Prediction of Water Resistance of Magnesium Oxychloride Cement Concrete Based upon Hybrid-BP Neural Network
Abstract
1. Introduction
2. Test Method
2.1. Raw Materials
2.2. Test Plan
3. Methodology
3.1. Data Description
3.1.1. Data Distribution
3.1.2. Correlation Analysis
3.2. Procedure for Developing the Prediction Model
3.3. Theoretical Background
3.3.1. BPNN
3.3.2. Particle Swarm Optimization Algorithm
3.3.3. WOA-BPNN
3.3.4. GWO-BPNN

3.3.5. Evaluation Indicators
3.3.6. Principal Component Analysis
4. Results and Discussion
4.1. Determining the Optimal Mix Ratio
4.2. Model Establishment
4.3. Verification of the Model’s Predictive Ability
5. Conclusions
- The influence of water-resistant raw materials on MOCC’s compressive strength and softening coefficient was analyzed using the correlation coefficient matrix, and it was found that the content of n(MgO/MgCl2) was correlated negatively with the compressive strength and softening coefficient. The content of Class I fly ash and PA was correlated negatively with the compressive strength, and positively with the improvement in water resistance. The PF content was correlated positively with the compressive strength, and correlated both positively and negatively with the improvement in water resistance.
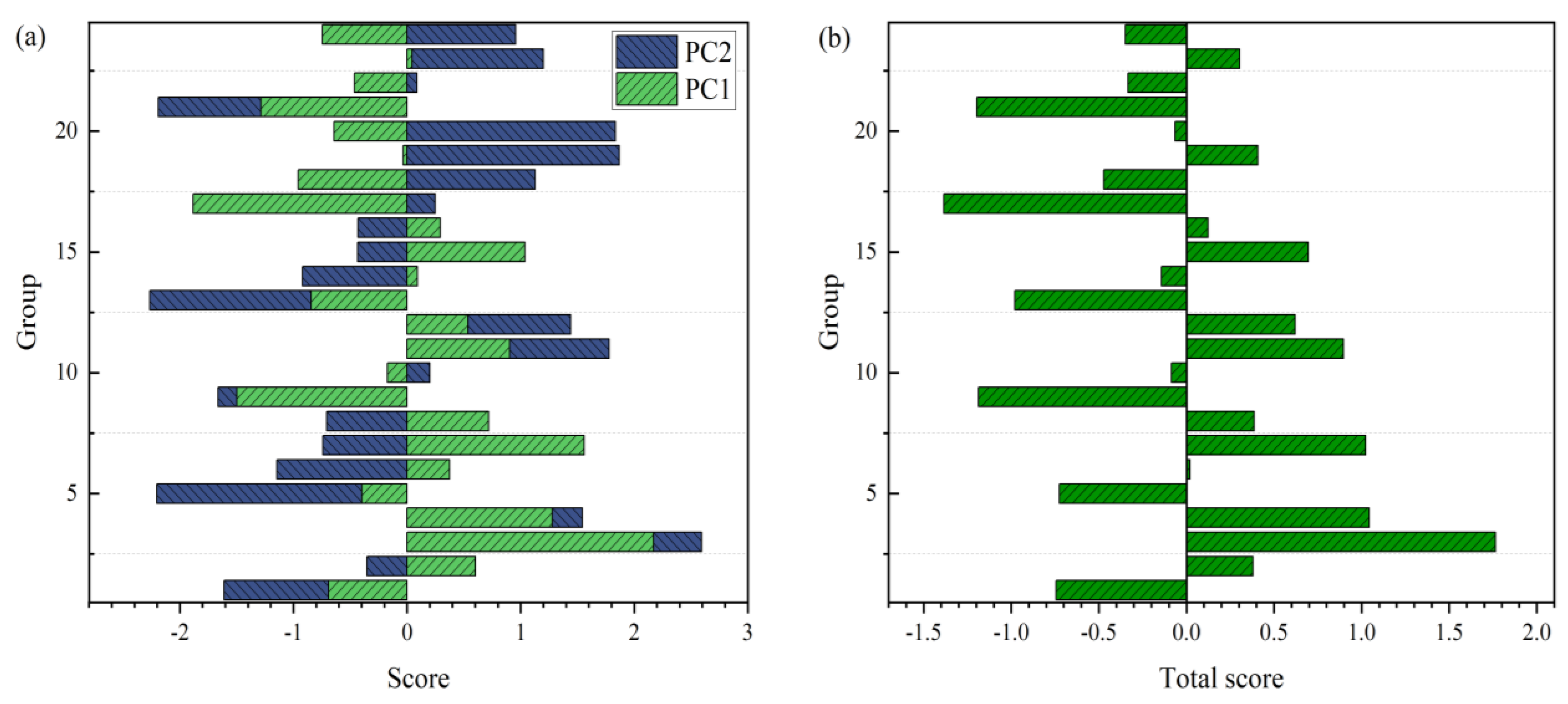
- The comprehensive score of AMPC-1-2 was 1.76 in the comparative analysis of the principal components’ comprehensive scores, which was the highest among all of the matches. Therefore, it was concluded that AMPC-1-2 is the optimal ratio.
- The dual factor output of MOCC’s compressive strength and softening coefficient was one of the main results of this study. The predictive ability of the PSO-BPNN, WOA-BPNN, and GWO-BPNN models was more powerful than that of the BPNN model, and among the three optimization models, the PSO-BPNN model had the highest predictive accuracy. In the prediction of compressive strength, the mean value of each evaluation parameter of PSO-BPNN was R2 = 0.10, MAE = 0.52, MAPE = 0.01, and RMSE = 0.73, while in the prediction of the softening coefficient, the mean value of each evaluation parameter was R2 = 0.10, MAE = 0.44, MAPE=0.01, and RMSE = 0.62.
Author Contributions
Funding
Institutional Review Board Statement
Informed Consent Statement
Data Availability Statement
Acknowledgments
Conflicts of Interest
References
- Wang, P.; Qiao, H.; Li, Y.; Chen, K.; Nian, T. Durability of organic coated reinforced magnesium oxychloride cement concrete. Struct. Concr. 2021, 22, 2595–2610. [Google Scholar] [CrossRef]
- Gong, W.; Wang, N.; Zhang, N.; Chen, G. Time-dependent model and life prediction for reinforcement corrosion in magnesium oxychloride cement concrete. Struct. Concr. 2020, 21, 1865–1879. [Google Scholar] [CrossRef]
- He, P.; Chi, S.P.; Richardson, I.; Tsang, D. The mechanism of supplementary cementitious materials enhancing the water resistance of magnesium oxychloride cement (MOC): A comparison between pulverized fuel ash and incinerated sewage sludge ash. Cem. Concr. Compos. 2020, 109, 103562. [Google Scholar] [CrossRef]
- Ye, Q.; Han, Y.; Zhang, S.; Gao, Q.; Zhang, W.; Chen, H. Bioinspired and biomineralized magnesium oxychloride cement with enhanced compressive strength and water resistance. J. Hazard. Mater. 2020, 383, 121099. [Google Scholar] [CrossRef]
- Li, Y.; Qiao, H.; Yang, A. Experimental Study on the Protection of an Asphalt Coating to Reinforcement in Magnesium Oxychloride Cement Concrete. Appl. Sci. 2023, 13, 4759. [Google Scholar] [CrossRef]
- Huang, T.; Yuan, Q.; Deng, D. The role of phosphoric acid in improving the strength of magnesium oxychloride cement pastes with large molar ratios of H2O/MgCl2. Cem. Concr. Compos. 2019, 97, 379–386. [Google Scholar] [CrossRef]
- Deng, D. The mechanism for soluble phosphates to improve the water resistance of magnesium oxychloride cement. Cem. Concr. Res. 2003, 33, 1311–1317. [Google Scholar] [CrossRef]
- Guo, Y.; Zhang, Y.; Soe, K. Effect of sodium monofluorophosphate and phosphates on mechanical properties and water resistance of magnesium oxychloride cement. Cem. Concr. Compos. 2022, 129, 104472. [Google Scholar] [CrossRef]
- Gong, W.; Wang, N.; Zhang, N.; Han, W.; Qiao, H. Water resistance and a comprehensive evaluation model of magnesium oxychloride cement concrete based on Taguchi and entropy weight method. Constr. Build. Mater. 2020, 260, 119817. [Google Scholar] [CrossRef]
- Bourchy, A.; Barnes, L.; Bessette, L.; Chalencon, F.; Joron, A.; Torrenti, J.M. Optimization of concrete mix design to account for strength and hydration heat in massive concrete structures. Cem. Concr. Compos. 2019, 103, 233–241. [Google Scholar] [CrossRef]
- Yuan, J.; Zhao, M.; Esmaeili-Falak, M. A comparative study on predicting the rapid chloride permeability of self-compacting concrete using meta-heuristic algorithm and artificial intelligence techniques. Struct. Concr. 2022, 23, 753–774. [Google Scholar] [CrossRef]
- Vakharia, V.; Castelli, I.E.; Bhavsar, K.; Solanki, A. Bandgap prediction of metal halide perovskites using regression machine learning models. Phys. Lett. A 2022, 422, 127800. [Google Scholar] [CrossRef]
- Wakjira, T.G.; Ebead, U.; Alam, M.S. Machine learning-based shear capacity prediction and reliability analysis of shear-critical RC beams strengthened with inorganic composites. Case Stud. Constr. Mater. 2022, 16, e01008. [Google Scholar] [CrossRef]
- Al Martini, S.; Sabouni, R.; Khartabil, A.; Wakjira, G.; Alam, M.S. Development and strength prediction of sustainable concrete having binary and ternary cementitious blends and incorporating recycled aggregates from demolished UAE buildings: Experimental and machine learning-based studies. Constr. Build. Mater. 2023, 380, 131278. [Google Scholar] [CrossRef]
- Wakjira, T.G.; Abushanab, A.; Ebead, U.; Alnahhal, W. FAI: Fast, Accurate, and Intelligent Approach and Prediction Tool for Flexural Capacity of FRP-RC Beams Based on Super-Learner Machine Learning Model. Mater. Today Commun. 2022, 33, 104461. [Google Scholar] [CrossRef]
- Abushanab, A.; Wakjira, T.G.; Alnahhal, W. Machine Learning-Based Flexural Capacity Prediction of Corroded RC Beams with an Efficient and User-Friendly Tool. Sustainability 2023, 15, 4824. [Google Scholar] [CrossRef]
- Wakjira, T.G.; Rahmzadeh, A.; Alam, M.S.; Tremblay, R. Explainable machine learning based efficient prediction tool for lateral cyclic response of post-tensioned base rocking steel bridge piers. Structures 2022, 44, 947–964. [Google Scholar] [CrossRef]
- Deepak, C. Learning Algorithms Using BPNN & SFS for Prediction of Compressive Strength of Ultra-High Performance Concrete. Mach. Learn. Res. 2019, 4, 27–32. [Google Scholar]
- Huang, L.; Chen, J.; Tan, X. BP-ANN based bond strength prediction for FRP reinforced concrete at high temperature. Eng. Struct. 2022, 15, 257. [Google Scholar] [CrossRef]
- Bu, L.; Du, G.; Hou, Q. Prediction of the compressive strength of recycled aggregate concrete based on artificial neural network. Materials 2021, 14, 3921. [Google Scholar] [CrossRef]
- Tipu, R.; Panchal, V.; Pandya, K. An ensemble approach to improve BPNN model precision for predicting compressive strength of high-performance concrete. Structures 2022, 45, 500–508. [Google Scholar] [CrossRef]
- Saddam, N.; Pinar, A.; Abdulkader, H. Machine learning in concrete’s strength prediction. Comput. Concr. 2022, 29, 433–444. [Google Scholar]
- Grace, R.; Manimegalai, R. Design of Neural Network Based Wind Speed Prediction Model Using GWO. Comput. Syst. Sci. Eng. 2022, 40, 593–606. [Google Scholar] [CrossRef]
- Liang, Z.; Han, Q.; Zhang, T. Nonlinearity Compensation of Magneto-optic Fiber Current Sensors based on WOA-BP Neural Network. IEEE Sens. J. 2022, 22, 1. [Google Scholar] [CrossRef]
- Ly, H.; Nguyen, M.; Pham, B. Metaheuristic optimization of Levenberg–Marquardt-based artificial neural network using particle swarm optimization for prediction of foamed concrete compressive strength. Neural Comput. Appl. 2021, 33, 17331–17351. [Google Scholar] [CrossRef]
- Ministry of Construction of the PRC. Standard for Technical Requirements and Test Method of Sand and Crushed Stone (or Gravel) for Ordinary Concrete; China Architecture & Building Press: Beijing, China, 2006; pp. 19–49.
- Ministry of Housing and Urban Rural Development of the PRC. Standard for Test Methods of Long-Term Performance and Durability of Ordinary Con-Crete; China Architecture & Building Press: Beijing, China, 2009; pp. 3–4.
- Van, Q.; Viet, Q.; Lanh, S. Evaluating compressive strength of concrete made with recycled concrete aggregates using machine learning approach. Constr. Build. Mater. 2022, 323, 126578. [Google Scholar]
- Nian, T.; Li, J.; Li, P.; Guo, R.; Ge, J.; Wang, M. Method to predict the interlayer shear strength of asphalt pavement based on improved back propagation neural network. Constr. Build. Mater. 2022, 351, 128969. [Google Scholar] [CrossRef]
- Shamsabadi, E.; Roshan, N.; Hadigheh, S.; Nehdi, M. Machine learning-based compressive strength modelling of concrete incorporating waste marble powder. Constr. Build. Mater. 2022, 324, 126592. [Google Scholar] [CrossRef]
- Yaswanth, K.K.; Revathy, J.; Gajalakshmi, P. Artificial intelligence for the compressive strength prediction of novel ductile geopolymer composites. Comput. Concr. 2021, 28, 55–68. [Google Scholar]
- Mahesh, Y.; Hina, G.; Debdutta, G. Inspection of concrete structures externally reinforced with FRP composites using active infrared thermography: A review. Constr. Build. Mater. 2021, 310, 125265. [Google Scholar]
- Rampazzi, L.; Pozzi, A.; Sansonetti, A.; Toniolo, L.; Giussani, B. A chemometric approach to the characterisation of historical mortars. Cem. Concr. Res. 2006, 36, 1108–1114. [Google Scholar] [CrossRef]
- Moropoulou, A.; Polikreti, K.; Bakolas, A.; Michailidis, P. Correlation of physicochemical and mechanical properties of historical mortars and classification by multivariate statistics. Cem. Concr. Res. 2003, 33, 891–898. [Google Scholar] [CrossRef]
- Han, F.; Yao, H.; Ling, Q. An improved evolutionary extreme learning machine based on particle swarm optimization. Neurocomputing 2013, 116, 87–93. [Google Scholar] [CrossRef]



















| MgO | MgO | CaO | SiO2 | Loss of Ignition | Others |
|---|---|---|---|---|---|
| 90 | 48.6 | 1.1 | 3.2 | 3.8 | 1.9 |
| MgCl2·6H2O | SO4− | K+ + Na+ | CaCl2 | Other |
|---|---|---|---|---|
| 96 | 0.4 | 1.2 | 0.4 | 2.0 |
| Mg | Ca | Fe2O3 | Al2O | SO | Loss of Ignition | SiO2 |
|---|---|---|---|---|---|---|
| 1.19 | 5.3 | 9.43 | 20.93 | 0.41 | 3.26 | 54.32 |
| Test No. | MgCl2 Solution | Grade I Fly Ash | Phosphate | Phosphate Fertilizer | Test No. | MgCl2 Solution | Grade I Fly Ash | Phosphate | Phosphate Fertilizer |
|---|---|---|---|---|---|---|---|---|---|
| APMC1-0 | 301 | 0 | 4.58 | 0 | APMC4-2 | 271 | 68.64 | 0 | 9.15 |
| APMC1-1 | 301 | 34.32 | 4.58 | 0 | APMC4-3 | 271 | 102.96 | 0 | 9.15 |
| APMC1-2 | 301 | 68.64 | 4.58 | 0 | APMC5-0 | 271 | 0 | 4.58 | 4.58 |
| APMC1-3 | 301 | 102.96 | 4.58 | 0 | APMC5-1 | 271 | 34.32 | 4.58 | 4.58 |
| APMC2-0 | 301 | 0 | 0 | 9.15 | APMC5-2 | 271 | 68.64 | 4.58 | 4.58 |
| APMC2-1 | 301 | 34.32 | 0 | 9.15 | APMC5-3 | 271 | 102.96 | 4.58 | 4.58 |
| APMC2-2 | 301 | 68.64 | 0 | 9.15 | APMC6-0 | 246 | 0 | 4.58 | 0 |
| APMC2-3 | 301 | 102.96 | 0 | 9.15 | APMC6-1 | 246 | 34.32 | 4.58 | 0 |
| APMC3-0 | 271 | 0 | 4.58 | 0 | APMC6-2 | 246 | 68.64 | 4.58 | 0 |
| APMC3-1 | 271 | 34.32 | 4.58 | 0 | APMC6-3 | 246 | 102.96 | 4.58 | 0 |
| APMC3-2 | 271 | 68.64 | 4.58 | 0 | APMC7-0 | 246 | 0 | 0 | 9.15 |
| APMC3-3 | 271 | 102.96 | 4.58 | 0 | APMC7-1 | 246 | 34.32 | 0 | 9.15 |
| APMC4-0 | 271 | 0 | 0 | 9.15 | APMC7-2 | 246 | 68.64 | 0 | 9.15 |
| APMC4-1 | 271 | 34.32 | 0 | 9.15 | APMC7-3 | 246 | 102.96 | 0 | 9.15 |
| Principal Component Number | Eigenvalue | Percentage of Variance (%) | Cumulative (%) |
|---|---|---|---|
| 1 | 1.53 | 76.68 | 76.68 |
| 2 | 0.47 | 23.32 | 100 |
Disclaimer/Publisher’s Note: The statements, opinions and data contained in all publications are solely those of the individual author(s) and contributor(s) and not of MDPI and/or the editor(s). MDPI and/or the editor(s) disclaim responsibility for any injury to people or property resulting from any ideas, methods, instructions or products referred to in the content. |
© 2023 by the authors. Licensee MDPI, Basel, Switzerland. This article is an open access article distributed under the terms and conditions of the Creative Commons Attribution (CC BY) license (https://creativecommons.org/licenses/by/4.0/).
Share and Cite
Wang, P.; Qiao, H.; Xue, C.; Feng, Q. Prediction of Water Resistance of Magnesium Oxychloride Cement Concrete Based upon Hybrid-BP Neural Network. Materials 2023, 16, 3371. https://doi.org/10.3390/ma16093371
Wang P, Qiao H, Xue C, Feng Q. Prediction of Water Resistance of Magnesium Oxychloride Cement Concrete Based upon Hybrid-BP Neural Network. Materials. 2023; 16(9):3371. https://doi.org/10.3390/ma16093371
Chicago/Turabian StyleWang, Penghui, Hongxia Qiao, Cuizhen Xue, and Qiong Feng. 2023. "Prediction of Water Resistance of Magnesium Oxychloride Cement Concrete Based upon Hybrid-BP Neural Network" Materials 16, no. 9: 3371. https://doi.org/10.3390/ma16093371
APA StyleWang, P., Qiao, H., Xue, C., & Feng, Q. (2023). Prediction of Water Resistance of Magnesium Oxychloride Cement Concrete Based upon Hybrid-BP Neural Network. Materials, 16(9), 3371. https://doi.org/10.3390/ma16093371
