Microstructures, Mechanical Properties and Electromagnetic Wave Absorption Performance of Porous SiC Ceramics by Direct Foaming Combined with Direct-Ink-Writing-Based 3D Printing
Abstract
1. Introduction
2. Materials and Methods
2.1. Raw Materials
2.2. Fabrication of Porous SiC Ceramics
2.2.1. Ink Preparation
2.2.2. Direct-Ink-Writing-Based 3D Printing
2.2.3. Pressureless Sintering
2.3. Characterization
3. Results and Discussion
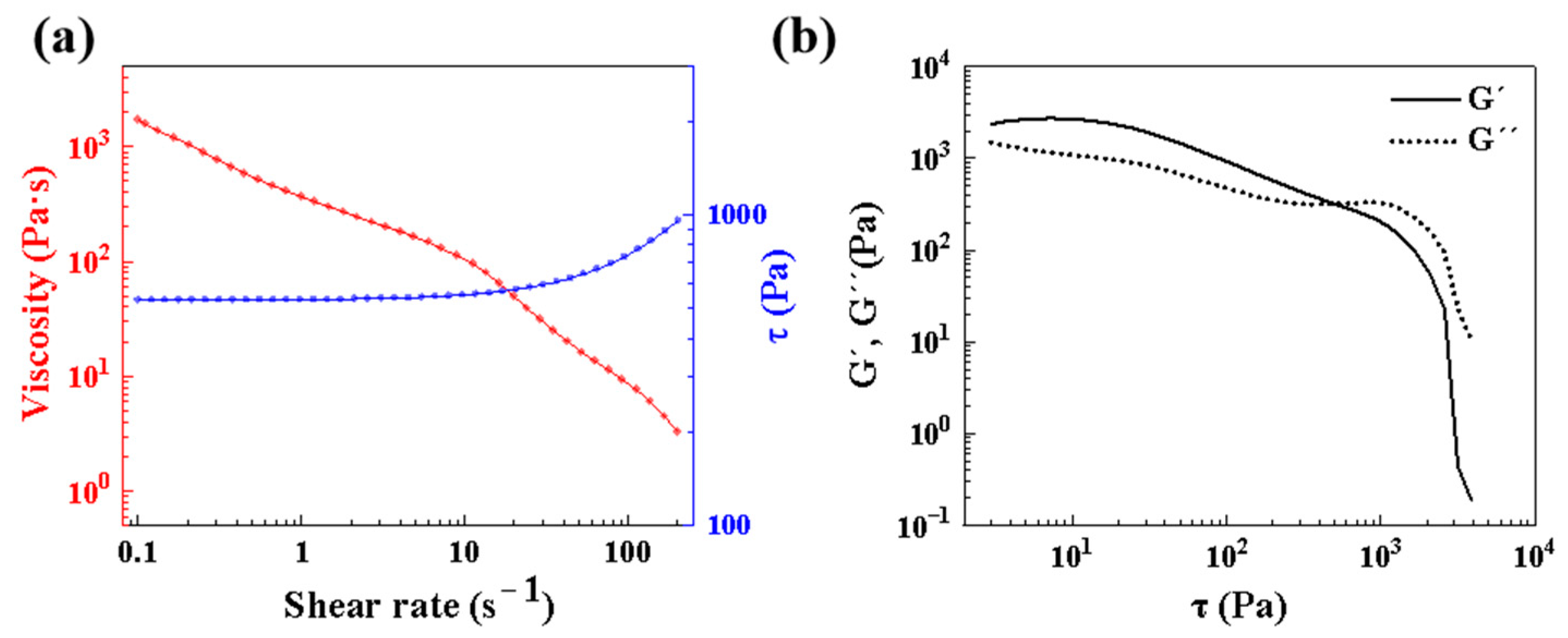
3.1. SiC Foam Ink for DIW-Based 3D Printing
3.2. SiC Green Bodies
3.3. Porous SiC-Sintered Ceramics
3.3.1. Phase Analysis and Microstructure Observation
3.3.2. Mechanical Properties
3.3.3. Electromagnetic (EM) Wave Absorption Performance
4. Conclusions
- (1)
- As the diameter of the nozzle increased, the formability of the porous SiC and the bubble breakage decreased. It was essential to select a suitable diameter that kept the microscopic pores closed while maintaining a certain level of printing accuracy.
- (2)
- Sintering temperature had a large influence on the shrinkage, porosity, and compressive strength of porous SiC ceramics. As the sintering temperature increased, the porosity decreased while the compressive strength improved. The porous SiC ceramic sintered at 1650 °C exhibited the most optimal compressive strength (7.9 MPa).
- (3)
- The dielectric permittivity and loss tangent of the porous SiC ceramics improved as the sintering temperature increased. Due to its highest porosity (65.4%), the porous SiC ceramic prepared at 1450 °C exhibited the most excellent electromagnetic absorption properties.
- (4)
- Combined with the mechanical properties and wave absorption properties, the porous SiC ceramic sintered at 1650 °C was more capable of meeting the practical requirements of engineering applications, as evidenced by the minimum RL value of −27.1 dB at a smaller thickness and the EAB value of 3.4 GHz that was better than that of the samples sintered at 1550 °C.
Author Contributions
Funding
Institutional Review Board Statement
Informed Consent Statement
Data Availability Statement
Conflicts of Interest
References
- Zeng, X.; Cheng, X.; Yu, R.; Stucky, G. Electromagnetic microwave absorption theory and recent achievements in microwave absorbers. Carbon 2020, 168, 606–623. [Google Scholar] [CrossRef]
- Li, Q.; Zhang, Z.; Qi, L.; Liao, Q.; Kang, Z.; Zhang, Y. Toward the application of high frequency electromagnetic wave absorption by carbon nanostructures. Adv. Sci. 2019, 6, 1801057. [Google Scholar] [CrossRef] [PubMed]
- Li, D.; Jia, D.; Yang, Z.; Zhou, Y. Principles, design, structure and properties of ceramics for microwave absorption or transmission at high-temperatures. Int. Mater. Rev. 2021, 67, 266–297. [Google Scholar] [CrossRef]
- Liu, C.; Yu, D.; Kirk, D.W.; Xu, Y. Electromagnetic wave absorption of silicon carbide based materials. RSC Adv. 2017, 7, 595–605. [Google Scholar] [CrossRef]
- Mu, Y.; Zhou, W.; Hu, Y.; Ding, D.; Luo, F.; Qing, Y. Enhanced microwave absorbing properties of 2.5D SiCf/SiC composites fabricated by a modified precursor infiltration and pyrolysis process. J. Alloys Compd. 2015, 637, 261–266. [Google Scholar] [CrossRef]
- Yang, L.; Liu, H.; Zu, M. Enhanced microwave-absorbing property of precursor infiltration and pyrolysis derived SiCf/SiC composites at X band: Role of carbon-rich interphase. J. Am. Ceram. Soc. 2018, 101, 3402–3413. [Google Scholar] [CrossRef]
- Dou, Y.; Li, J.; Fang, X.; Jin, H.; Cao, M. The enhanced polarization relaxation and excellent high-temperature dielectric properties of N-doped SiC. Appl. Phys. Lett. 2014, 104, 052102. [Google Scholar] [CrossRef]
- Nandihalli, N.; Gregory, D.; Mori, T. Energy-Saving Pathways for Thermoelectric Nanomaterial Synthesis: Hydrothermal/Solvothermal, Microwave-Assisted, Solution-Based, and Powder Processing. Adv. Sci. 2022, 9, 2106052. [Google Scholar] [CrossRef]
- Li, Y.; Liu, X.; Nie, X.; Yang, W.; Wang, Y.; Yu, R.; Shui, J. Multifunctional Organic-Inorganic Hybrid Aerogel for Self-Cleaning, Heat-Insulating, and Highly Efficient Microwave Absorbing Material. Adv. Funct. Mater. 2019, 29, 1807624. [Google Scholar] [CrossRef]
- Chen, J.; Liu, M.; Yang, T.; Zhai, F.; Hou, X.; Chou, K. Improved microwave absorption performance of modified SiC in the 2–18 GHz frequency range. CrystEngComm 2017, 19, 519–527. [Google Scholar] [CrossRef]
- Lv, X.; Ye, F.; Cheng, L.; Zhang, L. 3D printing “wire-on-sphere” hierarchical SiC nanowires/SiC whiskers foam for efficient high-temperature electromagnetic wave absorption. J. Mater. Sci. Technol. 2022, 109, 94–104. [Google Scholar] [CrossRef]
- Ye, F.; Zhang, L.; Yin, X.; Liu, Y.; Cheng, L. Dielectric and electromagnetic wave absorbing properties of two types of SiC fibres with different compositions. J. Mater. Sci. Technol. 2013, 29, 55–58. [Google Scholar] [CrossRef]
- Meng, S.; Guo, X.; Jin, G.; Wang, Y.; Xie, S. Preparation and microwave absorbing properties of SiC microtubes. J. Mater. Sci. 2011, 47, 2899–2902. [Google Scholar] [CrossRef]
- Xiao, T.; Kuang, J.; Pu, H.; Zheng, Q.; Lu, Y.; Liu, W.; Cao, W. Hollow SiC microtube with multiple attenuation mechanisms for broadband electromagnetic wave absorption. J. Alloys Compd. 2021, 862, 158032. [Google Scholar] [CrossRef]
- Dong, S.; Zhang, X.; Zhang, D.; Sun, B.; Yan, L.; Luo, X. Strong effect of atmosphere on the microstructure and microwave absorption properties of porous SiC ceramics. J. Eur. Ceram. Soc. 2018, 38, 29–39. [Google Scholar] [CrossRef]
- Xiang, Z.; He, Q.; Wang, Y.; Yin, X. Hollow porous SiC spheres prepared by in-situ reaction with efficient microwave absorption. Ceram. Int. 2022, 48, 35317–35327. [Google Scholar] [CrossRef]
- Liang, C.; Wang, Z. Eggplant-derived SiC aerogels with high-performance electromagnetic wave absorption and thermal insulation properties. Chem. Eng. J. 2019, 373, 598–605. [Google Scholar] [CrossRef]
- Liu, C.; Yu, D.; Kirk, D.; Xu, Y. Porous silicon carbide derived from apple fruit with high electromagnetic absorption performance. J. Mater. Chem. C 2016, 4, 5349–5356. [Google Scholar] [CrossRef]
- Wu, R.; Zhou, K.; Yue, C.; Wei, J.; Pan, Y. Recent progress in synthesis, properties and potential applications of SiC nanomaterials. Prog. Mate. Sci. 2015, 72, 1–60. [Google Scholar] [CrossRef]
- Tuci, G.; Liu, Y.; Rossin, A.; Guo, X.; Pham, C.; Giambastiani, G.; Pham-Huu, C. Porous silicon carbide (SiC): A Chance for improving catalysts or just another active-phase carrier? Chem. Rev. 2021, 121, 10559–10665. [Google Scholar] [CrossRef]
- Chen, Y.; Wang, N.; Ola, O.; Xia, Y.; Zhu, Y. Porous ceramics: Light in weight but heavy in energy and environment technologies. Mat. Sci. Eng. R 2021, 143, 100589. [Google Scholar] [CrossRef]
- Wei, H.; Cheng, L.; Shchukin, D. Effect of Porous Structure on the Microwave Absorption Capacity of Soft Magnetic Connecting Network Ni/Al2O3/Ni Film. Materials 2020, 13, 1764. [Google Scholar] [CrossRef] [PubMed]
- Huang, L.; Qin, H.; Hu, T.; Xie, J.; Guo, W.; Gao, P.; Xiao, H. Fabrication of high permeability SiC ceramic membrane with gradient pore structure by one-step freeze-casting process. Ceram. Int. 2021, 47, 17597–17605. [Google Scholar] [CrossRef]
- Jackowski, M.; Małek, M. A multi-site study of a new cement composite brick with partial cement substitutes and waste materials. Case Stud. Constr. Mat. 2023, 18, e01992. [Google Scholar] [CrossRef]
- Liang, C.; Wang, Z.; Wu, L.; Zhang, X.; Wang, H.; Wang, Z. Light and strong hierarchical porous SiC foam for efficient electromagnetic interference shielding and thermal insulation at elevated temperatures. ACS Appl. Mater. Interfaces 2017, 9, 29950–29957. [Google Scholar] [CrossRef] [PubMed]
- Cui, Y.; Cai, J.; Li, Z.; Jiao, Z.; Hu, L.; Hu, J. Effect of Porosity on Dynamic Response of Additive Manufacturing Ti-6Al-4V Alloys. Micromachines 2022, 23, 408. [Google Scholar] [CrossRef] [PubMed]
- Rahmatabadi, D.; Soltanmohammadi, K.; Aberoumand, M.; Soleyman, E.; Ghasemi, I.; Baniassadi, M.; Abrinia, K.; Bodaghi, M.; Baghani, M. Development of Pure Poly Vinyl Chloride (PVC) with Excellent 3D Printability and Macro-and Micro-Structural Properties. Macromol. Mater. Eng. 2022, 2200568. [Google Scholar] [CrossRef]
- Rahmatabadi, D.; Ghasemi, I.; Baniassadi, M.; Abrinia, K.; Baghani, M. 3D printing of PLA-TPU with different component ratios: Fracture toughness, mechanical properties, and morphology. J. Mater. Res. Technol. 2022, 21, 3970–3981. [Google Scholar] [CrossRef]
- Li, L.; Liu, W.; Wang, Y.; Zhao, Z. Mechanical performance and damage monitoring of CFRP thermoplastic laminates with an open hole repaired by 3D printed patches. Compos. Struct. 2023, 303, 116308. [Google Scholar] [CrossRef]
- Moradi, M.; Aminzadeh, A.; Rahmatabadi, D.; Rasouli, S. Statistical and Experimental Analysis of Process Parameters of 3D Nylon Printed Parts by Fused Deposition Modeling: Response Surface Modeling and Optimization. J. Mater. Eng. Perform. 2021, 30, 5441–5454. [Google Scholar] [CrossRef]
- Chen, Z.; Li, Z.; Li, J.; Liu, C.; Lao, C.; Fu, Y.; Liu, C.; Li, Y.; Wang, P.; He, Y. 3D printing of ceramics: A review. J. Eur. Ceram. Soc. 2019, 39, 661–687. [Google Scholar] [CrossRef]
- He, R.; Zhou, N.; Zhang, K.; Zhang, X.; Zhang, L.; Wang, W.; Fang, D. Progress and challenges towards additive manufacturing of SiC ceramic. J. Adv. Ceram. 2021, 10, 637–674. [Google Scholar] [CrossRef]
- Shahzad, A.; Lazoglu, I. Direct ink writing (DIW) of structural and functional ceramics: Recent achievements and future challenges. Compos. Part B-Eng. 2021, 225, 109249. [Google Scholar] [CrossRef]
- Franchin, G.; Scanferla, P.; Zeffiro, L.; Elsayed, H.; Baliello, A.; Giacomello, G.; Pasetto, M.; Colombo, P. Direct ink writing of geopolymeric inks. J. Eur. Ceram. Soc. 2017, 37, 2481–2489. [Google Scholar] [CrossRef]
- Huang, K.; Elsayed, H.; Franchin, G.; Colombo, P. 3D printing of polymer-derived SiOC with hierarchical and tunable porosity. Addit. Manuf. 2020, 36, 101549. [Google Scholar] [CrossRef]
- Guo, Z.; Yang, R.; Wang, T.; An, L.; Ren, S.; Zhou, C. Cost-effective additive manufacturing of ambient pressure-dried silica aerogel. J. Manuf. Sci. Eng. 2021, 143, 011011. [Google Scholar] [CrossRef]
- Muth, J.; Dixon, P.; Woish, L.; Gibson, L.; Lewis, J. Architected cellular ceramics with tailored stiffness via direct foam writing. Proc. Natl. Acad. Sci. USA 2017, 114, 1832–1837. [Google Scholar] [CrossRef] [PubMed]
- Román-Manso, B.; Muth, J.; Gibson, L.; Ruettinger, W.; Lewis, J. Hierarchically porous ceramics via direct writing of binary colloidal gel foams. ACS Appl. Mater. Interfaces 2021, 13, 8976–8984. [Google Scholar] [CrossRef] [PubMed]
- Minas, C.; Carnelli, D.; Tervoort, E.; Studart, A. 3D printing of emulsions and foams into hierarchical porous ceramics. Adv. Mater. 2016, 28, 9993–9999. [Google Scholar] [CrossRef]
- Guo, Z.; An, L.; Lakshmanan, S.; Armstrong, J.; Ren, S.; Zhou, C. Additive manufacturing of porous ceramics with foaming agent. J. Manuf. Sci. Eng. 2022, 144, 021010. [Google Scholar] [CrossRef]
- Ma, S.; Liu, X.; Fu, S.; Zhao, S.; He, P.; Duan, X.; Yang, Z.; Jia, D.; Colombo, P.; Zhou, Y. Direct ink writing of porous SiC ceramics with geopolymer as binder. J. Eur. Ceram. Soc. 2022, 42, 6815–6826. [Google Scholar] [CrossRef]
- Wang, W.; Bai, X.; Zhang, L.; Jing, S.; Shen, C.; He, R. Additive manufacturing of Csf/SiC composites with high fiber content by direct ink writing and liquid silicon infiltration. Ceram. Int. 2022, 48, 3895–3903. [Google Scholar] [CrossRef]
- Yan, J.; Huang, Y.; Liu, X.; Zhao, X.; Li, T.; Zhao, Y.; Liu, P. Polypyrrole-Based Composite Materials for Electromagnetic Wave Absorption. Polym. Rev. 2021, 61, 646–687. [Google Scholar] [CrossRef]
- Ding, G.; He, R.; Zhang, K.; Xie, C.; Wang, M.; Yang, Y.; Fang, D. Stereolithography-based additive manufacturing of gray-colored SiC ceramic green body. J. Am. Ceram. Soc. 2019, 102, 7198–7209. [Google Scholar] [CrossRef]
- Zhao, H.; Liu, Z.; Yang, Y.; Liu, X.; Zhang, K.; Li, Z. Preparation and properties of porous silicon carbide ceramics through coat-mix and composite additives process. Trans. Nonferrous Met. Soc. China 2011, 21, 1329–1334. [Google Scholar] [CrossRef]
- Liu, J.; Xiao, H.; Guo, W.; Gao, P.; Liang, J. Spheroidization of SiC powders and their improvement on the properties of SiC porous ceramics. Ceram. Int. 2018, 44, 3830–3836. [Google Scholar] [CrossRef]
- Liu, S.; Li, M.; Wu, J.; Chen, A.; Shi, Y.; Li, C. Preparation of high-porosity Al2O3 ceramic foams via selective laser sintering of Al2O3 poly-hollow microspheres. Ceram. Int. 2020, 46, 4240–4247. [Google Scholar] [CrossRef]
- Wang, N.; Liu, Y.; Zhang, Y.; Du, Y.; Zhang, J. Control of pore structure during freeze casting of porous SiC ceramics by different freezing modes. Ceram. Int. 2019, 45, 11558–11563. [Google Scholar] [CrossRef]
- Ren, X.; Ma, B.; Zhang, Y.; Zhu, Q.; Li, D.; Li, S.; Yuan, L.; Yu, J.; Liu, G.; Li, H. Effects of sintering temperature and V2O5 additive on the properties of SiC-Al2O3 ceramic foams. J. Alloys Compd. 2018, 732, 716–724. [Google Scholar] [CrossRef]
- Chen, R.; Jin, X.; Hei, D.; Lin, P.; Liu, F.; Zhan, J.; Lao, D.; Li, M.; Jia, W.; Shan, Q.; et al. Enhanced mechanical strength of SiC reticulated porous ceramics via addition of in-situ chopped carbon fibers. J. Alloys Compd. 2021, 888, 161638. [Google Scholar] [CrossRef]
- Zhou, W.; Yan, W.; Li, N.; Li, Y.; Dai, Y.; Zhang, Z. Fabrication and characterization of a mullite-foamed ceramic reinforced by in-situ SiC whiskers. Ceram. Int. 2020, 46, 3132–3138. [Google Scholar] [CrossRef]
- Liang, X.; Li, Y.; Liu, J.; Sang, S.; Chen, Y.; Li, B.; Aneziris, C. Improvement of the mechanical properties of SiC reticulated porous ceramics with optimized three-layered struts for porous media combustion. Ceram. Int. 2017, 43, 3741–3747. [Google Scholar] [CrossRef]
- Han, L.; Wang, J.; Li, F.; Wang, H.; Deng, X.; Zhang, H.; Zhang, S. Low-temperature preparation of Si3N4 whiskers bonded/reinforced SiC porous ceramics via foam-gelcasting combined with catalytic nitridation. J. Eur. Ceram. Soc. 2018, 38, 1210–1218. [Google Scholar] [CrossRef]
- Malik, R.; Kim, Y.; Song, I. High interfacial thermal resistance induced low thermal conductivity in porous SiC-SiO2 composites with hierarchical porosity. J. Eur. Ceram. Soc. 2020, 40, 594–602. [Google Scholar] [CrossRef]
- Yang, M.; Zhang, J.; Zhang, Y.; Sun, W.; Shi, Z. Permeability and corrosion resistance of porous SiOC-bonded SiC ceramics prepared by the preceramicpolymer. Int. J. Appl. Ceram. Technol. 2023, 102, 1–10. [Google Scholar] [CrossRef]
- An, Z.; Zhang, R.; Fang, D. Synthesis of monolithic SiC aerogels with high mechanical strength and low thermal conductivity. Ceram. Int. 2019, 45, 11368–11374. [Google Scholar] [CrossRef]
- Liu, J.; Ren, B.; Rong, Y.; Lu, Y.; Zhao, Y.; Wang, L.; Xi, X.; Yang, J.; Huang, Y. Ultralight and mechanically robust SiC foams with interconnected cellular architecture. Ceram. Int. 2020, 46, 17962–17968. [Google Scholar] [CrossRef]
- Liang, X.; Li, Y.; Yan, W.; Wang, Q.; Tan, F.; He, Z.; Sang, S. Preparation of SiC reticulated porous ceramics with high strength and increased efficient filtration via fly ash addition. J. Eur. Ceram. Soc. 2021, 41, 2290–2296. [Google Scholar] [CrossRef]
- Dong, Y.; Fan, X.; Wei, H.; Hou, Z.; Li, M.; Qu, Q.; Yin, X.; Cheng, L.; Zhang, L. A lightweight CNWs-SiO2/3Al2O3·2SiO2 porous ceramic with excellent microwave absorption and thermal insulation properties. Ceram. Int. 2020, 46, 20395–20403. [Google Scholar] [CrossRef]
- Dai, D.; Lan, X.; Wu, L.; Wang, Z. Designed fabrication of lightweight SiC/Si3N4 aerogels for enhanced electromagnetic wave absorption and thermal insulation. J. Alloys Compd. 2022, 901, 163651. [Google Scholar] [CrossRef]
- Wang, S.; Xiao, N.; Zhou, Y.; Ling, Z.; Li, M.; Qiu, J. Lightweight carbon foam from coal liquefaction residue with broad-band microwave absorbing capability. Carbon 2016, 105, 224–226. [Google Scholar] [CrossRef]













| SiC Loading of the Ink, vol% | Relative to SiC Mass, wt% | MC Relative to the Distilled Water Mass, wt% | |||||
|---|---|---|---|---|---|---|---|
| PVA | PEG | Al2O3 | Y2O3 | SiO2 | DTAB | ||
| 35 | 1.0 | 0.56 | 7.0 | 2.0 | 1.0 | 2.0 | 1.5 |
| Nozzle Diameter (mm) | X1 (mm) | Y1 (mm) | X2 (mm) | Y2 (mm) |
|---|---|---|---|---|
| 0.8 mm | 58.12 ± 0.34 | 19.71 ± 0.40 | 61.02 ± 0.99 | 20.84 ± 0.46 |
| 1.0 mm | 60.39 ± 0.17 | 20.37 ± 0.50 | 63.35 ± 0.85 | 22.01 ± 0.61 |
| 1.5 mm | 57.77 ± 1.32 | 21.02 ± 0.44 | 62.35 ± 0.87 | 24.11 ± 0.32 |
Disclaimer/Publisher’s Note: The statements, opinions and data contained in all publications are solely those of the individual author(s) and contributor(s) and not of MDPI and/or the editor(s). MDPI and/or the editor(s) disclaim responsibility for any injury to people or property resulting from any ideas, methods, instructions or products referred to in the content. |
© 2023 by the authors. Licensee MDPI, Basel, Switzerland. This article is an open access article distributed under the terms and conditions of the Creative Commons Attribution (CC BY) license (https://creativecommons.org/licenses/by/4.0/).
Share and Cite
Wu, J.; Zhang, L.; Wang, W.; Su, R.; Gao, X.; Li, S.; Wang, G.; He, R. Microstructures, Mechanical Properties and Electromagnetic Wave Absorption Performance of Porous SiC Ceramics by Direct Foaming Combined with Direct-Ink-Writing-Based 3D Printing. Materials 2023, 16, 2861. https://doi.org/10.3390/ma16072861
Wu J, Zhang L, Wang W, Su R, Gao X, Li S, Wang G, He R. Microstructures, Mechanical Properties and Electromagnetic Wave Absorption Performance of Porous SiC Ceramics by Direct Foaming Combined with Direct-Ink-Writing-Based 3D Printing. Materials. 2023; 16(7):2861. https://doi.org/10.3390/ma16072861
Chicago/Turabian StyleWu, Jianqin, Lu Zhang, Wenqing Wang, Ruyue Su, Xiong Gao, Suwen Li, Gang Wang, and Rujie He. 2023. "Microstructures, Mechanical Properties and Electromagnetic Wave Absorption Performance of Porous SiC Ceramics by Direct Foaming Combined with Direct-Ink-Writing-Based 3D Printing" Materials 16, no. 7: 2861. https://doi.org/10.3390/ma16072861
APA StyleWu, J., Zhang, L., Wang, W., Su, R., Gao, X., Li, S., Wang, G., & He, R. (2023). Microstructures, Mechanical Properties and Electromagnetic Wave Absorption Performance of Porous SiC Ceramics by Direct Foaming Combined with Direct-Ink-Writing-Based 3D Printing. Materials, 16(7), 2861. https://doi.org/10.3390/ma16072861

