Capability Analysis of AZ91D Magnesium Alloy Precision Milling Process with Coated Tools
Abstract
1. Introduction
2. Materials and Methods
3. Results and Discussion
3.1. Assessment of Data Distribution Normality
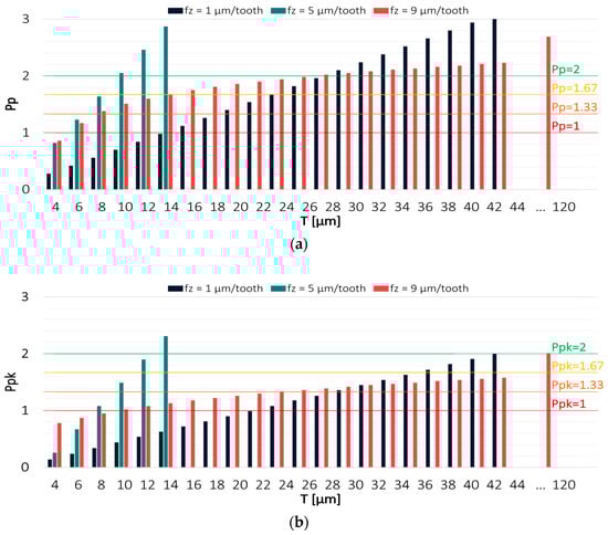
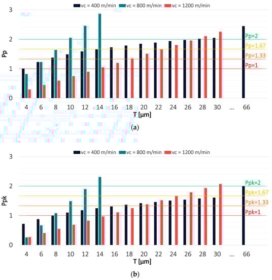
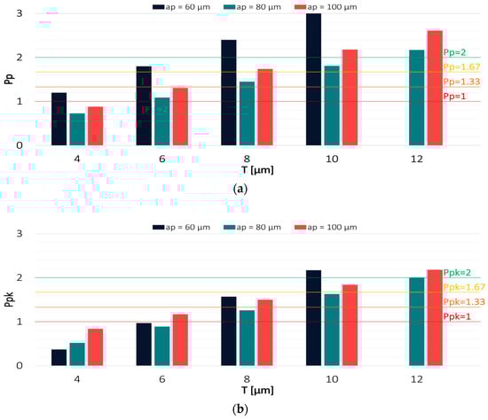
3.2. Determination of Process Capability Indices
4. Conclusions
- The results were characterised by low within variability, which resulted in high values of Cp and Cpk. Failure to verify the variability between individual groups may lead to an overestimation of process capability.
- The change in technological parameters had a different effect on the results of the milling process depending on the cutting tool used due to the different properties of coated and uncoated tool cutting edges.
- The change of cutting speed and feed per tooth led to a considerably greater reduction in process capability when milling was conducted with a TiAlN-coated tool, caused probably by a temperature rise in the cutting zone.
- The change of axial depth of cut had a negligible impact on the machining effect, particularly when milling was conducted with a TiB2-coated tool.
- The milling process with the use of a TiAlN-coated tool was significantly less centred, particularly when machining was carried out with the lowest cutting speed and highest feed per tooth.
- The use of a TiB2-coated tool makes it possible to obtain much better machining results and, thus, the desired process capability with narrower tolerance range limits.
Author Contributions
Funding
Institutional Review Board Statement
Informed Consent Statement
Data Availability Statement
Conflicts of Interest
References
- Sałaciński, T. Quality Engineering in Manufacturing Technology, 1st ed.; Publishing House of the Warsaw University of Technology: Warsaw, Poland, 2019; pp. 1–227. [Google Scholar]
- Sałaciński, T. SPC—Statistical Process Control, 1st ed.; Publishing House of the Warsaw University of Technology: Warsaw, Poland, 2015; pp. 1–156. [Google Scholar]
- Bothe, D.R. Measuring Process Capability: Techniques and Calculations for Quality and Manufacturing Engineers, 1st ed.; McGraw-Hill: New York, NY, USA; pp. 1–897.
- Kahraman, F.; Esme, U.; Kulekci, M.K.; Kazancoglu, Y. Process capability analysis in machining for quality improvement in turning operations. Mater. Test. 2012, 54, 120–125. [Google Scholar] [CrossRef]
- Hamrol, A. Management and Quality Engineering, 1st ed.; PWN: Warsaw, Poland, 2017; pp. 1–540. (In Polish) [Google Scholar]
- Goh, N.T.; Xie, M. Statistical control of a six sigma process. Qual. Eng. 2003, 15, 587–592. [Google Scholar] [CrossRef]
- Takaya, Y. In-process and on-machine measurement of machining accuracy for process and product quality management: A review. Int. J. Autom. Technol. 2014, 8, 4–19. [Google Scholar] [CrossRef]
- Motorcu, A.R.; Gullu, A. Statistical process control in machining, a case study for machine tool capability and process capability. Mater. Des. 2006, 27, 364–372. [Google Scholar] [CrossRef]
- Bahria, N.; Chelbi, A.; Bouchriha, H.; Dridi, I.H. Integrated production, statistical process control, and maintenance policy for unreliable manufacturing systems. Int. J. Prod. Res. 2019, 57, 2548–2570. [Google Scholar] [CrossRef]
- Mottonen, M.; Belt, P.; Harkonen, J.; Haapasalo, H.; Pekka, K. Manufacturing process capability and specification limits. Open Ind. Manuf. Eng. J. 2008, 1, 29–36. [Google Scholar] [CrossRef]
- Chen, J.; Zhu, F.; Li, G.Y.; Ma, Y.Z.; Tu, Y.L. Capability index of a complex-product machining process. Int. J. Prod. Res. 2012, 50, 3382–3394. [Google Scholar] [CrossRef]
- Kruger, W.; Xie, L. Statistical Monitoring of Complex Multivariate Processes, 1st ed.; Wiley: Chichester, UK, 2012; pp. 1–480. [Google Scholar]
- Sagbas, A. Improving the process capability of a turning operation by the application of statistical techniques. Mater. Technol. 2009, 43, 55–59. [Google Scholar]
- Sharma, G.V.; Rao, P.S. Process capability improvement of an engine connecting rod machining process. J. Ind. Eng. Int. 2013, 9, 37. [Google Scholar] [CrossRef]
- Sousa, S.; Rodrigues, N.; Nunes, E. Evolution of process capability in a manufacturing process. J. Manag. Anal. 2018, 5, 95–115. [Google Scholar] [CrossRef]
- Ray, S.; Das, P. Improve machining process capability by using six-sigma. Int. J. Qual. Res. 2011, 5, 109–121. [Google Scholar]
- Erameh, A.A.; Raji, N.A.; Durojaye, R.O.; Yussouff, A.A. Process capability analysis of a centre lathe turning process. Engineering 2016, 8, 79–85. [Google Scholar] [CrossRef]
- Rahman, M.A.; Ali, M.Y.; Rosli, A.R.S.; Banu, A. Process capability of high speed micro end-milling of Inconel 718 with minimum quantity lubrication. IOP Conf. Ser. Mater. Sci. Eng. 2017, 184, 012036. [Google Scholar] [CrossRef]
- Zawada-Michałowska, M.; Kuczmaszewski, J.; Pieśko, P. Effect of the geometry of thin-walled aluminium alloy elements on their deformations after milling. Materials 2022, 15, 9049. [Google Scholar] [CrossRef] [PubMed]
- Wang, X.; Wang, R.; Li, Z. Quality improvement of aluminum alloy thin-walled laminations based on process capability analysis. J. Phys. Conf. Ser. 2022, 2262, 012003. [Google Scholar] [CrossRef]
- Lin, Z.C.; Ho, C.Y. Quality improvement by using grey prediction tool compensation model for uncoated and TiAlCN-coated tungsten carbide tools in depanel process of memory modules. Int. J. Adv. Manuf. Technol. 2009, 40, 857–864. [Google Scholar] [CrossRef]
- Lin, Z.C.; Ho, C.Y. Performance of coated tungsten carbide tools on milling printed circuit board. J. Mater. Process. Technol. 2009, 209, 303–309. [Google Scholar] [CrossRef]
- Ismail, M.N.; Rose, A.N.M.; Mohammed, N.Z.; Ab Rashid, M.F.F. Development of Six Sigma methodology for CNC milling process improvements. IOP Conf. Ser. Mater. Sci. Eng. 2017, 257, 012009. [Google Scholar] [CrossRef]
- Chalisgaonkar, R. Comparative Investigation of Process Capability of the Surface Finish in Milling of EN19 Steel Using VMC. In Recent Advances in Mechanical Engineering; Muzammil, M., Chandra, A., Kankar, P.K., Kumar, H., Eds.; Springer: Singapore, 2021; pp. 707–712. [Google Scholar] [CrossRef]
- Boujelbene, M. Process capability and average roughness in abrasive water jet cutting process of stainless steel. Eng. Technol. Appl. Sci. Res. 2018, 8, 2931–2936. [Google Scholar] [CrossRef]
- Nithyanandam, G.K.; Pezhinkattil, R. A six sigma approach for precision machining in milling. Procedia Eng. 2014, 97, 1474–1488. [Google Scholar] [CrossRef]
- Korpysa, J.; Kuczmaszewski, J.; Zagórski, I. Dimensional accuracy and surface quality of AZ91D magnesium alloy components after precision milling. Materials 2021, 14, 6446. [Google Scholar] [CrossRef] [PubMed]
- ISO 21940-11:2016; Mechanical Vibration—Rotor Balancing—Part 11: Procedures and Tolerances for Rotors with Rigid Behavior. ISO: Geneva, Switzerland, 2016.












| Al | Mn | Zn | Cu | Others | Mg |
|---|---|---|---|---|---|
| 2.5–3.5 | 0.1–0.2 | 0.7–1.3 | 0.05 | 0.04 | Bal. |
| vc [m/min] | fz [µm/tooth] | ap [µm] | ae [mm] |
|---|---|---|---|
| 400 | 5 | 80 | 14 |
| 800 | |||
| 1200 | |||
| 800 | 1 | 80 | |
| 5 | |||
| 9 | |||
| 800 | 5 | 60 | |
| 80 | |||
| 100 |
| Test Result | vc [m/min] | fz [µm/tooth] | ap [µm] | ||||||
|---|---|---|---|---|---|---|---|---|---|
| 400 | 800 | 1200 | 1 | 5 | 9 | 60 | 80 | 100 | |
| TiAlN | |||||||||
| p-value | 0.0032 | 0.3724 | 0.0490 | 0.0002 | 0.3724 | 0.0000 | 0.2432 | 0.3724 | 0.0998 |
| W | 0.9585 | 0.9860 | 0.9745 | 0.9398 | 0.9860 | 0.9033 | 0.9834 | 0.9860 | 0.9784 |
| TiB2 | |||||||||
| p-value | 0.0001 | 0.0001 | 0.0021 | 0.0011 | 0.0001 | 0.1590 | 0.5017 | 0.0001 | 0.0159 |
| W | 0.9296 | 0.9368 | 0.9561 | 0.9519 | 0.9368 | 0.9810 | 0.9879 | 0.9368 | 0.9681 |
| Index | vc [m/min] | fz [µm/tooth] | ap [µm] | ||||||
|---|---|---|---|---|---|---|---|---|---|
| 400 | 800 | 1200 | 1 | 5 | 9 | 60 | 80 | 100 | |
| TiAlN | |||||||||
| Cp | 1.48 | 1.12 | 0.92 | 0.63 | 1.12 | 0.76 | 1.16 | 1.12 | 1.05 |
| Pp | 1.01 | 0.82 | 0.30 | 0.28 | 0.82 | 0.66 | 0.47 | 0.82 | 0.83 |
| Cpk | 1.05 | 0.36 | 0.92 | 0.47 | 0.36 | 0.64 | 0.75 | 0.36 | 0.45 |
| Ppk | 0.72 | 0.26 | 0.27 | 0.14 | 0.26 | 0.56 | 0.30 | 0.26 | 0.35 |
| TiB2 | |||||||||
| Cp | 2.15 | 2.42 | 1.68 | 1.15 | 2.42 | 1.17 | 1.57 | 2.42 | 1.58 |
| Pp | 0.90 | 0.73 | 0.44 | 0.26 | 0.73 | 0.82 | 1.20 | 0.73 | 0.87 |
| Cpk | 1.72 | 0.94 | 0.67 | 0.40 | 0.94 | 0.94 | 0.49 | 0.94 | 1.34 |
| Ppk | 0.82 | 0.52 | 0.19 | 0.09 | 0.52 | 0.66 | 0.37 | 0.52 | 0.83 |
Disclaimer/Publisher’s Note: The statements, opinions and data contained in all publications are solely those of the individual author(s) and contributor(s) and not of MDPI and/or the editor(s). MDPI and/or the editor(s) disclaim responsibility for any injury to people or property resulting from any ideas, methods, instructions or products referred to in the content. |
© 2023 by the authors. Licensee MDPI, Basel, Switzerland. This article is an open access article distributed under the terms and conditions of the Creative Commons Attribution (CC BY) license (https://creativecommons.org/licenses/by/4.0/).
Share and Cite
Korpysa, J.; Kuczmaszewski, J.; Zagórski, I. Capability Analysis of AZ91D Magnesium Alloy Precision Milling Process with Coated Tools. Materials 2023, 16, 3119. https://doi.org/10.3390/ma16083119
Korpysa J, Kuczmaszewski J, Zagórski I. Capability Analysis of AZ91D Magnesium Alloy Precision Milling Process with Coated Tools. Materials. 2023; 16(8):3119. https://doi.org/10.3390/ma16083119
Chicago/Turabian StyleKorpysa, Jarosław, Józef Kuczmaszewski, and Ireneusz Zagórski. 2023. "Capability Analysis of AZ91D Magnesium Alloy Precision Milling Process with Coated Tools" Materials 16, no. 8: 3119. https://doi.org/10.3390/ma16083119
APA StyleKorpysa, J., Kuczmaszewski, J., & Zagórski, I. (2023). Capability Analysis of AZ91D Magnesium Alloy Precision Milling Process with Coated Tools. Materials, 16(8), 3119. https://doi.org/10.3390/ma16083119
