Rheological and Mechanical Properties of Bentonite–Cement Paste Reinforced with Basalt Fibers
Abstract
1. Introduction
2. Materials and Method
2.1. Materials and Mix Design
2.2. Sample Preparation
2.3. Testing Methods
2.3.1. Rheology Tests
2.3.2. Unconfined Compressive Strength Tests
2.3.3. Splitting Tensile Strength Tests
2.3.4. SEM Tests
3. Results and Discussions
3.1. The Rheological Model
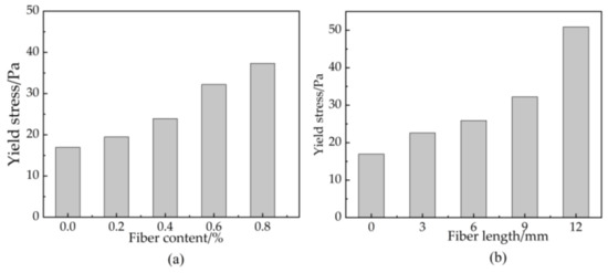
3.2. Yield Stress
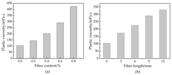
3.3. Plastic Viscosity
3.4. Unconfined Compressive Strength
3.5. Splitting Tensile Strength
3.6. Microstructure
3.6.1. The Fiber Reinforcement Mechanism
3.6.2. Fiber Microscopic Distribution
4. Conclusions
- (1)
- The rheological properties of basalt fiber-reinforced bentonite cement paste (BFBCP) conform to the modified Bingham rheological model. An increase in fiber content and length did not change the bentonite cement paste (BCP) rheological model. The yield stress and plastic viscosity of basalt fiber-reinforced bentonite cement paste (BFBCP) increased with the increase in content and length of the fiber. When the basalt fiber (BF) content rises from 0% to 0.8%, the yield stress and plastic viscosity of the basalt fiber-reinforced bentonite cement paste (BFBCP) increase by 123.84% and 162.14%, respectively, because the fine rod-like fiber forming a net-like structure in the slurry increases the frictional resistance between the slurry particles.
- (2)
- The unconfined compressive strength (UCS) of the basalt fiber-reinforced bentonite cement paste (BFBCP) increased before basalt fiber (BF) content and length reached a certain level, and then started to decrease. The addition of 0.6% of basalt fiber (BF) content resulted in the highest unconfined compressive strength (UCS) value (3.416 MPa) and an increase of 17.19% when compared to bentonite cement paste (BCP). When the fiber length increases from 3 mm to 12 mm, the growth rate strength of basalt fiber-reinforced bentonite cement paste (BFBCP) increases first and then decreases; the growth rate ranges from 16.6% to 19.9%. The contribution of fiber content to unconfined compressive strength (UCS) is greater than that of fiber length.
- (3)
- The splitting tensile strength (STS) of the basalt fiber-reinforced bentonite cement paste (BFBCP) increased before the basalt fiber (BF) content and the length decreased at a certain level. The optimum fiber content is affected by curing time. The optimum fiber content of the sample cured for 7 days and 28 days is 0.4% and 0.6%, respectively. Moreover, the optimal growth rate of splitting tensile strength (STS) for basalt fiber-reinforced bentonite cement paste (BFBCP) in 28 days of curing was 28.21%, compared to 0.6% for bentonite cement paste (BCP). Then, the fiber’s tensile strength contributes more than its compressive strength.
- (4)
- According to microstructure analysis, the incorporation of basalt fibers (BF) is important to obtaining a well-interconnected skeletal structure of basalt fiber-reinforced bentonite cement paste (BFBCP). Furthermore, the cement hydration products improved adhesion to the matrix and increased the energy required for fiber pull out. When the specimen was subjected to impact loading, excess or overlong basalt fibers within the basalt fiber-reinforced bentonite cement paste (BFBCP) formed a weak surface, resulting in sliding failure at once due to the large number of fiber-to-fiber interfaces from the non-uniform distribution of the fibers.
Author Contributions
Funding
Institutional Review Board Statement
Informed Consent Statement
Data Availability Statement
Acknowledgments
Conflicts of Interest
References
- Li, S.J.; Zhang, Z.; Li, Y.; Gao, Y.; Qi, Y.; Li, H.; Zhang, Q. Investigation and practical application of a new cementitious anti-washout grouting material. J. Constr. Build. Mater. 2019, 224, 66–77. [Google Scholar] [CrossRef]
- Li, S.; Sha, F.; Li, G.; Wang, G. Properties of cement-based grouts with high amounts of ground granulated blast-furnace slag and fly ash. J. Mater. Civ. Eng. 2017, 29, 04017219. [Google Scholar] [CrossRef]
- Zhang, Q.S.; Zhang, L.Z.; Liu, R.T.; Li, S.C.; Zhang, S.C. Grouting mechanism of quick setting slurry in rock fissure with consideration of viscosity variation with space. Tunn. Undergr. Space Technol. 2017, 70, 262–273. [Google Scholar] [CrossRef]
- Sha, F.; Lin, C.J.; Li, Z.F.; Liu, R.T. Reinforcement simulation of water-rich and broken rock with Portland cement-based grout. Constr. Build. Mater. 2019, 221, 292–300. [Google Scholar] [CrossRef]
- Santhoshkumar, T.G.; Abraham, B.M.; Sridharan, A.; Jose, B.T. Role of bentonite in improving the efficiency of cement grouting in coarse sand. Geotech. Eng. J. SEAGS AGSSEA 2016, 47, 1–8. [Google Scholar]
- Zheng, G.; Huang, J.; Diao, Y.; Ma, A.; Su, Y.; Chen, H. Formulation and performance of slow-setting cement-based grouting paste (SCGP) for capsule grouting technology using orthogonal test. Constr. Build. Mater. 2021, 302, 124204. [Google Scholar] [CrossRef]
- Zhang, C.; Fu, J.; Yang, J.; Ou, X.; Ye, X.; Zhang, Y. Formulation and performance of grouting materials for underwater shield tunnel construction in karst ground. Constr. Build. Mater. 2018, 187, 327–338. [Google Scholar] [CrossRef]
- Zhang, Y.; Wang, S.; Zhang, B.; Hou, D.; Li, H.; Li, L.; Lin, C. A preliminary investigation of the properties of potassium magnesium phosphate cement-based grouts mixed with fly ash, water glass and bentonite. Constr. Build. Mater. 2020, 237, 117501. [Google Scholar] [CrossRef]
- Zhang, P.; Chen, L.; Xie, R.; Song, L.; Jiang, J. Effect of bentonite on the stability of fresh cement slurry. J. Sustain. Cem. Based. 2022, 11, 345–352. [Google Scholar] [CrossRef]
- Zhou, Y.; Wang, G.H.; Yuan, Y.F. Basic properties and engineering application of bentonite-cement-water glass grouting. J. KSCE J. Civ. Eng. 2020, 24, 2742–2750. [Google Scholar] [CrossRef]
- Webster, M.J.; Wei, X.; Aisha, Z. Rheology and setting time of cement paste. Am. J. Civ. Eng. Archit. 2015, 3, 208–211. [Google Scholar]
- Yang, Z.; Zhang, X.; Liu, X.; Guan, X.; Zhang, C.; Niu, Y. Flexible and stretchable polyurethane/waterglass grouting material. Constr. Build. Mater. 2017, 138, 240–246. [Google Scholar] [CrossRef]
- Phoo-Ngernkham, T.; Sata, V.; Hanjitsuwan, S.; Ridtirud, C.; Hatanaka, S.; Chindaprasirt, P. High calcium fly ash geopolymer mortar containing Portland cement for use as repair material. Constr. Build. Mater. 2015, 98, 482–488. [Google Scholar] [CrossRef]
- Lehner, P.; Horňáková, M. Effect of amount of fibre and damage level on service life of sfr recycled concrete in aggressive environment. Buildings 2021, 11, 489. [Google Scholar] [CrossRef]
- Hrabová, K.; Láník, J.; Lehner, P. Statistical and practical evaluation of the mechanical and fracture properties of steel fibre reinforced concrete. Buildings 2022, 12, 1082. [Google Scholar] [CrossRef]
- Li, X.F.; Sun, J.T.; Chen, W.Z.; Yuan, J.Q.; Liu, J.Q.; Zhang, Q.Y. Strength and anti-washout property of fibre silica fume cement grout. Rock Soil Mech. 2018, 39, 3157–3164. [Google Scholar]
- Shi, Z.; Wang, Q.; Xu, L. Experimental study of cement alkali-resistant glass fiber (C-ARGF) grouting material. Materials 2020, 13, 605. [Google Scholar] [CrossRef]
- Pachta, V.; Goulas, D. Fresh and hardened state properties of fiber reinforced lime-based grouts. Constr. Build. Mater. 2020, 261, 119818. [Google Scholar] [CrossRef]
- Galicia-Aldama, E.; Mayorga, M.; Arteaga-Arcos, J.C.; Romero-Salazar, L. Rheological behaviour of cement paste added with natural fibres. Constr. Build. Mater. 2019, 198, 148–157. [Google Scholar] [CrossRef]
- Si, W.; Cao, M.; Li, L. Establishment of fiber factor for rheological and mechanical performance of polyvinyl alcohol (PVA) fiber reinforced mortar. Constr. Build. Mater. 2020, 265, 120347. [Google Scholar] [CrossRef]
- Cao, M.; Xu, L.; Zhang, C. Rheology, fiber distribution and mechanical properties of calcium carbonate (CaCO3) whisker reinforced cement mortar. Compos. Part A-Appl. Sci. Manuf. 2016, 90, 662–669. [Google Scholar] [CrossRef]
- Tregger, N.A.; Pakula, M.E.; Shah, S.P. Influence of clays on the rheology of cement pastes. Cem. Concr. Res. 2010, 40, 384–391. [Google Scholar] [CrossRef]
- Wang, S.; Chen, F.; Xue, Q.; Zhang, P. Splitting tensile strength of cement soil reinforced with basalt fibers. Materials 2020, 13, 3110. [Google Scholar] [CrossRef] [PubMed]
- Jamshaid, H.; Mishra, R. A green material from rock: Basalt fiber—A review. J. Text. Inst. 2016, 107, 923–937. [Google Scholar] [CrossRef]
- Fu, Q.; Bu, M.; Xu, W.; Chen, L.; Li, D.; He, J.; Li, H. Comparative analysis of dynamic constitutive response of hybrid fibre-reinforced concrete with different matrix strengths. Int. J. Impact Eng. 2021, 148, 103763. [Google Scholar] [CrossRef]
- Sim, J.; Park, C. Characteristics of basalt fiber as a strengthening material for concrete structures. Compos. Part B Eng. 2005, 36, 504–512. [Google Scholar] [CrossRef]
- Lipatov, Y.V.; Gutnikov, S.I.; Manylov, M.S.; Zhukovskaya, E.S.; Lazoryak, B.I. High alkali-resistant basalt fiber for reinforcing concrete. Mater. Des. 2015, 73, 60–66. [Google Scholar] [CrossRef]
- Algin, Z.; Ozen, M. The properties of chopped basalt fiber reinforced self-compacting concrete. Constr. Build. Mater. 2018, 186, 678–685. [Google Scholar] [CrossRef]
- Ozyurt, N.; Mason, T.O.; Shah, S.P. Correlation of fiber dispersion, rheology and mechanical performance of FRCs. Cem. Concr. Compos. 2007, 29, 70–79. [Google Scholar] [CrossRef]
- Cao, M.; Mao, Y.; Khan, M.; Si, W.; Shen, S. Different testing methods for assessing the synthetic fiber distribution in cement-based composites. Constr. Build. Mater. 2018, 184, 128–142. [Google Scholar] [CrossRef]
- Zhang, K.; Pan, L.; Li, J.; Lin, C.; Cao, Y.; Xu, N.; Pang, S. How does adsorption behavior of polycarboxylate superplasticizer effect rheology and flowability of cement paste with polypropylene fiber? Cem. Concr. Compos. 2019, 95, 228–236. [Google Scholar] [CrossRef]
- Consoli, N.C.; De Moraes, R.R.; Festugato, L. Split tensile strength of monofilament polypropylene fiber-reinforced cemented sandy soils. Geosynth. Int. 2011, 18, 57–62. [Google Scholar] [CrossRef]
- Lang, L.; Chen, B.; Li, D. Effect of nano-modification and fiber-reinforcement on mechanical behavior of cement-stabilized dredged sediment. Mar. Georesourc. Geotechnol. 2022, 40, 936–952. [Google Scholar] [CrossRef]
- Benyounes, K. Rheological behavior of cement-based grout with Algerian bentonite. SN Appl. Sci. 2019, 1, 1037. [Google Scholar] [CrossRef]
- Yan, B.H.; Li, C.P.; Wu, A.X.; Wang, S.Y.; Hou, H.Z. Analysis on influencing factors of coarse particles migration in pipeline transportation of paste slurry. Chin. J. Nonferrous Met. 2018, 28, 2143–2153. [Google Scholar]
- Ma, K.; Long, G.; Xie, Y.; Chen, X. Factors on affecting plastic viscosity of cement-fly ash-limestone compound pastes. J. Chin. Ceram. Soc. 2013, 41, 1481–1486. [Google Scholar]
- Kuder, K.G.; Ozyurt, N.; Mu, E.B.; Shah, S.P. Rheology of fiber-reinforced cementitious materials. Cem. Concr. Res. 2007, 37, 191–199. [Google Scholar] [CrossRef]
- Shaikh, S.; Strednak, S.; Butler, J.E. Advances in the Rheological Characterization of Slurries of Elongated Particles. KONA Powder Part. J. 2022, 39, 84–99. [Google Scholar] [CrossRef]
- Chen, H.; Xie, C.; Fu, C.; Liu, J.; Wei, X.; Wu, D. Orthogonal Analysis on Mechanical Properties of Basalt–Polypropylene Fiber Mortar. Materials 2022, 13, 2937. [Google Scholar] [CrossRef]
- Khan, M.; Cao, M. Effect of hybrid basalt fibre length and content on properties of cementitious composites. Mag. Concr. Res. 2021, 73, 487–498. [Google Scholar] [CrossRef]
- Li, G.; Zhang, K.; Pei, Z.; Liu, P.; Chang, J.; Zhang, K.; Liang, G. Basalt fibre reinforced calcium phosphate cement with enhanced toughness. Mater. Technol. 2020, 35, 152–158. [Google Scholar] [CrossRef]
- Wang, D.; Wang, H.; Larsson, S.; Benzerzour, M.; Maherzi, W.; Amar, M. Effect of basalt fiber inclusion on the mechanical properties and microstructure of cement-solidified kaolinite. Constr. Build. Mater. 2020, 241, 118085. [Google Scholar] [CrossRef]
- Ma, Q.; Gao, C. Effect of basalt fiber on the dynamic mechanical properties of cement-soil in SHPB test. J. Mater. Civ. Eng. 2018, 30, 04018185. [Google Scholar] [CrossRef]












| Chemical Composition | CaO | SiO2 | Al2O3 | Fe2O3 | MgO | Ti2O3 | SO3 | Na2O | Loss on Ignition |
|---|---|---|---|---|---|---|---|---|---|
| Bentonite | 0.54 | 63.78 | 14.42 | 3.63 | 1.71 | 0.51 | - | 0.97 | 9.91 |
| Cement | 51.42 | 24.99 | 8.26 | 4.03 | 3.71 | - | 2.51 | - | 3.31 |
| Fiber Diameter /μm | Fiber Type | Average Length (mm) | Density /kg·m3 | Elongation at Break/% | Elastic Modulus/GPa | Tensile Strength/MPa |
|---|---|---|---|---|---|---|
| 13–17 | Short cut | 3, 6, 9, 12 | 2650 | 3.1 | 75 | 1050 |
| Mix ID | W/C | Cement (wt%) | Bentonite (wt%) | BF Content (vf%) | BF Length (mm) | Curing Time (Days) |
|---|---|---|---|---|---|---|
| BCP | 0.8 | 40 | 60 | 0 | - | 7, 28 |
| 0.2BF9BCP | 0.8 | 40 | 60 | 0.2 | 9 | 7, 28 |
| 0.4BF9BCP | 0.8 | 40 | 60 | 0.4 | 9 | 7, 28 |
| 0.6BF9BCP | 0.8 | 40 | 60 | 0.6 | 9 | 7, 28 |
| 0.8BF9BCP | 0.8 | 40 | 60 | 0.8 | 9 | 7, 28 |
| 0.6BF3BCP | 0.8 | 40 | 60 | 0.6 | 3 | 7, 28 |
| 0.6BF6BCP | 0.8 | 40 | 60 | 0.6 | 6 | 7, 28 |
| 0.6BF9BCP | 0.8 | 40 | 60 | 0.6 | 9 | 7, 28 |
| 0.6BF12BCP | 0.8 | 40 | 60 | 0.6 | 12 | 7, 28 |
| Mix ID | Fitting Equation | Yield Stress/Pa | Plastic Viscosity/mPa·s | R2Adj |
|---|---|---|---|---|
| BCP | 16.948 | 104.984 | 0.996 | |
| 0.2BF9BCP | 19.475 | 145.723 | 0.996 | |
| 0.4BF9BCP | 23.905 | 202.982 | 0.999 | |
| 0.6BF9BCP | 32.215 | 291.169 | 0.994 | |
| 0.8BF9BCP | 37.285 | 424.524 | 0.993 | |
| 0.6BF3BCP | 22.597 | 174.346 | 0.998 | |
| 0.6BF6BCP | 25.890 | 226.545 | 0.988 | |
| 0.6BF9BCP | 32.215 | 291.169 | 0.994 | |
| 0.6BF12BCP | 50.872 | 331.652 | 0.984 |
Disclaimer/Publisher’s Note: The statements, opinions and data contained in all publications are solely those of the individual author(s) and contributor(s) and not of MDPI and/or the editor(s). MDPI and/or the editor(s) disclaim responsibility for any injury to people or property resulting from any ideas, methods, instructions or products referred to in the content. |
© 2023 by the authors. Licensee MDPI, Basel, Switzerland. This article is an open access article distributed under the terms and conditions of the Creative Commons Attribution (CC BY) license (https://creativecommons.org/licenses/by/4.0/).
Share and Cite
Sun, P.; Wei, B.; Habiyakare, E.; Bin, B.; Wang, L.; Peng, C.; Ji, W.; Cao, H.; Yang, H. Rheological and Mechanical Properties of Bentonite–Cement Paste Reinforced with Basalt Fibers. Materials 2023, 16, 3226. https://doi.org/10.3390/ma16083226
Sun P, Wei B, Habiyakare E, Bin B, Wang L, Peng C, Ji W, Cao H, Yang H. Rheological and Mechanical Properties of Bentonite–Cement Paste Reinforced with Basalt Fibers. Materials. 2023; 16(8):3226. https://doi.org/10.3390/ma16083226
Chicago/Turabian StyleSun, Pinghe, Bangdi Wei, Erneste Habiyakare, Bin Bin, Le Wang, Chunlei Peng, Wenlong Ji, Han Cao, and Hanhan Yang. 2023. "Rheological and Mechanical Properties of Bentonite–Cement Paste Reinforced with Basalt Fibers" Materials 16, no. 8: 3226. https://doi.org/10.3390/ma16083226
APA StyleSun, P., Wei, B., Habiyakare, E., Bin, B., Wang, L., Peng, C., Ji, W., Cao, H., & Yang, H. (2023). Rheological and Mechanical Properties of Bentonite–Cement Paste Reinforced with Basalt Fibers. Materials, 16(8), 3226. https://doi.org/10.3390/ma16083226

