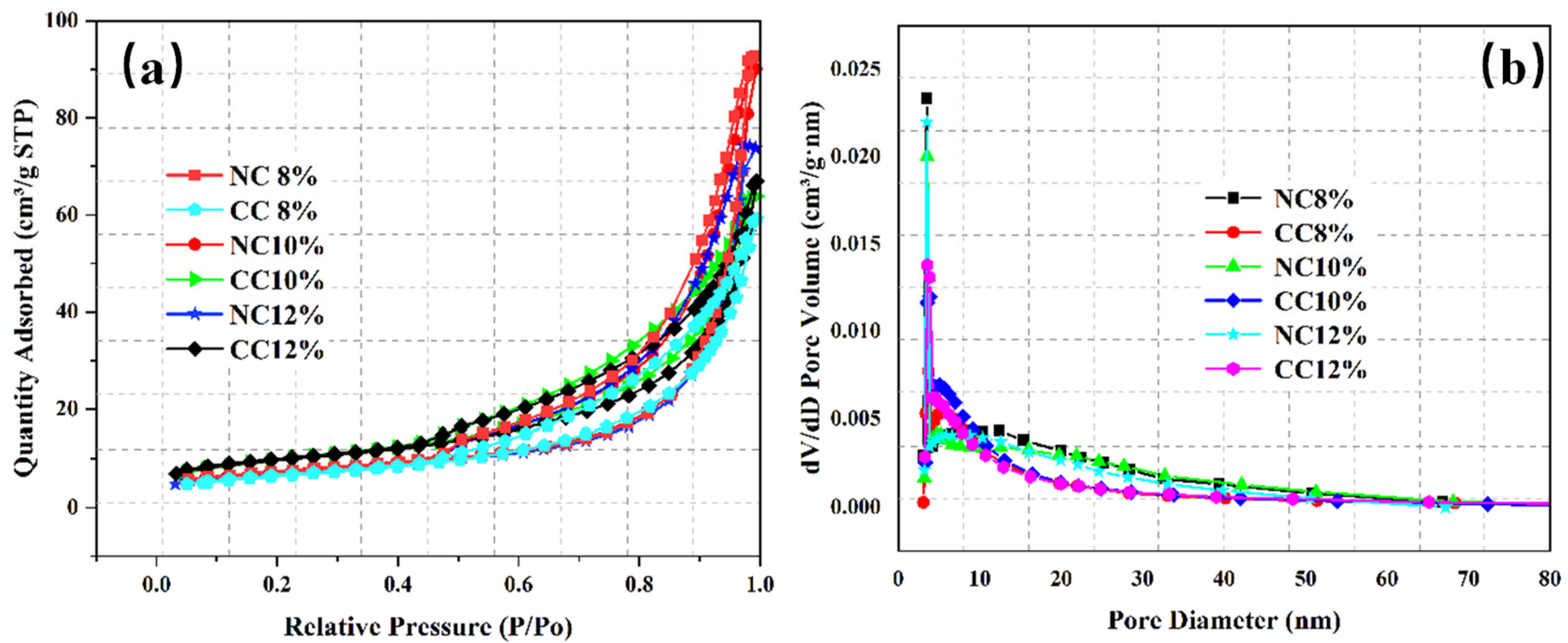
3.2.3. BET Analysis
3.2.4. CO2 Sequestration
4. Discussion
5. Conclusions
Author Contributions
Funding
Data Availability Statement
Conflicts of Interest
References
- Hendriks, C. Energy Conversion: CO2 Removal from Coal-Fired Power Plant; Kluwer Academic Publishers: Dordrecht, The Netherlands, 1995; p. 7. [Google Scholar]
- Takamura, Y.; Narita, S.; Aoki, J.; Uchida, S. Application of high-PSA process for improvement of CO2 recovery system. Can. J. Chem. Eng. 2001, 79, 812–816. [Google Scholar] [CrossRef]
- Audus, H. Leading options for the capture of CO2 at power stations. In Proceedings of the 5th International Conference on Greenhouse Gas Controltechnology, Cairns, Australia, 13–16 August 2000. [Google Scholar]
- Englezos, P.; Ripmeester, J.A.; Kumar, R.; Linga, P. Hydrate processes for CO2 capture and scale up using a new apparatus. In Proceedings of the International Conference on Gas Hydrates, Vancouver, BC, Canada, 6–10 July 2008; ICGH: Lincolnton, NC, USA, 2008. [Google Scholar]
- Gottlicher, G.; Pruschek, R. Comparison of CO2 removal systems for fossil fuelled power plants. Energy Convers. Manag. 1997, 38, 173–178. [Google Scholar] [CrossRef]
- Dooley, J.J.; Davidson, C.L.; Dahowski, R.T. An assessment of the commercial availability of carbon dioxide capture and storage technologies as of June 2009. In Report for the US Department of Energy under a Contract no. DE-AC05-T6RL01830, PNNL-18520; Pacific Northwest National Lab: Richland, WA, USA, 2009. [Google Scholar]
- Leung, D.Y.C.; Caramanna, G.; Maroto-Valer, M.M. An overview of current status of carbon dioxide captureand storage technologies. Renew. Sustain. Energy Rev. 2014, 39, 426–443. [Google Scholar] [CrossRef]
- Dennis, Y.C.; Leung Aresta, M.; Dibenedetto, A. Utilisation of CO2 as a chemical feedstock: Opportunities and challenges. Dalton Trans. 2007, 28, 2975–2992. [Google Scholar]
- Nässén, J.; Hedenus, F.; Karlsson, S.; Holmberg, J. Concrete vs. wood in buildings: An energy system approach. Build. Environ. 2012, 51, 361–369. [Google Scholar] [CrossRef]
- Yang, K.; Seo, E.; Tae, S. Carbonation and CO2 uptake of concrete. Environ. Impact Assess 2014, 46, 43–52. [Google Scholar] [CrossRef]
- Bertos, M.F.; Simons, S.J.R.; Hills, C.D.; Carey, P.J. A review of accelerated carbonation technology in the treatment of cement-based materials and sequestration of CO2. J. Hazard. Mater. 2004, 112, 193–205. [Google Scholar]
- Ashraf, W. Carbonation of cement-based materials: Challenges and opportunities. Constr. Build. Mater. 2016, 120, 558–570. [Google Scholar] [CrossRef]
- Jang, J.G.; Kim, G.M.; Kim, H.J.; Lee, H.K. Review on recent advances in CO2 utilization and sequestration technologies in cement-based materials. Constr. Build. Mater. 2016, 127, 762–773. [Google Scholar] [CrossRef]
- Chen, H. Study on Regulation of Pore Structure of Chemical Foamed Concrete. Master’s Thesis, North China University of Science and Technology, Qinhuangdao, China, 2015. [Google Scholar]
- Kashef-Haghighi, S.; Shao, Y.; Ghoshal, S. Mathematical modeling of CO2 uptake by concrete during accelerated carbonation curing. Cem. Concr. Res. 2015, 67, 1–10. [Google Scholar] [CrossRef]
- Shi, C.; Liu, M.; He, P.; Ou, Z. Factors affecting kinetics of CO2 curing of concrete. J. Sustain. Cem.-Based Mater. 2012, 1, 24–33. [Google Scholar]
- Xue, Q.; Zhang, L.; Mei, K.; Wang, L.; Wang, Y.; Li, X.; Cheng, X.; Liu, H. Evolution of structural and mechanical properties of concrete exposed to high concentration CO2. Constr. Build. Mater. 2022, 343, 128077. [Google Scholar] [CrossRef]
- Wu, H.; Zhou, M.; Wang, H.; Ge, X. Research on composition design of foam ceramics with bauxite tailing. New Build. Mater. 2020, 47, 153–158. [Google Scholar]
- Wang, Q.; Yu, H.; Ben, T.; Li, Q.; Li, F.; Xu, H.; Qiao, H.; Du, Q. Preparation of Light-weight High-strength Thermal Insulation and Decoration Integration Building Materials Using Red Mud as Raw Materials. Bull. Chin. Ceram. Soc. 2018, 37, 1393–1398. [Google Scholar]
- Guo, J.; Wang, Z. Preparation and Study of Gold Tailings Foam Cement. Multipurp. Util. Miner. Resour. 2017, 53, 119–122. [Google Scholar]
- Lei, W.; Wang, Y.; Liu, X. Study on development and production process of foam cement panels. Fly Ash Compr. Util. 2013, 6, 40–41. [Google Scholar]
- Zhang, H.; Qi, X.; Wan, L.; Zuo, Z.; Ge, Z.; Wu, J.; Song, X. Properties of silt-based foamed concrete: A type of material for use in backfill behind an abutment. Constr. Build. Mater. 2020, 261, 119966. [Google Scholar] [CrossRef]
- Cai, H. Study on the Constitutive Relations of Sulfoaluminate Foam Concrete. Master’s Thesis, Jilin Jianzhu University, Changchun, China, 2014. [Google Scholar]
- Łach, M.; Korniejenko, K.; Mikuła, J. Thermal Insulation and Thermally Resistant Materials Made of Geopolymer Foams. Procedia Eng. 2016, 151, 410–416. [Google Scholar] [CrossRef]
- Chen, H. Research on the Control of the Pore Structure of Chemically Foamed Concrete. Master’s Thesis, North China University of Science and Technology, Qinhuangdao, China, 2015. [Google Scholar]
- Xi, Y. Study on the Pore Structure and Properties of Foam Concrete. Master’s Thesis, Nanjing University of Aeronautics and Astronautics, Nanjing, China, 2016. [Google Scholar]
- Zhang, J.; Yan, Y.; Hu, Z. Preparation and characterization of foamed concrete with Ti-extracted residues and red gypsum. Constr. Build. Mater. 2018, 171, 109–119. [Google Scholar] [CrossRef]
- Liu, X.; Ni, C.; Meng, K.; Zhang, L.; Liu, D.; Sun, L. Strengthening mechanism of lightweight cellular concrete filled with fly ash. Constr. Build. Mater. 2020, 251, 118954. [Google Scholar] [CrossRef]
- Zhang, C.; Cai, J.; Kong, D. Influence of carbon dioxide curing process on cement hydration hardening performance. Gansu Water Resour. Hydropower Technol. 2018, 54, 37–40. [Google Scholar]
- Bonenfant, D.; Kharoune, L.; Sauvé, S.; Hausler, R.; Niquette, P.; Mimeault, M.; Kharoune, M. CO2 Sequestration by Aqueous Red Mud Carbonation at Ambient Pressure and Temperature. Indengchemres 2008, 47, 7617–7622. [Google Scholar] [CrossRef]
- Zhang, Y. Preparation and Adsorption Properties of Open-Pore Foam Concrete. Master’s Thesis, Southwest University of Science and Technology, Mianyang, China, 2017. [Google Scholar]
- Candamano, S.; Policicchio, A.; Conte, G.; Abarca, R.; Algieri, C.; Chakraborty, S.; Curcio, S.; Calabro, V.; Crea, F.; Agostino, R.G. Preparation of foamed and unfoamed geopolymer/nax zeolite/activated carbon composites for CO2 adsorption. J. Clean. Prod. 2022, 330, 129843. [Google Scholar] [CrossRef]












| Cement | Slag | Fly Ash | Water–Cement Ratio | 30% Hydrogen Peroxide | Calcium Oxide | Sodium Stearate |
|---|---|---|---|---|---|---|
| 50% | 35% | 15% | 0.4 | 10% | 5% | 0.8% |
| 0.7 | ||||||
| 0.8 | ||||||
| 0.7 | 8% | |||||
| 12% |
Disclaimer/Publisher’s Note: The statements, opinions and data contained in all publications are solely those of the individual author(s) and contributor(s) and not of MDPI and/or the editor(s). MDPI and/or the editor(s) disclaim responsibility for any injury to people or property resulting from any ideas, methods, instructions or products referred to in the content. |
© 2023 by the authors. Licensee MDPI, Basel, Switzerland. This article is an open access article distributed under the terms and conditions of the Creative Commons Attribution (CC BY) license (https://creativecommons.org/licenses/by/4.0/).
Share and Cite
Wei, Y.; Cao, X.; Wang, G.; Zhang, M.; Lv, Z. Study on Carbon Fixation Ratio and Properties of Foamed Concrete. Materials 2023, 16, 3441. https://doi.org/10.3390/ma16093441
Wei Y, Cao X, Wang G, Zhang M, Lv Z. Study on Carbon Fixation Ratio and Properties of Foamed Concrete. Materials. 2023; 16(9):3441. https://doi.org/10.3390/ma16093441
Chicago/Turabian StyleWei, Yuansheng, Xiaoqiang Cao, Gang Wang, Mingguang Zhang, and Zhiwen Lv. 2023. "Study on Carbon Fixation Ratio and Properties of Foamed Concrete" Materials 16, no. 9: 3441. https://doi.org/10.3390/ma16093441
APA StyleWei, Y., Cao, X., Wang, G., Zhang, M., & Lv, Z. (2023). Study on Carbon Fixation Ratio and Properties of Foamed Concrete. Materials, 16(9), 3441. https://doi.org/10.3390/ma16093441
