Glass-Ceramic Coating on Silver Electrode Surface via 3D Printing
Abstract
:1. Introduction
2. Materials and Methods
3. Results and Discussion
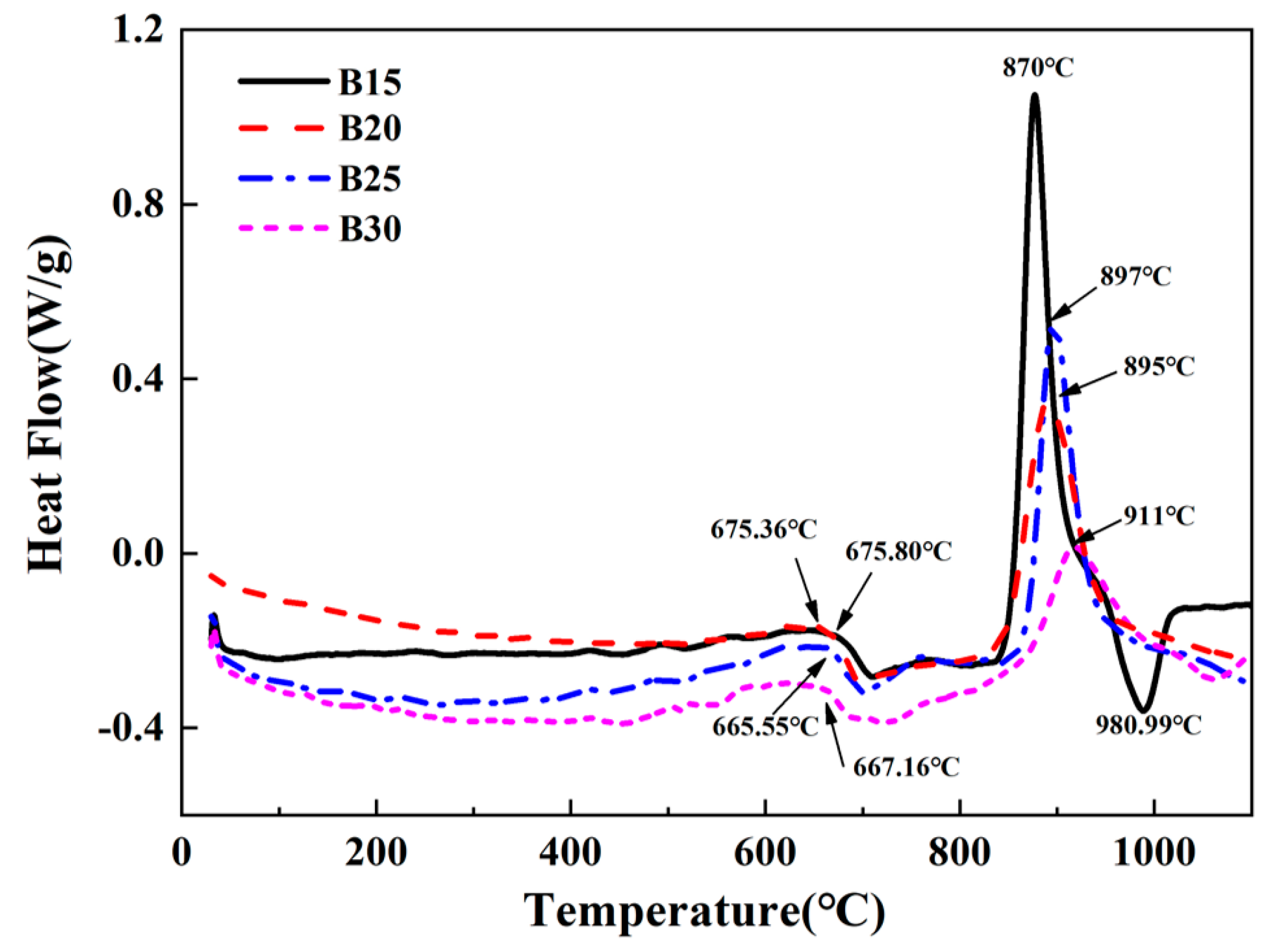
3.1. Characterization of the Raw Materials
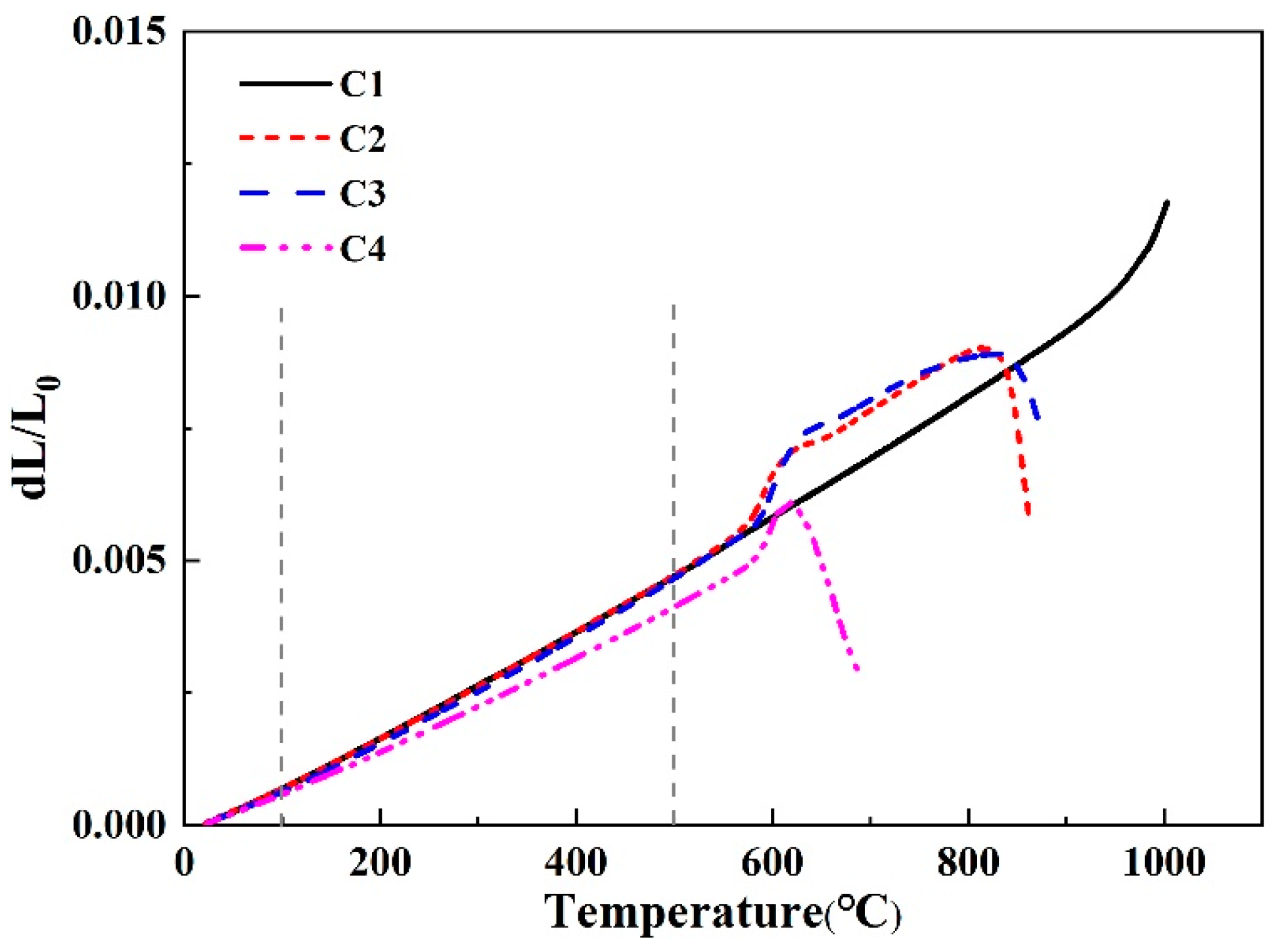
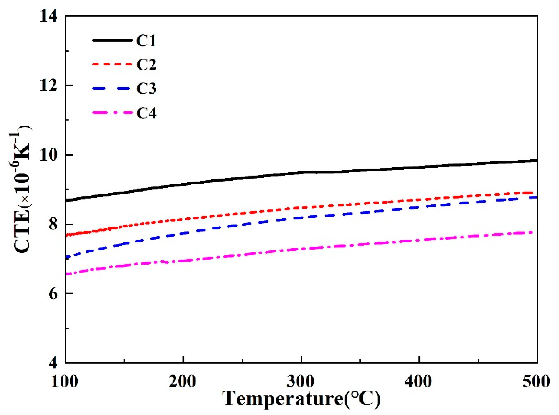
3.2. Properties of CMS-Based Glass-Ceramics
3.3. Performance and Microstructure Analysis of CMS-Based Glass-Ceramic Coating
3.3.1. Effect of Solid Contents on Viscosity and Surface Morphology of the Coating
3.3.2. Effect of Different Solid Contents on the Surface Morphology of the Coating
3.4. Interfacial Compatibility of Glass-Ceramic Coating and Ag Layer
3.5. Effect of Sintering Temperature on Crystallization Behavior and Microstructure of Coatings
3.5.1. Effect of Sintering Temperature on Devitrification Behavior
3.5.2. Effect of Sintering Temperature on the Microstructure
3.6. Effect of Sintering Time on Crystallization Behavior and Microscopic Morphology of the Coating
3.6.1. Effect of Sintering Time on Crystallization Behavior
3.6.2. Effect of Sintering Time on the Microstructure
4. Conclusions
Author Contributions
Funding
Institutional Review Board Statement
Informed Consent Statement
Data Availability Statement
Acknowledgments
Conflicts of Interest
References
- Gao, W.; Zhang, J.; Cao, S.; Wang, J.; Li, L.; Ruan, J.; Han, J. Sintering behavior, structure and dielectric properties of CuO-ZnO-MgO-B2O3 glass-ceramics for ULTCC applications. Eur. Ceram. Soc. 2022, 42, 4987–4997. [Google Scholar] [CrossRef]
- Kraus, J.D.; Marhefka, R.J. Antennas: For All Applications, 3rd ed.; Mc Graw-Hill: New York, NY, USA, 2008. [Google Scholar]
- Wang, F.; Zhang, W.; Chen, X.; Mao, H.; Liu, Z.; Bai, S. Low temperature sintering and characterization of La2O3-B2O3-CaO glass-ceramic/LaBO3 composites for LTCC application. Eur. Ceram. Soc. 2020, 40, 2382–2389. [Google Scholar] [CrossRef]
- Francis, A.; Rahman, M.A.; Daoud, A. Processing, structures and compressive properties of porous glass-ceramic composites prepared from secondary by-product materials. Ceram. Int. 2013, 39, 7089–7095. [Google Scholar] [CrossRef]
- Huang, S.; Cao, P.; Li, Y.; Huang, Z.; Gao, W. Nucleation and crystallization kinetics of a multicomponent lithium disilicate glass by in situ and real-time synchrotron X-ray diffraction. Cryst. Growth Des. 2013, 13, 4031–4038. [Google Scholar] [CrossRef]
- Păcurariu, C.; Lazău, I. Non-isothermal crystallization kinetics of some glass-ceramics with pyroxene structure. J. Non-Cryst. Solids 2012, 358, 3332–3337. [Google Scholar] [CrossRef]
- Reddy, A.A.; Tulyaganov, D.U.; Pascual, M.J.; Kharton, V.V.; Tsipis, E.V.; Kolotygin, V.A.; Ferreira, J.M.F. SrO-containing diopside glass–ceramic sealants for solid oxide fuel cells: Mechanical reliability and thermal shock resistance. Fuel Cells 2013, 13, 689–694. [Google Scholar] [CrossRef]
- Kansal, I.; Tulyaganov, D.U.; Goel, A.; Pascual, M.J.; Ferreira, J.M.F. Structural analysis and thermal behavior of diopside-fluorapatite-wollastonite-based glasses and glass-ceramics. Acta Biomater. 2010, 6, 4380–4388. [Google Scholar] [CrossRef]
- Mohammadi, M.; Alizadeh, P.; Atlasbaf, Z. Effect of frit size on sintering, crystallization and electrical properties of wollastonite glass-ceramics. J. Non-Cryst. Solids 2011, 357, 150–156. [Google Scholar] [CrossRef]
- Pawlik, N.; Szpikowska-Sroka, B.; Goryczka, T.; Zubko, M.; Lelątko, J.; Pisarski, W. Structure and luminescent properties of oxyfluoride glass-ceramics with YF3: Eu3+ nanocrystals derived by sol-gel method. J. Eur. Ceram. Soc. 2019, 39, 5010–5017. [Google Scholar] [CrossRef]
- Adin, M.; Okumuş, M. Investigation of microstructural and mechanical properties of dissimilar metal weld between AISI 420 and AISI 1018 STEELS. Arab. J. Sci. Eng. 2022, 47, 8341–8350. [Google Scholar] [CrossRef]
- Adin, M.; Işcan, B. Optimization of process parameters of medium carbon steel joints joined by MIG welding using Taguchi method. Eur. Mech. Sci. 2022, 6, 17–26. [Google Scholar] [CrossRef]
- Hamit, A.; Adin, M.S. Effect of particles on tensile and bending properties of jute epoxy composites. Mater. Test. 2022, 64, 401–411. [Google Scholar]
- Doweidar, H. Density of MgO-Al2O3-SiO2, MgO-CaO-SiO2 and MgO-CaO-Al2O3-SiO2 glasses and the structural role of MgO. Phys. Chem. Glasses Eur. J. Glass Sci. Technol. Part B 2020, 61, 1–10. [Google Scholar] [CrossRef]
- Banijamali, S.; Ebadzadeh, T. Glass-forming ability, sinter-crystallization behavior and microwave dielectric properties of MgO-B2O3-(Al2O3)-SiO2 glass-ceramics. Non-Cryst. Solids 2016, 441, 34–41. [Google Scholar] [CrossRef]
- Wolfram, H.; George, B. Glass-Ceramic Technology; The American Ceramic Society: Westerville, OH, USA, 2002; pp. 229–318. [Google Scholar]
- Savabieh, H.; Alizadeh, P.; Dasilva, Y.A.R.; Erni, R.; Clemens, F.J. Investigation of dielectric properties and microstructure of sintered 13.2Li2O-67.6SiO2-14.49Al2O3-3.3TiO2-0.4BaO- 0.97ZnO glass-ceramics. J. Eur. Ceram. Soc. 2017, 37, 631–639. [Google Scholar] [CrossRef]
- Arcaro, S.; Moreno, B.; Chinarro, E.; Salvador, M.; Borrell, A.; Nieto, M.; Moreno, R.; de Oliveira, A.N. Properties of LZS/nanoAl2O3 glass-ceramic composites. J. Alloy. Compd. 2017, 710, 567–574. [Google Scholar] [CrossRef]
- Xia, L.; Wen, G.; Song, L.; Wang, X. The crystallization behavior and thermal expansion properties of b-eucryptite prepared by sol–gel route. J. Mater. Chem. Phys. 2010, 119, 495–498. [Google Scholar] [CrossRef]
- Belmonte, D.; Ottonello, G.; Zuccolini, M.V.; Attene, M. The system MgO-Al2O3-SiO2 under pressure: A computational study of melting relations and phase diagrams. Chem. Geol. 2017, 461, 54–64. [Google Scholar] [CrossRef]
- Kang, J.; Chen, J.; Chen, Z.; Hou, Y.; Qu, Y.; Yue, Y. Crystallization, sinterability, and dielectric properties of MgO-Al2O3-SiO2 glass-ceramics doped with TiO2. J. Mater. Sci. Mater. Electron. 2020, 31, 5697–5702. [Google Scholar] [CrossRef]
- Eichler, K.; Solow, G.; Otschik, P.; Schaffrath, W. BAS(BaO·Al2O3·SiO2)-glasses for high temperature applications. J. Eur. Ceram. Soc. 1999, 19, 1101–1104. [Google Scholar] [CrossRef]
- Ye, F.; Liu, L.; Zhang, J.; Iwasa, M.; Su, C.-L. Synthesis of silicon nitride-barium aluminosilicate self-reinforced ceramic composite by a two-step pressureless sintering. Compos. Sci. Technol. 2005, 65, 2233–2239. [Google Scholar] [CrossRef]
- Chang, C.-R.; Jean, J.-H. Crystallization Kinetics and Mechanism of Low-Dielectric, Low-Temperature, Cofirable CaO-B2O3-SiO2 Glass-Ceramics. J. Am. Ceram. Soc. 1999, 82, 1725–1732. [Google Scholar] [CrossRef]
- Li, P.; Wang, S.; Liu, J.; Feng, M.; Yang, X. Effects of B2O3 content and sintering temperature on crystallization and microstructure of CBS glass–ceramic coatings. Appl. Surf. Sci. 2015, 356, 1180–1188. [Google Scholar] [CrossRef]
- Wang, X.; Tian, X.; Peng, X.; Sun, C.; Qu, Y.; Yue, Y.; Kang, J. Crystallization behavior and mechanical properties of mica-diopside based glass-ceramics from granite wastes with different SiO2/MgO ratio. J. Non-Cryst. Solids 2023, 605, 122185. [Google Scholar] [CrossRef]
- Marques, V.M.F.; Tulyaganov, D.U.; Kothiyal, G.P.; Ferreira, J.M.F. The effect of TiO2 and P2O5 on densification behavior and properties of anortite-diopside glass-ceramic substrates. J. Electroceramics 2010, 25, 38–44. [Google Scholar] [CrossRef]
- Goel, A.; Tulyaganov, D.U.; Pascual, M.J.; Shaaban, E.R.; Muñoz, F.; Lü, Z.; Ferreira, J.M. Development and performance of diopside based glass-ceramic sealants for solid oxide fuel cells. J. Non-Cryst. Solids 2010, 356, 1070–1080. [Google Scholar] [CrossRef]
- Guo, X.; Cai, W.; Song, J.; Yang, G.; Yang, H. Crystallization and microstructure of CaO-MgO-Al2O3-SiO2 glass–ceramics containing complex nucleation agents. J. Non-Cryst. Solids 2014, 405, 63. [Google Scholar] [CrossRef]
- Gong, Y.; Dongol, R.; Yatongchai, C.; Wren, A.; Sundaram, S.; Mellott, N. Recycling of waste amber glass and porcine bone into fast sintered and high strength glass foams. J. Clean. Prod. 2016, 112, 4534–4539. [Google Scholar] [CrossRef]
- Imanaka, Y. Mulilayered Low Temperature Cofired Ceramics (LTCC) Technology; Fujitsu Laboratories, Ltd.: Tokyo, Japan, 2004. [Google Scholar]
- Kansal, I.; Goel, A.; Tulyaganov, D.U.; Rajagopal, R.R.; Ferreira, J.M. Structural and thermal characterization of CaO–MgO–SiO2–P2O5–CaF2 glasses. J. Eur. Ceram. Soc. 2012, 32, 27392746. [Google Scholar] [CrossRef]
- Zhang, S.; Zhang, Y.; Qu, Z. Effect of soluble Cr2O3 on thesilicate network, crystallization kinetics, mineral phase, microstructure of CaO-MgO-SiO2-(Na2O) glass ceramics with different CaO/MgO ratio. Ceram. Int. 2019, 45, 11216–11225. [Google Scholar] [CrossRef]
- Chen, K.Y.; Li, Y.; Meng, X.Y.; Meng, L.; Guo, Z.C. New integrated method to recover the TiO2 component and prepare glass-ceramics from molten titanium-bearing blast furnace slag. Ceram. Int. 2019, 45, 24236–24243. [Google Scholar] [CrossRef]
- Hsiang, H.I.; Yung, S.W.; Wang, C.C. Crystallization, densification and dielectric properties of CaO–MgO–Al2O3–SiO2 glass with ZrO2 as nucleating agent. Mater. Res. Bull. 2014, 60, 730–737. [Google Scholar] [CrossRef]
- Kereselidze, Z.; Romero, V.H.; Peralta, X.G.; Santamaria, F. Gold nanostar synthesis with a silver seed mediated growth method. J. Vis. Exp. JoVE 2012, 59, 3570. [Google Scholar]
- Deng, L.; Zhang, X.; Zhang, M.; Jia, X. Effect of CaF2 on viscosity, structure and properties of CaO-Al2O3-MgO-SiO2 slag glass ceramics. J. Non-Cryst. Solids 2018, 500, 310–316. [Google Scholar] [CrossRef]
- Alizadeh, P.; Marghussian, V.K. Effect of nucleating agents on the crystallization behaviour and microstructure of SiO2-CaO-MgO (Na2O) glass-ceramics. J. Eur. Ceram. Soc. 2000, 20, 775–782. [Google Scholar] [CrossRef]
- Khater, G. Influence of Cr2O3, Li F, CaF2 and TiO2 nucleants on the crystallization behavior and microstructure of glass-ceramics based on blast-furnace slag. Ceram. Int. 2011, 37, 2193–2199. [Google Scholar] [CrossRef]
- Tulyaganov, D.U.; Ribeiro, M.J.; Labrincha, J.A. Development of glass-ceramics by sintering and crystallization of fine powders of calcium-magnesium-aluminosilicate glass. Ceram. Int. 2002, 28, 515–520. [Google Scholar] [CrossRef]
- Torres, F.J.; Alarcón, J. Microstructural evolution in fast-heated cordierite-based glass-ceramic glazes for ceramic tile. J. Am. Ceram. Soc. 2004, 87, 1227–1232. [Google Scholar] [CrossRef]
- Chou, C.C.; Feng, K.C.; Raevski, I.P.; Chen, H.; Tsao, C.Y.; Chen, P.Y.; Chen, C.S.; Lu, C.A.; Tu, C.S. Part Ι: Effects of two-stage heat treatment on densification, microstructural features and dielectric properties of CaO-MgO-SiO2 glass-ceramics with ZrO2 nucleating agents. Mater. Res. Bull. 2017, 96, 66–70. [Google Scholar] [CrossRef]
- Salahuddin, T. Carreau fluid model towards a stretching cylinder: Using Keller box and shooting method. Ain Shams Eng. J. 2020, 11, 495–500. [Google Scholar] [CrossRef]
- Peralta, J.M.; Meza, B.E.; Zorrilla, S.E. Analytical solutions for the free-draining flow of a Carreau-Yasuda fluid on a vertical plate—ScienceDirect. Chem. Eng. Sci. 2017, 168, 391–402. [Google Scholar] [CrossRef]
- Allison, P.G.; Moser, R.D.; Weiss, C.A., Jr.; Malone, P.G.; Morefield, S.W. Nanomechanical and chemical characterization of the interface between concrete, glass–ceramic bonding enamel and reinforcing steel. Constr. Build. Mater. 2012, 37, 638–644. [Google Scholar] [CrossRef]


















| Permittivity (20 °C, 1 MHz) | Density (kg/cm3) | Bending Strength (MPa) | Thermal Conductivity (W/m°C) | Resistivity (Ω·cm) | Thermal Expansion Coefficient (ppm/°C) |
|---|---|---|---|---|---|
| 9 | ≥3.7 | 300 | 29.3 | 1013 | 8.0 |
| CaO (wt.%) | MgO (wt.%) | SiO2 (wt.%) | B2O3 (wt.%) | |
|---|---|---|---|---|
| C1 | 31.5 | 13.5 | 40 | 15 |
| C2 | 28 | 12 | 40 | 20 |
| C3 | 24.5 | 10.5 | 40 | 25 |
| C4 | 21 | 9 | 40 | 30 |
| Sample | Bulk Density (g/cm3) | Vickers Hardness (GPa) | The Average Coefficient of Thermal Expansion (×10−6 K−1) (100~500 °C) |
|---|---|---|---|
| C1 | 2.84 | 7.36 | 9.38 |
| C2 | 2.65 | 6.73 | 8.41 |
| C3 | 2.60 | 6.63 | 8.10 |
| C4 | 2.59 | 6.52 | 7.25 |
Disclaimer/Publisher’s Note: The statements, opinions and data contained in all publications are solely those of the individual author(s) and contributor(s) and not of MDPI and/or the editor(s). MDPI and/or the editor(s) disclaim responsibility for any injury to people or property resulting from any ideas, methods, instructions or products referred to in the content. |
© 2023 by the authors. Licensee MDPI, Basel, Switzerland. This article is an open access article distributed under the terms and conditions of the Creative Commons Attribution (CC BY) license (https://creativecommons.org/licenses/by/4.0/).
Share and Cite
Yang, L.; Wang, D.; Zhou, G.; Lan, Z.; Yang, Z. Glass-Ceramic Coating on Silver Electrode Surface via 3D Printing. Materials 2023, 16, 3276. https://doi.org/10.3390/ma16083276
Yang L, Wang D, Zhou G, Lan Z, Yang Z. Glass-Ceramic Coating on Silver Electrode Surface via 3D Printing. Materials. 2023; 16(8):3276. https://doi.org/10.3390/ma16083276
Chicago/Turabian StyleYang, Lilin, Dongzhi Wang, Guoxiang Zhou, Zhidan Lan, and Zhihua Yang. 2023. "Glass-Ceramic Coating on Silver Electrode Surface via 3D Printing" Materials 16, no. 8: 3276. https://doi.org/10.3390/ma16083276
APA StyleYang, L., Wang, D., Zhou, G., Lan, Z., & Yang, Z. (2023). Glass-Ceramic Coating on Silver Electrode Surface via 3D Printing. Materials, 16(8), 3276. https://doi.org/10.3390/ma16083276
