Porogen Concentration Effect on the Pore Structure and Properties Evolution of Polymer Monolith Based on Oligocarbonate Dimethacrylate OCM-2
Abstract
:1. Introduction
2. Materials and Methods
2.1. Materials
2.2. Synthesis of Porous Polymers
2.3. Measurement
3. Results
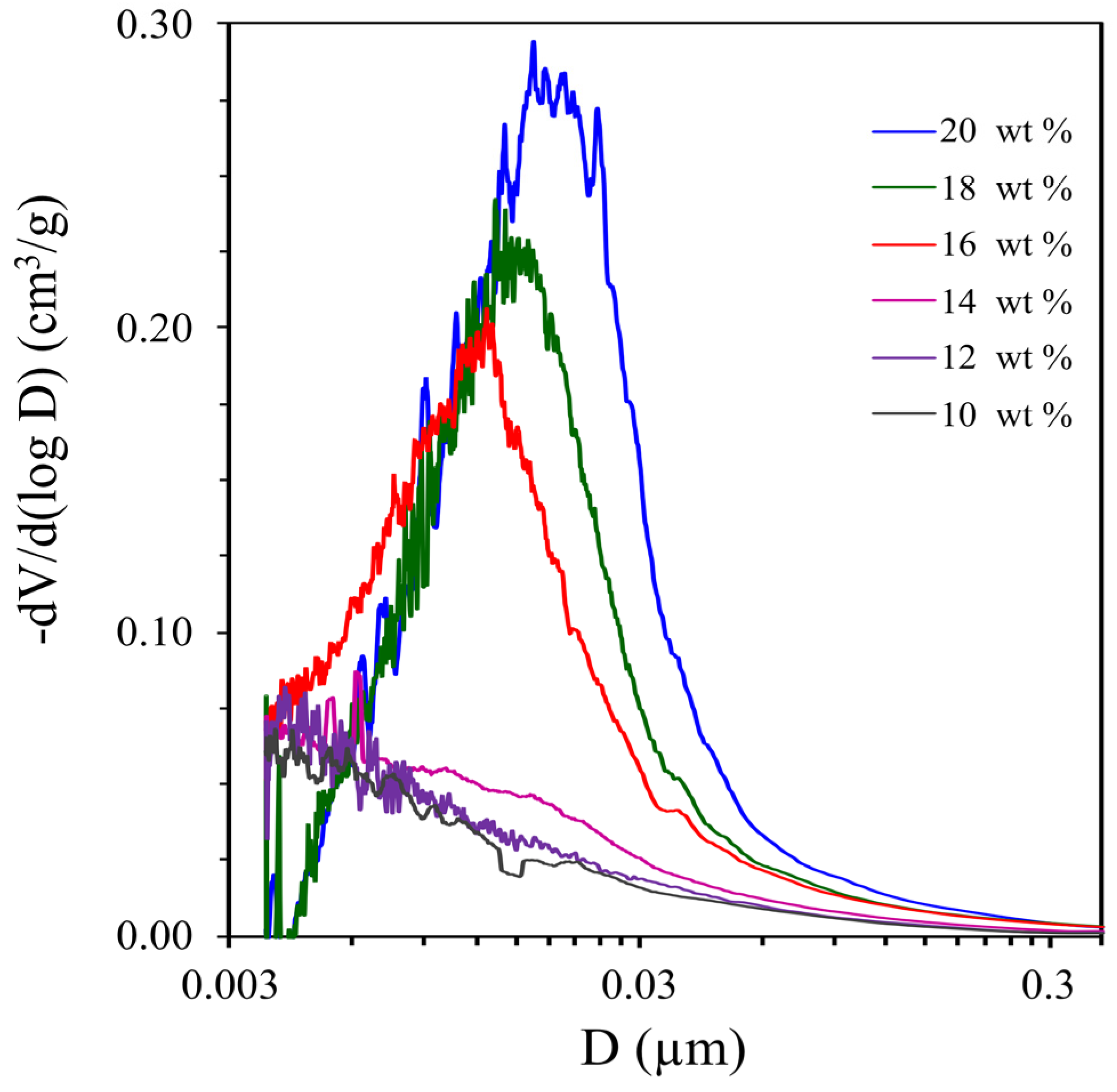
3.1. Low Concentrations (from 0 to 20 wt %) of the Porogen 1-Butanol
3.2. Average Concentrations (from 25 to 50 wt %) of the Porogen 1-Butanol
3.3. High Concentrations (60 and 70 wt %) of the Porogen 1-Butanol
4. Discussion
4.1. MIP and SEM Data Comparison
4.2. Percolation Effect
4.3. Changing the Light Transmission of polyOCM-2 Porous Monoliths
4.4. Strength Characteristics of polyOCM-2 Porous Monoliths
5. Conclusions
Author Contributions
Funding
Institutional Review Board Statement
Informed Consent Statement
Data Availability Statement
Acknowledgments
Conflicts of Interest
References
- Huang, L.; Wang, Z.; Chen, J.; Wang, B.; Chen, Y.; Huang, W.; Chi, L.; Marks, T.J.; Facchetti, A. Porous Semiconducting Polymers Enable High-Performance Electrochemical Transistors. Adv. Mater. 2021, 33, 2007041. [Google Scholar] [CrossRef] [PubMed]
- Haider, Z.; Haleem, A.; Farooq, U.; Shi, L.; Claver, U.P.; Memon, K.; Fareed, A.; Khan, I.; Mbogba, M.K.; Hossain, S.C. Highly porous polymer cryogel based tribopositive material for high performance triboelectric nanogenerators. Nano Energy 2020, 68, 104294. [Google Scholar] [CrossRef]
- Sadak, A.E.; Karakus, E.; Chumakov, Y.M.; Dogan, N.A.; Yavuz, C.T. Triazatruxene-based ordered porous polymer: High capacity CO2, CH4, and H2 capture, heterogeneous Suzuki–Miyaura catalytic coupling, and thermoelectric properties. ACS Appl. Energy Mater. 2020, 3, 4983–4994. [Google Scholar] [CrossRef]
- Mohamed, M.G.; Zhang, X.; Mansoure, T.H.; El-Mahdy, A.F.; Huang, C.-F.; Danko, M.; Xin, Z.; Kuo, S.-W. Hypercrosslinked porous organic polymers based on tetraphenylanthraquinone for CO2 uptake and high-performance supercapacitor. Polymer 2020, 205, 122857. [Google Scholar] [CrossRef]
- Ju, J.; Peng, X.; Huang, K.; Li, L.; Liu, X.; Chitrakar, C.; Chang, L.; Gu, Z.; Kuang, T. High-performance porous PLLA-based scaffolds for bone tissue engineering: Preparation, characterization, and in vitro and in vivo evaluation. Polymer 2019, 180, 121707. [Google Scholar] [CrossRef]
- Zhou, Z.; Wu, W.; Fang, J.; Yin, J. Polymer-based porous microcarriers as cell delivery systems for applications in bone and cartilage tissue engineering. Int. Mater. Rev. 2021, 66, 77–113. [Google Scholar] [CrossRef]
- El-Samak, A.A.; Ponnamma, D.; Hassan, M.K.; Ammar, A.; Adham, S.; Al-Maadeed, M.A.A.; Karim, A. Designing flexible and porous fibrous membranes for oil water separation—A review of recent developments. Polym. Rev. 2020, 60, 671–716. [Google Scholar] [CrossRef]
- Ye, S.; Wang, B.; Shi, Y.; Wang, B.; Zhang, Y.; Feng, Y.; Han, W.; Liu, C.; Shen, C. Superhydrophobic and superelastic thermoplastic polyurethane/multiwalled carbon nanotubes porous monolith for durable oil/water separation. Compos. Commun. 2020, 21, 100378. [Google Scholar] [CrossRef]
- Anito, D.A.; Wang, T.-X.; Liu, Z.-W.; Ding, X.; Han, B.-H. Iminodiacetic acid-functionalized porous polymer for removal of toxic metal ions from water. J. Hazard. Mater. 2020, 400, 123188. [Google Scholar] [CrossRef]
- Gong, L.; Wu, W.; Lin, D.; Yang, K. A superhydrophobic and porous polymer adsorbent with large surface area. J. Mater. Chem. A 2021, 9, 254–258. [Google Scholar] [CrossRef]
- Xu, Z.; Hu, L.; Ming, J.; Cui, X.; Zhang, M.; Dou, J.; Zhang, W.; Zhou, B. Self-gated porous organic polymer as drug delivery system for pH stimuli-responsive controlled Quercetin release. Microporous Mesoporous Mater. 2020, 303, 110259. [Google Scholar] [CrossRef]
- Dai, Z.; Tang, Y.; Zhang, F.; Xiong, Y.; Wang, S.; Sun, Q.; Wang, L.; Meng, X.; Zhao, L.; Xiao, F.-S. Combination of binary active sites into heterogeneous porous polymer catalysts for efficient transformation of CO2 under mild conditions. Chin. J. Catal. 2021, 42, 618–626. [Google Scholar] [CrossRef]
- Trautmann, A.; Rüth, M.; Lemke, H.-D.; Walther, T.; Hellmann, R. Two-photon polymerization based large scaffolds for adhesion and proliferation studies of human primary fibroblasts. Opt. Laser Technol. 2018, 106, 474–480. [Google Scholar] [CrossRef]
- Svec, F.; Tennikova, T.B.; Deyl, Z. Monolithic materials: Preparation, properties and applications. Anal. Bioana. Chem. 2004, 379, 8–9. [Google Scholar]
- Sinitsyna, E.S.; Vlakh, E.G.; Rober, M.Y.; Tennikova, T.B. Hydrophilic methacrylate monoliths as platforms for protein microarray. Polymer 2011, 52, 2132–2140. [Google Scholar] [CrossRef]
- Okay, O.; Gürün, Ç. Synthesis and formation mechanism of porous 2-hydroxyethyl methacrylate–ethylene glycol dimethacrylate copolymer beads. J. Appl. Polym. Sci. 1992, 46, 401–410. [Google Scholar] [CrossRef]
- Urban, J. Current trends in the development of porous polymer monoliths for the separation of small molecules. J. Sep. Sci. 2016, 39, 51–68. [Google Scholar] [CrossRef] [PubMed]
- Xie, S.; Svec, F.; Fréchet, J.M.J. Preparation of porous hydrophilic monoliths: Effect of the polymerization conditions on the porous properties of poly (acrylamide-co-N,N′-methylenebisacrylamide) monolithic rods. J. Polym. Sci. A Polym. Chem. 1997, 35, 1013–1021. [Google Scholar] [CrossRef]
- Yu, S.; Ma, K.C.C.; Mon, A.A.; Ng, F.L.; Ng, Y.Y. Controlling porous properties of polymer monoliths synthesized by photoinitiated polymerization. Polym. Int. 2013, 62, 406–410. [Google Scholar] [CrossRef]
- Ly, H.B.; Le Droumaguet, B.; Monchiet, V.; Grande, D. Facile fabrication of doubly porous polymeric materials with controlled nano-and macro-porosity. Polymer 2015, 78, 13–21. [Google Scholar] [CrossRef]
- Sinitsyna, E.; Sergeeva, Y.N.; Vlakh, E.; Saprikina, N.; Tennikova, T. New platforms for 3-D microarrays: Synthesis of hydrophilic polymethacrylate monoliths using macromolecular porogens. React. Funct. Polym. 2009, 69, 385–392. [Google Scholar] [CrossRef]
- Chesnokov, S.A.; Aleynik, D.Y.; Kovylin, R.S.; Yudin, V.V.; Egiazaryan, T.A.; Egorikhina, M.N.; Zaslavskaya, M.I.; Rubtsova, Y.P.; Gusev, S.A.; Mlyavykh, S.G.; et al. Porous Polymer Scaffolds based on Cross-Linked Poly-EGDMA and PLA: Manufacture, Antibiotics Encapsulation, and In Vitro Study. Macromol. Biosci. 2021, 21, 2000402. [Google Scholar] [CrossRef]
- Yudin, V.V.; Kovylin, R.S.; Baten’kin, M.A.; Kulikova, T.I.; Aleynik, D.Y.; Egorikhina, M.N.; Rubtsova, Y.P.; Charykova, I.N.; Mlyavykh, S.G.; Chesnokov, S.A.; et al. Visible-light induced synthesis of biocompatible porous polymers from oligocarbonatedimethacrylate (OCM-2) in the presence of dialkyl phthalates. Polymer 2020, 192, 122302. [Google Scholar] [CrossRef]
- Kovylin, R.S.; Baten’kin, M.A.; Kulikova, T.I.; Egorikhina, M.N.; Charikova, I.N.; Gusev, S.A.; Rubtsova, Y.P.; Mlyavykh, S.G.; Aleynik, D.Y.; Chesnokov, S.A.; et al. Biocompatible Non-Toxic Porous Polymeric Materials Based on Carbonate- and Phthalate-Containing Dimethacrylates. ChemistrySelect 2019, 4, 4147–4155. [Google Scholar] [CrossRef]
- Mansour, F.R.; Waheed, S.; Paull, B.; Maya, F. Porogens and porogen selection in the preparation of porous polymer monoliths. J. Sep. Sci. 2020, 43, 56–69. [Google Scholar] [CrossRef]
- Felipe-Mendes, C.; Ruiz-Rubio, L.; Vilas-Vilela, J.L. Biomaterials obtained by photopolymerization: From UV to two photon. Emergent Mater. 2020, 3, 453–468. [Google Scholar] [CrossRef]
- Len’shina, N.; Shurygina, M.; Chesnokov, S. Photoreduction Reaction of Carbonyl-Containing Compounds in the Synthesis and Modification of Polymers. Polym. Sci. Ser. B 2021, 63, 657–690. [Google Scholar] [CrossRef]
- Saenz-Dominguez, I.; Tena, I.; Sarrionandia, M.; Torre, J.; Aurrekoetxea, J. An analytical model of through-thickness photopolymerisation of composites: Ultraviolet light transmission and curing kinetics. Compos. B Eng. 2020, 191, 107963. [Google Scholar] [CrossRef]
- Kovylin, R.S.; Aleynik, D.Y.; Fedushkin, I.L. Modern Porous Polymer Implants: Synthesis, Properties, and Application. Polym. Sci. Ser. C 2021, 63, 29–46. [Google Scholar] [CrossRef]
- Baten’kin, M.A.; Konev, A.N.; Mensov, S.N.; Chesnokov, S.A. Formation of heterogeneous polymer structures during photoinduced crosslinking of oligo(ester acrylates) in the presence of a nonpolymerizable component. Polym. Sci. Ser. A 2011, 53, 558–568. [Google Scholar] [CrossRef]
- Chesnokov, S.A.; Cherkasov, V.K.; Abakumov, G.A.; Mamysheva, O.N.; Chechet, Y.V.; Nevodchikov, V.I. Influence of o-benzoquinone nature on initiation of radical polymerization by the o-benzoquinone—Tert-amine system. Russ. Chem. Bull. 2001, 50, 2366–2371. [Google Scholar] [CrossRef]
- Sokolov, I.M. Dimensionalities and other geometric critical exponents in percolation theory. Sov. Phys. Uspekhi 1986, 29, 924. [Google Scholar] [CrossRef]
- Irzhak, V. Percolation Threshold in Polymer Nanocomposites. Colloid J. 2021, 83, 64–69. [Google Scholar] [CrossRef]
- Polushtaytsev, Y.V.; Mensov, S.N. Formation of gradient polymer lenses by non-stationary luminous flux. J. Polym. Res. 2019, 26, 273. [Google Scholar] [CrossRef]
- Baten’kin, M.A.; Mensov, S.N.; Morozova, M.A.; Polushtaytsev, Y.V. Neutral component localization in the volume of photopolymerizable medium by the counter moving boundaries of initiating radiation action. J. Polym. Res. 2015, 22, 247. [Google Scholar] [CrossRef]















| Monolith | BuOH, wt % | BuOH, vol % | Dmod, nm | ε, % | Δε, % 1 | Ssp, m2/g | V Total, cm3/g | 
|---|---|---|---|---|---|---|---|
| M1 | 0 | 0 | - | - | - | - | - | 
| M2 | 10 | 14.0 | 3.7 | 6.4 | 7.6 | 19.8 | 0.05 | 
| M3 | 12 | 16.9 | 4.1 | 6.2 | 10.7 | 22.2 | 0.05 | 
| M4 | 14 | 19.6 | 6.2 | 7.5 | 12.1 | 24.7 | 0.06 | 
| M5 | 16 | 22.2 | 12.7 | 16.0 | 6.2 | 49.8 | 0.14 | 
| M6 | 18 | 24.7 | 13.3 | 15.3 | 9.4 | 47.7 | 0.14 | 
| M7 | 20 | 27.0 | 19.7 | 19.0 | 8 | 46.3 | 0.18 | 
| M8 | 25 | 33.3 | 53.2 | 32.1 | 1.2 | 36.3 | 0.34 | 
| M9 | 30 | 39.0 | 255 | 37.6 | 1.4 | 18.8 | 0.45 | 
| M10 | 35 | 44.6 | 715 | 44.2 | 0.4 | 16.6 | 0.60 | 
| M11 | 40 | 49.9 | 927 | 53.1 | −3.2 | 16.6 | 0.80 | 
| M12 | 50 | 59.9 | 980 | 59.1 | 0.8 | 15.9 | 1.11 | 
| M13 | 60 | 69.2 | 940 | 69.2 | 0 | 16.0 | 1.64 | 
| M14 | 70 | 77.7 | 770 | 78.4 | −0.7 | 22.2 | 2.22 | 
| Disclaimer/Publisher’s Note: The statements, opinions and data contained in all publications are solely those of the individual author(s) and contributor(s) and not of MDPI and/or the editor(s). MDPI and/or the editor(s) disclaim responsibility for any injury to people or property resulting from any ideas, methods, instructions or products referred to in the content. | 
© 2023 by the authors. Licensee MDPI, Basel, Switzerland. This article is an open access article distributed under the terms and conditions of the Creative Commons Attribution (CC BY) license (https://creativecommons.org/licenses/by/4.0/).
Share and Cite
Kovylin, R.S.; Yudin, V.V.; Shurygina, M.P.; Fedoseev, V.B.; Chesnokov, S.A.; Fedushkin, I.L.; Piskunov, A.V. Porogen Concentration Effect on the Pore Structure and Properties Evolution of Polymer Monolith Based on Oligocarbonate Dimethacrylate OCM-2. Materials 2023, 16, 3177. https://doi.org/10.3390/ma16083177
Kovylin RS, Yudin VV, Shurygina MP, Fedoseev VB, Chesnokov SA, Fedushkin IL, Piskunov AV. Porogen Concentration Effect on the Pore Structure and Properties Evolution of Polymer Monolith Based on Oligocarbonate Dimethacrylate OCM-2. Materials. 2023; 16(8):3177. https://doi.org/10.3390/ma16083177
Chicago/Turabian StyleKovylin, Roman S., Vladimir V. Yudin, Margarita P. Shurygina, Victor B. Fedoseev, Sergey A. Chesnokov, Igor L. Fedushkin, and Alexandr V. Piskunov. 2023. "Porogen Concentration Effect on the Pore Structure and Properties Evolution of Polymer Monolith Based on Oligocarbonate Dimethacrylate OCM-2" Materials 16, no. 8: 3177. https://doi.org/10.3390/ma16083177
APA StyleKovylin, R. S., Yudin, V. V., Shurygina, M. P., Fedoseev, V. B., Chesnokov, S. A., Fedushkin, I. L., & Piskunov, A. V. (2023). Porogen Concentration Effect on the Pore Structure and Properties Evolution of Polymer Monolith Based on Oligocarbonate Dimethacrylate OCM-2. Materials, 16(8), 3177. https://doi.org/10.3390/ma16083177
 
        

 
       