Hydrothermal Reduction of CO2 to Value-Added Products by In Situ Generated Metal Hydrides
Abstract
1. Introduction
2. Characteristics of Water under Hydrothermal Conditions
2.1. Ion Product
2.2. Water Density
2.3. Dielectric Constant
2.4. Hydrogen Bonding
3. Hydrogen Production Using Metal
4. Experimental Studies of CO2 Reduction to Formic Acid
4.1. CO2 Reduction by Zinc
4.2. Detection of Zinc Hydrides
4.3. CO2 Reduction by Aluminum
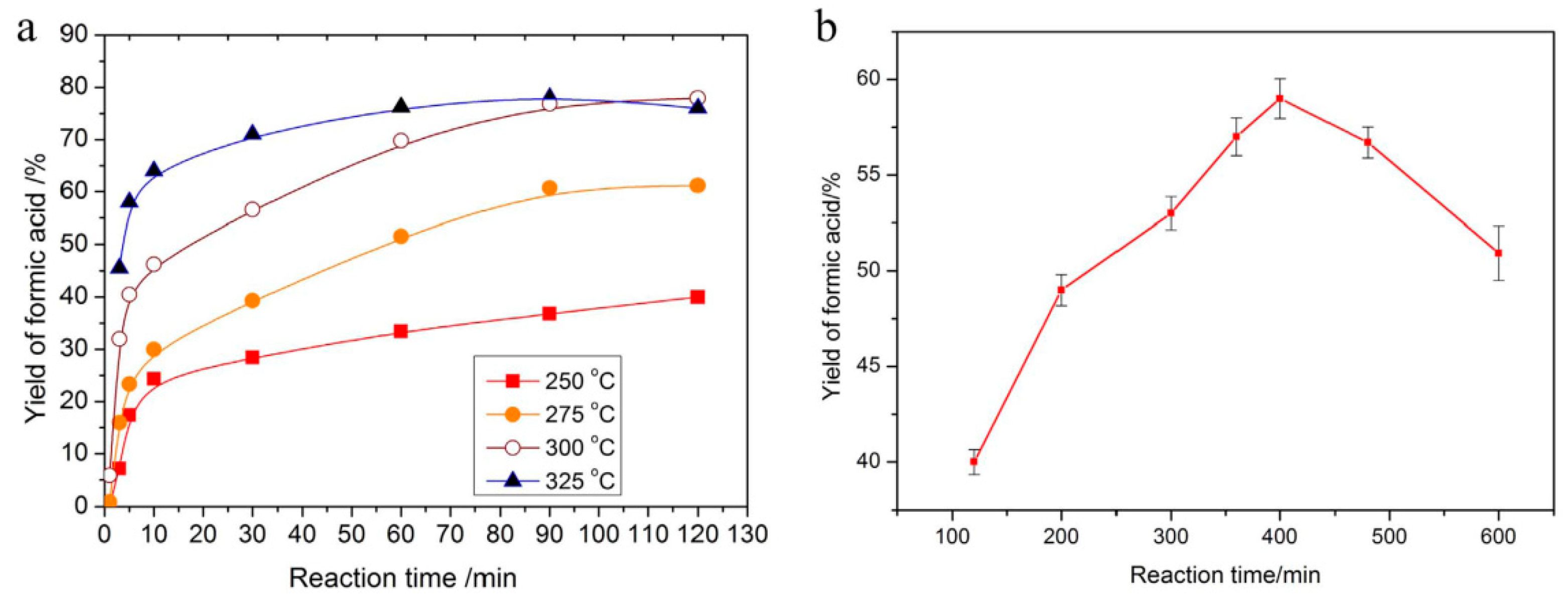
4.4. CO2 Reduction by Iron
4.5. CO2 Reduction by Manganese
5. Theoretical Study of CO2 Reduction to Formic Acid
5.1. CO2 Reduction by Zinc Hydrides
5.1.1. Formation of Zinc Hydrides
5.1.2. CO2 Reduction by Zinc Hydrides
5.2. CO2 Reduction by Aluminum Hydrides
5.3. CO2 Reduction by Iron Hydrides
5.3.1. Optimized Geometric Parameters
5.3.2. Energy Diagram for HCOO Production
5.3.3. IRC and HOMO/LUMO Calculation of Transition State
6. Hydrothermal Reduction of CO2 to Methanol
7. Hydrothermal Reduction of CO2 to Methane
8. Hydrothermal Reduction of CO2 to Long-Chain Hydrocarbons
9. Conclusions
10. Outlook
- (1)
- developing a stable catalyst to increase the reaction efficiency and decrease the reaction temperature;
- (2)
- exploring the detailed reaction mechanism to enhance the understanding of the reaction process;
- (3)
- developing reaction devices to perform industrial processes.
Author Contributions
Funding
Informed Consent Statement
Data Availability Statement
Conflicts of Interest
References
- Song, J.W.; Yang, Y.; Yao, G.D.; Zhong, H.; He, R.T.; Jin, B.B.; Jing, Z.Z.; Jin, F.M. Highly Efficient Synthesis of Hydrogen Storage Material of Formate from Bicarbonate and Water with General Zn Powder. Ind. Eng. Chem. Res. 2017, 56, 6349–6357. [Google Scholar] [CrossRef]
- Iqbal, M.; Azam, M.; Naeem, M.; Khwaja, A.S.; Anpalagan, A. Optimization classification, algorithms and tools for renewable energy: A review. Renew. Sustain. Energy Rev. 2014, 39, 640–650. [Google Scholar] [CrossRef]
- Gross, R.; Leach, M.; Bauen, A. Progress in renewable energy. Environ. Int. 2003, 29, 105–122. [Google Scholar] [CrossRef]
- Belmonte, N.; Girgenti, V.; Florian, P.; Peano, C.; Luetto, C.; Rizzi, P.; Baricco, M. A comparison of energy storage from renewable sources through batteries and fuel cells: A case study in Turin, Italy. Int. J. Hydrog. Energy 2016, 41, 21427–21438. [Google Scholar] [CrossRef]
- Allouhi, A.; El Fouih, Y.; Kousksou, T.; Jamil, A.; Zeraouli, Y.; Mourad, Y. Energy consumption and efficiency in buildings: Current status and future trends. J. Clean. Prod. 2015, 109, 118–130. [Google Scholar] [CrossRef]
- Zhang, F.; Zhao, P.; Niu, M.; Maddy, J. The survey of key technologies in hydrogen energy storage. Int. J. Hydrog. Energy 2016, 41, 14535–14552. [Google Scholar] [CrossRef]
- Ahmad, H.; Kamarudin, S.K.; Minggu, L.J.; Hasran, U.A.; Masdar, S.; Wan Daud, W.R. Enhancing methanol oxidation with a TiO2-modified semiconductor as a photo-catalyst. Int. J. Hydrog. Energy 2016, 42, 8986–8996. [Google Scholar] [CrossRef]
- Ravnsbaek, D.; Filinchuk, Y.; Cerenius, Y.; Jakobsen, H.J.; Besenbacher, F.; Skibsted, J.; Jensen, T.R. A Series of Mixed-Metal Borohydrides. Angew. Chem. 2009, 121, 6787–6791. [Google Scholar] [CrossRef]
- Weidenthaler, C.; Felderhoff, M. Solid-state hydrogen storage for mobile applications: Quo Vadis? Energy Environ. Sci. 2011, 4, 2495–2502. [Google Scholar] [CrossRef]
- McCammon, C. The Paradox of Mantle Redox. Science 2005, 308, 807–808. [Google Scholar] [CrossRef]
- Holm, N.G.; Charlou, J.L. Initial indications of abiotic formation of hydrocarbons in the Rainbow ultramafic hydrothermal system, Mid-Atlantic Ridge. Earth. Planet. Sci. Lett. 2001, 191, 1–8. [Google Scholar] [CrossRef]
- Collins, M.; An, S.I.; Cai, W.; Ganachaud, A.; Guilyardi, E.; Jin, F.F.; Jochum, M.; Lengaigne, M.; Power, S.; Timmermann, A.; et al. The impact of global warming on the tropical Pacific Ocean and El Nino. Nat. Geosci. 2010, 3, 391–397. [Google Scholar] [CrossRef]
- Solomon, S.; Plattner, G.K.; Knutti, R.; Friedlingstein, P. Irreversible climate change due to carbon dioxide emissions. Proc. Natl. Acad. Sci. USA 2009, 106, 1704–1709. [Google Scholar] [CrossRef] [PubMed]
- Jin, F.M.; Zeng, X.; Liu, J.K.; Jin, Y.J.; Wang, L.Y.; Zhong, H.; Yao, G.D.; Huo, Z.B. Highly efficient and autocatalytic H2O dissociation for CO2 reduction into formic acid with zinc. Sci. Rep. 2014, 4, 4503–4510. [Google Scholar] [CrossRef] [PubMed]
- Steinfeld, A. Solar hydrogen production via a two-step water-splitting thermochemical cycle based on Zn/ZnO redox reactions. Int. J. Hydrog. Energy 2002, 27, 611–619. [Google Scholar] [CrossRef]
- Kruse, A.; Dinjus, E. Hot compressed water as reaction medium and reactant-Properties and synthesis reactions. J. Super. Fluids 2007, 39, 362–380. [Google Scholar] [CrossRef]
- Jin, F.M.; Enomoto, H. Rapid and highly selective conversion of biomass into valueadded products in hydrothermal conditions: Chemistry of acid/base-catalysed and oxidation reactions. Energy Environ. Sci. 2011, 4, 382–397. [Google Scholar] [CrossRef]
- Peterson, A.A.; Vogel, F.; Lachance, R.P.; Froling, M.; Antal, M.J.; Tester, J.W. Thermochemical biofuel production in hydrothermal media: A review of sub- and supercritical water technologies. Energy Environ. Sci. 2008, 1, 32–65. [Google Scholar] [CrossRef]
- Akizuki, M.; Fujii, T.; Hayashi, R.; Oshima, Y. Effects of water on reactions for waste treatment, organic synthesis, and bio-refinery in sub- and supercritical water. J. Biosci. Bioeng. 2014, 117, 10–18. [Google Scholar] [CrossRef]
- Mizan, T.I.; Savage, P.E.; Ziff, R.M. Temperature dependence of hydrogen bonding in supercritical water. J. Phys. Chem. 1996, 100, 403–408. [Google Scholar] [CrossRef]
- Hoffmann, M.M.; Conradi, M.S. Are there hydrogen bonds in supercritical water? J. Am. Chem. Soc. 1997, 119, 3811–3817. [Google Scholar] [CrossRef]
- Jedlovszky, P.; Brodholt, J.P.; Bruni, F.; Ricci, M.A.; Soper, A.K.; Vallauri, R. Analysis of the hydrogen-bonded structure of water from ambient to supercritical conditions. J. Chem. Phys. 1998, 108, 8528–8540. [Google Scholar] [CrossRef]
- Kalinichev, A.G.; Churakov, S.V. Size and topology of molecular clusters in supercritical water: A molecular dynamics simulation. Chem. Phys. Lett. 1999, 302, 411–417. [Google Scholar] [CrossRef]
- Mountain, R.D. Voids and clusters in expanded water. J. Chem. Phys. 1999, 110, 2109–2115. [Google Scholar] [CrossRef]
- Yavor, Y.; Goroshin, S.; Bergthorson, J.M.; Frost, D.L. Comparative reactivity of industrial metal powders with water for hydrogen production. Int. J. Hydrog. Energy 2015, 40, 1026–1036. [Google Scholar] [CrossRef]
- Jin, F.M.; Gao, Y.; Jin, Y.J.; Zhang, Y.L.; Cao, J.L.; Wei, Z.; Smith, R.L. High-production reduction of carbon dioxide into formic acid by zero-valent metal/metal oxide redox cycles. Energy Environ. Sci. 2011, 4, 881–884. [Google Scholar] [CrossRef]
- Janecky, D.R.; Seyfried, W.E. Hydrothermal serpentinization of peridotite within the oceanic crust: Experimental investigations of mineralogy and major element chemistry. Geochim. Cosmochim. Acta 1986, 50, 1357–1378. [Google Scholar] [CrossRef]
- Xiong, G.; Pal, U.; Serrano, J.G.; Ucer, K.B.; Williams, R.T. Combined temperature-programmed desorption and infrared study of H2 chemisorption on ZnO. Phys. Stat. Sol. 2006, 3, 3577–3581. [Google Scholar] [CrossRef]
- Griffin, G.L.; Yates, J.T. Combined temperature-programmed desorption and infrared study of H2 chemisorption on ZnO. J. Catal. 1982, 73, 396–405. [Google Scholar] [CrossRef]
- Zapol, P.; Jaffe, J.B.; Hess, A.C. Ab initio study of hydrogen adsorption on the ZnO (1010) surface. Surf. Sci. 1999, 422, 1–7. [Google Scholar] [CrossRef]
- Sattler, W.; Parkin, G. Structure and reactivity of a mononuclear organozinc hydride complex: Facile insertion of CO2 into a Zn–H bond and CO2-promoted displacement of siloxide ligands. J. Am. Chem. Soc. 2011, 133, 9708–9711. [Google Scholar] [CrossRef] [PubMed]
- Yao, G.D.; Zeng, X.; Jin, Y.J.; Zhong, H.; Duo, J.; Jin, F.M. Hydrogen production by water splitting with Al and in-situ reduction of CO2 into formic acid. Int. J. Hydrog. Energy 2015, 40, 14284–14289. [Google Scholar] [CrossRef]
- Zhong, H.; Gao, Y.; Zeng, X.; Li, Q.; Huo, Z.; Jin, F. Highly efficient water splitting and carbon dioxide reduction into formic acid with iron and copper powder. Chem. Eng. J. 2015, 280, 215–221. [Google Scholar] [CrossRef]
- Duo, J.; Jin, F.M.; Wang, Y.Q.; Zhong, H.; Lyn, L.Y.; Yao, G.D.; Huo, Z.B. NaHCO3-enhanced hydrogen production from water with Fe and in situ highly efficient and autocatalytic NaHCO3 reduction into formic acid. Chem. Commun. 2016, 52, 3316–3319. [Google Scholar] [CrossRef] [PubMed]
- Zhang, Y.Q.; Chen, J.Y.; Siegbahn, E.M.; Liao, R. Zhen. Harnessing Noninnocent Porphyrin Ligand to Circumvent Fe-Hydride Formation in the Selective Fe-Catalyzed CO2 Reduction in Aqueous Solution. ACS Catal. 2020, 10, 6332–6345. [Google Scholar] [CrossRef]
- Neelameggham, N.R. Solar pyrometallurgy: An historic review. JOM 2008, 60, 48–50. [Google Scholar] [CrossRef]
- Neelameggham, N.R. Soda-fuel metallurgy: Metal ions for carbon neutral CO2 and H2O reduction. JOM 2009, 61, 25–27. [Google Scholar] [CrossRef]
- Sheshko, T.F.; Serov, Y.M. Bimetallic systems containing Fe, Co, Ni, and Mn nanoparticles as catalysts for the hydrogenation of carbon oxides. Russ. J. Phys. Chem. A 2012, 86, 283–288. [Google Scholar] [CrossRef]
- Lyu, L.; Zeng, X.; Yun, J.; Wei, F.; Jin, F. No Catalyst Addition and Highly Efficient Dissociation of H2O for the Reduction of CO2 to Formic Acid with Mn. Environ. Sci. Technol. 2014, 48, 6003–6009. [Google Scholar] [CrossRef]
- Alexander, S.; Nataliya, T.; Alexander, S. Kinetics of Al + H2O reaction: Theoretical study. J. Phys. Chem. A 2011, 115, 4476–4481. [Google Scholar]
- Alvarez-Barcia, S.; Jesus, R.F. A theoretical study of the dynamics of the Al + H2O reaction in the gas-phase. Chem. Phys. 2011, 382, 92–99. [Google Scholar] [CrossRef]
- Ogata, K.; Hatakeyama, M.; Jin, F.; Zeng, X.; Wang, Y.; Fujii, K.; Nakamura, S. A model study of hydrothermal reactions of trigonal dipyramidal Zn5 cluster with two water molecules. Comput. Theor. Chem. 2015, 1070, 126–131. [Google Scholar] [CrossRef]
- Zeng, X.; Hatakeyam, M.; Ogata, K.; Liu, J.; Wang, Y.; Gao, Q.; Fujii, K.; Fujihira, M.; Jin, F.; Nakamura, S. New insights into highly efficient reduction of CO2 to formic acid by using zinc under mild hydrothermal conditions: A joint experimental and theoretical study. Phys. Chem. Chem. Phys. 2014, 16, 19836–19840. [Google Scholar] [CrossRef] [PubMed]
- Atkins, P.; Paula, J. Physical Chemistry, 8th ed.; W.H. Freeman and Company: New York, NY, USA, 2006. [Google Scholar]
- Hao, H.; Cui, C.; Roesky, H.W.; Bai, G.; Schmidt, H.G.; Noltemeyer, M. Syntheses and structures of the first examples of zinc compounds with bridging fluorine and hydrogen atoms. Chem. Commun. 2001, 12, 1118–1119. [Google Scholar] [CrossRef]
- Yu, K.M.; Yeung, C.M.; Tsang, S.C. Carbon Dioxide Fixation into Chemicals (Methyl Formate) at High Yields by Surface Coupling over a Pd/Cu/ZnO Nanocatalyst. J. Am. Chem. Soc. 2007, 129, 6360–6361. [Google Scholar] [CrossRef]
- Sattler, W.; Parkin, G. Zinc Catalysts for On-Demand Hydrogen Generation and Carbon Dioxide Functionalization. J. Am. Chem. Soc. 2012, 134, 17462–17465. [Google Scholar] [CrossRef]
- Zeng, X.; Jin, F.M.; Yao, G.D.; Huo, Z.B. Theoretical study on highly efficient reduction of CO2 by in-situ produced hydrogen using Al under mild hydrothermal conditions. Int. J. Hydrog. Energy 2016, 41, 9140–9144. [Google Scholar] [CrossRef]
- Zeng, X.; Yin, G.D.; Zhou, Y.Y.; Zhao, J.F. New Insight into CO2 Reduction to Formate by In Situ Hydrogen Produced from Hydrothermal Reactions with Iron. Molecules, 2022; in press. [Google Scholar] [CrossRef]
- Yang, Y.; Evans, J.; Rodriguez, J.A.; White, M.G.; Liu, P. Fundamental studies of methanol synthesis from CO2 hydrogenation on Cu(111), Cu clusters, and Cu/ZnO(0001). Phys. Chem. Chem. Phys. 2010, 12, 9909–9917. [Google Scholar] [CrossRef]
- Guo, X.; Mao, D.; Lu, G.; Wang, S.; Wu, G. CO2 hydrogenation to methanol over Cu/ZnO/ZrO2 catalysts prepared via a route of solid-state reaction. Catal. Commun. 2011, 12, 1095–1098. [Google Scholar] [CrossRef]
- Vesborg, P.C.K.; Chorkendorff, I.; Knudsen, I.; Balmes, O.; Nerlov, J.; Molenbroek, A.M.; Clausen, B.S.; Helveg, S. Transient behavior of Cu/ZnO-based methanol synthesis catalysts. J. Catal. 2009, 262, 65–72. [Google Scholar] [CrossRef]
- Huo, Z.; Hu, M.; Zeng, X.; Yun, J.; Jin, F. Catalytic reduction of carbon dioxide into methanol over copper under hydrothermal conditions. Catal. Today 2012, 194, 25–29. [Google Scholar] [CrossRef]
- Kattel, S.; Ramirez, P.J.; Chen, J.G.; Rodriguez, J.A.; Liu, P. Active Sites for CO2 Hydrogenation to Methanol on Cu/ZnO Catalysts. Science 2017, 355, 1296–1299. [Google Scholar] [CrossRef] [PubMed]
- Hu, J.; Li, Y.; Zhen, Y.; Chen, M.; Wan, H. In situ FTIR and ex situ XPS/HS-LEIS study of supported Cu/A12O3 and Cu/ZnO catalysts for CO2 hydrogenation. Chin. J. Catal. 2021, 42, 367–375. [Google Scholar] [CrossRef]
- Taran, Y.A.; Kliger, G.A.; Sevastianov, V.S. Carbon isotope effects in the open-system Fischer-Tropsch synthesis. Geo. Cosmochim. Acta 2007, 71, 4474–4487. [Google Scholar] [CrossRef]
- Visconti, C.G.; Lietti, L.; Tronconi, E.; Forzatti, P.; Zennaro, R.; Finocchio, E. Fischer-Tropsch synthesis on a Co/Al2O3 catalyst with CO2 containing syngas. Appl. Catal. A 2009, 355, 61–68. [Google Scholar] [CrossRef]
- Pan, J.; Wu, X.; Wang, L.; Liu, G.; Lu, G.Q.; Cheng, H.-M. Synthesis of anatase TiO2 rods with dominant reactive {010} facets for the photoreduction of CO2 to CH4 and use in dye-sensitized solar cells. Chem. Commun. 2011, 47, 8361–8363. [Google Scholar] [CrossRef]
- Takahashi, H.; Kori, T.; Onoki, T.; Tohji, K.; Yamasaki, N. Hydrothermal processing of metal based compounds and carbon dioxide for the synthesis of organic compounds. J. Mater. Sci. 2008, 43, 2487–2491. [Google Scholar]
- Liu, Z.; Tian, G.; Zhu, S.; He, C.; Yue, H.; Feng, S. Ready Hydrothermal Reactions from Carbon Dioxide to Methane. ACS Sustain. Chem. Eng. 2013, 1, 313–315. [Google Scholar] [CrossRef]
- Zhong, H.; Yao, G.; Cui, X.; Yan, P.; Wang, X.; Jin, F. Selective conversion of carbon dioxide into methane with a 98% yield on an in situ formed Ni nanoparticle catalyst in water. Chem. Eng. J. 2019, 357, 421–427. [Google Scholar] [CrossRef]
- Charvin, P.; Abanades, S.; Flamant, G.; Lemort, F. Two-step water splitting thermochemical cycle based on iron oxide redox pair for solar hydrogen production. Energy 2007, 32, 1124–1133. [Google Scholar] [CrossRef]
- Fan, L.; Xia, C.; Yang, F.; Lu, Y. Strategies in catalysts and electrolyzer design for electrochemical CO2 reduction toward C2+ products. Sci. Adv. 2020, 6, eaay3111. [Google Scholar] [CrossRef] [PubMed]
- Yang, K.D.; Ko, W.R.; Lee, J.H.; Kim, S.J.; Lee, H.; Lee, M.H.; Nam, K.T. Morphology-directed selective production of ethylene or ethane from CO2 on a Cu mesopore electrode. Angew. Chem. 2017, 56, 796–800. [Google Scholar] [CrossRef]
- Zhou, W.; Cheng, K.; Kang, J.; Zhou, C.; Subramanian, V.; Zhang, Q.; Wang, Y. New horizon in C1 chemistry: Breaking the selectivity limitation in transformation of syngas and hydrogenation of CO2 into hydrocarbon chemicals and fuels. Chem. Soc. Rev. 2019, 48, 3193–3228. [Google Scholar] [CrossRef]
- McCollom, T.M.; Seewald, J.S. Abiotic synthesis of organic compounds in deep-sea hydrothermal environments. Chem. Rev. 2007, 107, 382–401. [Google Scholar] [CrossRef] [PubMed]
- Foustoukos, D.I.; Seyfried, W.E. Hydrocarbons in hydrothermal vent fluids: The role of chromium-bearing catalysts. Science 2004, 304, 1002–1005. [Google Scholar] [CrossRef]
- Tosca, N.J.; Jiang, C.Z.; Rasmussen, B.; Muhling, J. Products of the iron cycle on the early Earth. Free Radic. Biol. Med. 2019, 140, 138–153. [Google Scholar] [CrossRef] [PubMed]
- Hitzman, M.W.; Bookstrom, A.A.; Slack, J.F.; Zientek, M.L. Cobalt—Styles of Deposits and the Search for Primary Deposits; U.S. Geological Survey: Liston, VA, USA, 2017; Volume 53.
- He, D.; Wang, X.; Yang, Y.; He, R.; Zhong, H.; Wang, Y.; Han, B.; Jin, F. Hydrothermal synthesis of long-chain hydrocarbons up to C24 with NaHCO3- assisted stabilizing cobalt. Proc. Natl. Acad. Sci. USA 2021, 118, e2115059118. [Google Scholar] [CrossRef]
- McDermott, J.M.; Seewald, J.S.; German, C.R.; Sylva, S.P. Pathways for abiotic organic synthesis at submarine hydrothermal fields. Proc. Natl. Acad. Sci. USA 2015, 112, 7668–7672. [Google Scholar] [CrossRef]





























| Mode | Pattern | Assignment |
|---|---|---|
| Bidentate | ![]() | A and B are selected from H+, HO− or O2−. |
| Monodentate | ![]() | C is select from H+, HO− and O2− or H2O. |
| Pattern | Components | Number of Fragments | Number of Combinations |
|---|---|---|---|
| (1) | {H2O, H2O} | 2 | 20 |
| (2) | {H2O, H+, OH−} | 3 | 40 |
| (3) | {H2O, O2−, 2H+} | 4 | 228 |
| (4) | {2H+, 2OH−} | 4 | 29 |
| (5) | {O2−, 3H+, OH−} | 5 | 179 |
| (6) | {2O2−, 4H+} | 6 | 363 |
| Total | 859 |
Disclaimer/Publisher’s Note: The statements, opinions and data contained in all publications are solely those of the individual author(s) and contributor(s) and not of MDPI and/or the editor(s). MDPI and/or the editor(s) disclaim responsibility for any injury to people or property resulting from any ideas, methods, instructions or products referred to in the content. |
© 2023 by the authors. Licensee MDPI, Basel, Switzerland. This article is an open access article distributed under the terms and conditions of the Creative Commons Attribution (CC BY) license (https://creativecommons.org/licenses/by/4.0/).
Share and Cite
Zeng, X.; Yin, G.; Zhao, J. Hydrothermal Reduction of CO2 to Value-Added Products by In Situ Generated Metal Hydrides. Materials 2023, 16, 2902. https://doi.org/10.3390/ma16072902
Zeng X, Yin G, Zhao J. Hydrothermal Reduction of CO2 to Value-Added Products by In Situ Generated Metal Hydrides. Materials. 2023; 16(7):2902. https://doi.org/10.3390/ma16072902
Chicago/Turabian StyleZeng, Xu, Guodong Yin, and Jianfu Zhao. 2023. "Hydrothermal Reduction of CO2 to Value-Added Products by In Situ Generated Metal Hydrides" Materials 16, no. 7: 2902. https://doi.org/10.3390/ma16072902
APA StyleZeng, X., Yin, G., & Zhao, J. (2023). Hydrothermal Reduction of CO2 to Value-Added Products by In Situ Generated Metal Hydrides. Materials, 16(7), 2902. https://doi.org/10.3390/ma16072902



