Experimental Study on the Effect of Limestone Powder Content on the Dynamic and Static Mechanical Properties of Seawater Coral Aggregate Concrete (SCAC)
Abstract
1. Introduction
2. Materials and Methods
2.1. Raw Materials
2.2. Mix Proportion and Sample Preparation
2.3. Static Compressive and Tensile Strength Experiment
2.4. Dynamic Mechanical Properties Experiment
2.5. Digital Image Correlation Method
3. Results and Analysis
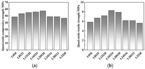
3.1. Static Test Results and Analysis
3.2. Dynamic Mechanical Testing Results and Analysis
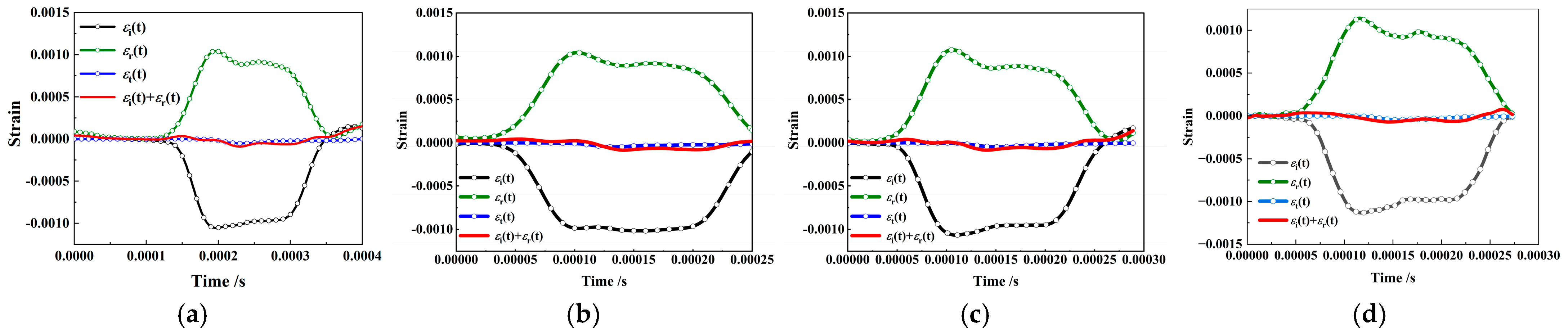
3.2.1. Typical Stress Waveform
3.2.2. Stress–Strain Curve
- Compaction stage (I): because there are fine cracks inside the concrete that close under the action of external forces, the curve shows a slow upward trend of strain hardening.
- Elastic stage (II): the specimen undergoes elastic-like deformation, and the curve grows in a nearly linear manner.
- Crack generation and propagation stage (III): microcracks begin to appear inside the specimen, and as the stress increases, the concrete specimen is destroyed. The cracks inside the concrete form rapidly, the density gradually increases, the stress reaches the maximum value, and the concrete also reaches its maximum bearing capacity.
- Fracture and failure stage (IV): the strain continues to increase, while the bearing capacity of the concrete decreases. At this stage, the micro-cracks of the concrete gradually penetrate until the specimen is complete destroyed.
3.2.3. Strain Rate Effect
3.3. Failure Process and Strain Field of SCAC in the SHPB Experiment
4. Conclusions
- The quasi-static mechanical properties of SCAC are closely related to the content of limestone powder. When the limestone powder content was between 8% and 20%, an improvement in the quasi-static compressive and tensile strength of the SCAC was achieved, and the improvement in the quasi-static compressive strength was the best when the limestone powder content was 20%. The improvement in the quasi-static tensile strength was the best when the limestone powder content was 16%.
- The dynamic tensile strength of SCAC demonstrated an obvious strain rate effect under dynamic load, and the dynamic tensile strength and DIF of SCAC increased with increasing strain rate grade; with increasing limestone powder content, the dynamic tensile strength of SCAC showed first an increasing trend and then a decreasing trend, reaching its maximum value when the limestone powder content was 16%.
- Under dynamic tensile loading, the failure of SCAC was caused by the development, connection and penetration of microcracks, and the failure position tended to expand from the edge to the center. The maximum strain value of SCAC with the same limestone powder content increased with increasing strain rate grade. Under the same strain rate, the change trend of the maximum strain value of SCAC with different limestone powder contents was not consistent with the change trend of stress, but fluctuated around a certain value.
Author Contributions
Funding
Institutional Review Board Statement
Informed Consent Statement
Data Availability Statement
Conflicts of Interest
References
- Li, H.; Liu, Y.; Liang, B.; Liu, F.; Wu, G.; Du, J.; Hou, H.; Li, A.; Shi, L. Demands and Challenges for Construction of Marine Infrastructures in China. Front. Struct. Civ. Eng. 2022, 16, 551–563. [Google Scholar] [CrossRef]
- Huang, Y.; Li, X.; Lu, Y.; Wang, H.; Wang, Q.; Sun, H.; Li, D. Effect of Mix Component on the Mechanical Properties of Coral Concrete under Axial Compression. Constr. Build. Mater. 2019, 223, 736–754. [Google Scholar] [CrossRef]
- Tan, Y.; Yu, H.; Mi, R.; Zhang, Y. Compressive Strength Evaluation of Coral Aggregate Seawater Concrete (CAC) by Non-Destructive Techniques. Eng. Struct. 2018, 176, 293–302. [Google Scholar] [CrossRef]
- Zhang, B.; Zhu, H.; Lu, F. Fracture Properties of Slag-Based Alkali-Activated Seawater Coral Aggregate Concrete. Theor. Appl. Fract. Mech. 2021, 115, 103071. [Google Scholar] [CrossRef]
- Zhang, B.; Zhu, H.; Dong, Z.; Wang, Q. Enhancement of Bond Performance of FRP Bars with Seawater Coral Aggregate Concrete by Utilizing Ecoefficient Slag-Based Alkali-Activated Materials. J. Compos. Constr. 2022, 26, 04021059. [Google Scholar] [CrossRef]
- Zhang, B.; Zhu, H.; Wang, Q.; Shah, K.W.; Wang, W. Design and Properties of Seawater Coral Aggregate Alkali-Activated Concrete. J. Sustain. Cem.-Based Mater 2022, 11, 175–184. [Google Scholar] [CrossRef]
- Yue, C.; Ma, H.; Yu, H.; Zhang, J.; Chen, L.; Mei, Q.; Tan, Y.; Liu, T. Experimental and Three-Dimensional Mesoscopic Simulation Study on Coral Aggregate Seawater Concrete with Dynamic Direct Tensile Technology. Int. J. Impact Eng. 2021, 150, 103776. [Google Scholar] [CrossRef]
- Long, W.-J.; Tang, J.; Li, H.-D.; Wang, Y.; Luo, Q.-L. Dynamic Mechanical Behavior of Fiber-Reinforced Seawater Coral Mortars. Materials 2020, 13, 118. [Google Scholar] [CrossRef]
- Wang, J.; Feng, P.; Hao, T.; Yue, Q. Axial Compressive Behavior of Seawater Coral Aggregate Concrete-Filled FRP Tubes. Constr. Build. Mater. 2017, 147, 272–285. [Google Scholar] [CrossRef]
- Liu, J.; Ou, Z.; Peng, W.; Guo, T.; Deng, W.; Chen, Y. Literature Review of Coral Concrete. Arab. J. Sci. Eng. 2018, 43, 1529–1541. [Google Scholar] [CrossRef]
- Da, B.; Yu, H.; Ma, H.; Tan, Y.; Mi, R.; Dou, X. Experimental Investigation of Whole Stress-Strain Curves of Coral Concrete. Constr. Build. Mater. 2016, 122, 81–89. [Google Scholar] [CrossRef]
- Xu, Q.; Ji, T.; Yang, Z.; Ye, Y. Preliminary Investigation of Artificial Reef Concrete with Sulphoaluminate Cement, Marine Sand and Sea Water. Constr. Build. Mater. 2019, 211, 837–846. [Google Scholar] [CrossRef]
- Ashish, D.K.; Verma, S.K. Cementing Efficiency of Flash and Rotary-Calcined Metakaolin in Concrete. J. Mater. Civ. Eng. 2019, 31, 04019307. [Google Scholar] [CrossRef]
- Mehta, A.; Ashish, D.K. Silica Fume and Waste Glass in Cement Concrete Production: A Review. J. Build. Eng. 2020, 29, 100888. [Google Scholar] [CrossRef]
- Huang, X.-W.; Guo, J.; Li, K.-Q.; Wang, Z.Z.; Wang, W. Predicting the Thermal Conductivity of Unsaturated Soils Considering Wetting Behavior: A Meso-Scale Study. Int. J. Heat Mass Transf. 2023, 204, 123853. [Google Scholar] [CrossRef]
- Li, K.-Q.; Li, D.-Q.; Liu, Y. Meso-Scale Investigations on the Effective Thermal Conductivity of Multi-Phase Materials Using the Finite Element Method. Int. J. Heat Mass Transf. 2020, 151, 119383. [Google Scholar] [CrossRef]
- Wang, X.; Yu, R.; Shui, Z.; Song, Q.; Zhang, Z. Mix Design and Characteristics Evaluation of an Eco-Friendly Ultra-High Performance Concrete Incorporating Recycled Coral Based Materials. J. Clean. Prod. 2017, 165, 70–80. [Google Scholar] [CrossRef]
- Liu, J.; Ju, B.; Xie, W.; Zhou, T.; Xiao, H.; Dong, S.; Yang, W. Evaluation of the Effects of Surface Treatment Methods on the Properties of Coral Aggregate and Concrete. Materials 2021, 14, 6784. [Google Scholar] [CrossRef]
- Yue, C.; Yu, H.; Ma, H.; Mei, Q.; Zhang, J.; Zhang, Y. Uniaxial Compression of Sisal Fiber-Reinforced Coral Concrete. ACI Mater. J. 2020, 117, 251–262. [Google Scholar] [CrossRef]
- Ma, H.; Yue, C.; Yu, H.; Mei, Q.; Chen, L.; Zhang, J.; Zhang, Y.; Jiang, X. Experimental Study and Numerical Simulation of Impact Compression Mechanical Properties of High Strength Coral Aggregate Seawater Concrete. Int. J. Impact Eng. 2020, 137, 103466. [Google Scholar] [CrossRef]
- Xu, D.; Liu, Q.; Qin, Y.; Chen, B. Analytical Approach for Crack Identification of Glass Fiber Reinforced Polymer-Sea Sand Concrete Composite Structures Based on Strain Dissipations. Struct. Health Monit. 2021, 20, 2778–2790. [Google Scholar] [CrossRef]
- Liu, B.; Guo, J.; Zhou, J.; Wen, X.; Deng, Z.; Wang, H.; Zhang, X. The Mechanical Properties and Microstructure of Carbon Fibers Reinforced Coral Concrete. Constr. Build. Mater. 2020, 249, 118771. [Google Scholar] [CrossRef]
- Wu, W.; Wang, R.; Zhu, C.; Meng, Q. The Effect of Fly Ash and Silica Fume on Mechanical Properties and Durability of Coral Aggregate Concrete. Constr. Build. Mater. 2018, 185, 69–78. [Google Scholar] [CrossRef]
- Cheng, S.; Shui, Z.; Sun, T.; Yu, R.; Zhang, G.; Ding, S. Effects of Fly Ash, Blast Furnace Slag and Metakaolin on Mechanical Properties and Durability of Coral Sand Concrete. Appl. Clay Sci. 2017, 141, 111–117. [Google Scholar] [CrossRef]
- Wang, Y.; Shui, Z.; Gao, X.; Huang, Y.; Yu, R.; Li, X.; Yang, R. Utilizing Coral Waste and Metakaolin to Produce Eco-Friendly Marine Mortar: Hydration, Mechanical Properties and Durability. J. Clean. Prod. 2019, 219, 763–774. [Google Scholar] [CrossRef]
- Li, P.P.; Brouwers, H.J.H.; Chen, W.; Yu, Q. Optimization and Characterization of High-Volume Limestone Powder in Sustainable Ultra-High Performance Concrete. Constr. Build. Mater. 2020, 242, 118112. [Google Scholar] [CrossRef]
- Wang, Y.; Liu, S.; Xuan, D.; Guan, X.; Zhang, H. Improving the Mechanical Properties of Sulfoaluminate Cement-Based Grouting Material by Incorporating Limestone Powder for a Double Fluid System. Materials 2020, 13, 4854. [Google Scholar] [CrossRef]
- Kang, S.-H.; Jeong, Y.; Tan, K.H.; Moon, J. High-Volume Use of Limestone in Ultra-High Performance Fiber-Reinforced Concrete for Reducing Cement Content and Autogenous Shrinkage. Constr. Build. Mater. 2019, 213, 292–305. [Google Scholar] [CrossRef]
- Sun, J.; Chen, Z. Influences of Limestone Powder on the Resistance of Concretes to the Chloride Ion Penetration and Sulfate Attack. Powder Technol. 2018, 338, 725–733. [Google Scholar] [CrossRef]
- Ma, L.; Li, Z.; Liu, J.; Duan, L.; Wu, J. Mechanical Properties of Coral Concrete Subjected to Uniaxial Dynamic Compression. Constr. Build. Mater. 2019, 199, 244–255. [Google Scholar] [CrossRef]
- Ma, H.; Wu, Z.; Yu, H.; Zhang, J.; Yue, C. Experimental and Three-Dimensional Mesoscopic Investigation of Coral Aggregate Concrete under Dynamic Splitting-Tensile Loading. Mater. Struct. 2020, 53, 12. [Google Scholar] [CrossRef]
- Feng, S.; Zhou, Y.; Wang, Y.; Lei, M. Experimental Research on the Dynamic Mechanical Properties and Damage Characteristics of Lightweight Foamed Concrete under Impact Loading. Int. J. Impact Eng. 2020, 140, 103558. [Google Scholar] [CrossRef]
- Xiong, B.; Demartino, C.; Xiao, Y. High-Strain Rate Compressive Behavior of CFRP Confined Concrete: Large Diameter SHPB Tests. Constr. Build. Mater. 2019, 201, 484–501. [Google Scholar] [CrossRef]
- Xue, G.; Yilmaz, E.; Feng, G.; Cao, S.; Sun, L. Reinforcement Effect of Polypropylene Fiber on Dynamic Properties of Cemented Tailings Backfill under SHPB Impact Loading. Constr. Build. Mater. 2021, 279, 122417. [Google Scholar] [CrossRef]
- Liu, X.; Dai, F.; Liu, Y.; Pei, P.; Yan, Z. Experimental Investigation of the Dynamic Tensile Properties of Naturally Saturated Rocks Using the Coupled Static–Dynamic Flattened Brazilian Disc Method. Energies 2021, 14, 4784. [Google Scholar] [CrossRef]
- Guo, Y.B.; Gao, G.F.; Jing, L.; Shim, V.P.W. Quasi-Static and Dynamic Splitting of High-Strength Concretes—Tensile Stress–Strain Response and Effects of Strain Rate. Int. J. Impact Eng. 2019, 125, 188–211. [Google Scholar] [CrossRef]
- Yang, S.; Tang, Z.; Zhong, W.; Wang, S.; Zhang, R.; Yao, X. Effects of Steel Fibers on the Dynamic Properties and Failure Process of Ultra-High Performance Concrete. J. Build. Eng. 2022, 62, 105415. [Google Scholar] [CrossRef]
- GB/T 14685-2022; Pebble and Crushed Stone for Construction. Standardization Administration of China: Beijing, China, 2022.
- Huang, J.; Zhang, Y.; Sun, Y.; Ren, J.; Zhao, Z.; Zhang, J. Evaluation of Pore Size Distribution and Permeability Reduction Behavior in Pervious Concrete. Constr. Build. Mater. 2021, 290, 123228. [Google Scholar] [CrossRef]
- GB 175-2007; Common Portland Cement. Standardization Administration of China: Beijing, China, 2007.
- GB/8076-2008; Concrete Admixtures. Standardization Administration of China: Beijing, China, 2008.
- Lv, J.; Zhou, T.; Li, K.; Sun, K. Shrinkage Properties of Self-Compacting Rubber Lightweight Aggregate Concrete: Experimental and Analytical Studies. Materials 2019, 12, 4059. [Google Scholar] [CrossRef]
- Ma, D.; Zhang, W.; Wang, X.; Zhang, R.; Zhou, Z.; Yang, Y.; Shi, Y. Effects of Curing Temperature on Mechanical Properties and Pore Size Distribution of Cement Clay Modified by Metakaolin and Basalt Fiber. J. Build. Eng. 2023, 68, 106232. [Google Scholar] [CrossRef]
- Ding, Z.W.; Jia, J.D.; Tang, Q.B.; Li, X.F. Mechanical Properties and Energy Damage Evolution Characteristics of Coal Under Cyclic Loading and Unloading. Rock Mech. Rock Eng. 2022, 55, 4765–4781. [Google Scholar] [CrossRef]
- Qiu, H.; Zhu, Z.; Wang, M.; Wang, F.; Luo, C.; Wan, D. Study of the Failure Properties and Tensile Strength of Rock-Mortar Interface Transition Zone Using Bi-Material Brazilian Discs. Constr. Build. Mater. 2020, 236, 117551. [Google Scholar] [CrossRef]
- Huang, K.; Wang, H.; Huang, K. Freeze-Thaw Cycle Effects on the Energy Dissipation and Strength Characteristics of Alkali Metakaolin-Modified Cement Soil under Impact Loading. Water 2023, 15, 730. [Google Scholar] [CrossRef]
- Zhang, T.; Liu, B.; Wei, Z.; Jiao, Z.; Song, Z.; Zhang, H. Dynamic Mechanical Responses and Crack Evolution of Burst-Prone Coal with a Single Prefabricated Fissure. Appl. Fract. Mech. 2022, 121, 103494. [Google Scholar] [CrossRef]
- Dai, F.; Huang, S.; Xia, K.; Tan, Z. Some Fundamental Issues in Dynamic Compression and Tension Tests of Rocks Using Split Hopkinson Pressure Bar. Rock Mech. Rock Eng. 2010, 43, 657–666. [Google Scholar] [CrossRef]
- Wang, J.; Tao, J. Determination of Tensile Strength at Crack Initiation in Dynamic Brazilian Disc Test for Concrete-like Materials. Buildings 2022, 12, 797. [Google Scholar] [CrossRef]
- Li, D.; Gao, F.; Han, Z.; Zhu, Q. Experimental Evaluation on Rock Failure Mechanism with Combined Flaws in a Connected Geometry under Coupled Static-Dynamic Loads. Soil Dyn. Earthq. Eng. 2020, 132, 106088. [Google Scholar] [CrossRef]
- Shoude, W.; Cheng, C.; Lingchao, L.; Xin, C. Effects of Slag and Limestone Powder on the Hydration and Hardening Process of Alite-Barium Calcium Sulphoaluminate Cement. Constr. Build. Mater. 2012, 35, 227–231. [Google Scholar] [CrossRef]
- Hemalatha, T.; Ramaswamy, A. A Review on Fly Ash Characteristics—Towards Promoting High Volume Utilization in Developing Sustainable Concrete. J. Clean. Prod. 2017, 147, 546–559. [Google Scholar] [CrossRef]
- Pei, P.; Dai, F.; Liu, Y.; Wei, M. Dynamic Tensile Behavior of Rocks under Static Pre-Tension Using the Flattened Brazilian Disc Method. Int. J. Rock Mech. Min. Sci. 2020, 126, 104208. [Google Scholar] [CrossRef]
- Bi, J.; Liu, P.; Gan, F. Effects of the Cooling Treatment on the Dynamic Behavior of Ordinary Concrete Exposed to High Temperatures. Constr. Build. Mater. 2020, 248, 118688. [Google Scholar] [CrossRef]
- Li, N.; Jin, Z.; Long, G.; Chen, L.; Fu, Q.; Yu, Y.; Zhang, X.; Xiong, C. Impact Resistance of Steel Fiber-Reinforced Self-Compacting Concrete (SCC) at High Strain Rates. J. Build. Eng. 2021, 38, 102212. [Google Scholar] [CrossRef]
- Zhou, X.Q.; Hao, H. Modelling of Compressive Behaviour of Concrete-like Materials at High Strain Rate. Int. J. Solids Struct. 2008, 45, 4648–4661. [Google Scholar] [CrossRef]
- Zhuang, W.; Li, S.; Wang, Z.; Zhang, Z.; Yu, Q. Impact of Micromechanics on Dynamic Compressive Behavior of Ultra-High Performance Concrete Containing Limestone Powder. Compos. Part B Eng. 2022, 243, 110160. [Google Scholar] [CrossRef]



















| Aggregate | Apparent Density (kg/m3) | Bulk Density (kg/m3) | Porosity (%) | One Hour Water Absorption (%) |
|---|---|---|---|---|
| Coarse | 1471 | 828 | 43.67 | 18.20 |
| Fine | 1864.2 | 1209 | 36.75 | 6.26 |
| Number | (LS:SG) | Cement | Limestone Powder | Slag Powder | Reef Limestone | Coral Sand | Water | Slushing Agent |
|---|---|---|---|---|---|---|---|---|
| L0S0 | - | 550 | 0 | 0 | 680 | 1020 | 165 | 8.25 |
| L8S32 | 2:8 | 330 | 44 | 176 | 680 | 1020 | 165 | 8.25 |
| L12S28 | 3:7 | 330 | 66 | 154 | 680 | 1020 | 165 | 8.25 |
| L16S24 | 4:6 | 330 | 88 | 132 | 680 | 1020 | 165 | 8.25 |
| L20S20 | 5:5 | 330 | 110 | 110 | 680 | 1020 | 165 | 8.25 |
| L24S16 | 6:4 | 330 | 132 | 88 | 680 | 1020 | 165 | 8.25 |
| L28S12 | 7:3 | 330 | 154 | 66 | 680 | 1020 | 165 | 8.25 |
| L32S8 | 8:2 | 330 | 176 | 44 | 680 | 1020 | 165 | 8.25 |
Disclaimer/Publisher’s Note: The statements, opinions and data contained in all publications are solely those of the individual author(s) and contributor(s) and not of MDPI and/or the editor(s). MDPI and/or the editor(s) disclaim responsibility for any injury to people or property resulting from any ideas, methods, instructions or products referred to in the content. |
© 2023 by the authors. Licensee MDPI, Basel, Switzerland. This article is an open access article distributed under the terms and conditions of the Creative Commons Attribution (CC BY) license (https://creativecommons.org/licenses/by/4.0/).
Share and Cite
Qi, J.; Jiang, L.; Zhu, M.; Mu, C.; Li, R. Experimental Study on the Effect of Limestone Powder Content on the Dynamic and Static Mechanical Properties of Seawater Coral Aggregate Concrete (SCAC). Materials 2023, 16, 3381. https://doi.org/10.3390/ma16093381
Qi J, Jiang L, Zhu M, Mu C, Li R. Experimental Study on the Effect of Limestone Powder Content on the Dynamic and Static Mechanical Properties of Seawater Coral Aggregate Concrete (SCAC). Materials. 2023; 16(9):3381. https://doi.org/10.3390/ma16093381
Chicago/Turabian StyleQi, Juan, Lili Jiang, Ming Zhu, Chaomin Mu, and Rui Li. 2023. "Experimental Study on the Effect of Limestone Powder Content on the Dynamic and Static Mechanical Properties of Seawater Coral Aggregate Concrete (SCAC)" Materials 16, no. 9: 3381. https://doi.org/10.3390/ma16093381
APA StyleQi, J., Jiang, L., Zhu, M., Mu, C., & Li, R. (2023). Experimental Study on the Effect of Limestone Powder Content on the Dynamic and Static Mechanical Properties of Seawater Coral Aggregate Concrete (SCAC). Materials, 16(9), 3381. https://doi.org/10.3390/ma16093381

