Effect of Temperatures and Graphene on the Mechanical Properties of the Aluminum Matrix: A Molecular Dynamics Study
Abstract
1. Introduction
2. Calculation Details
3. Results and Discussion
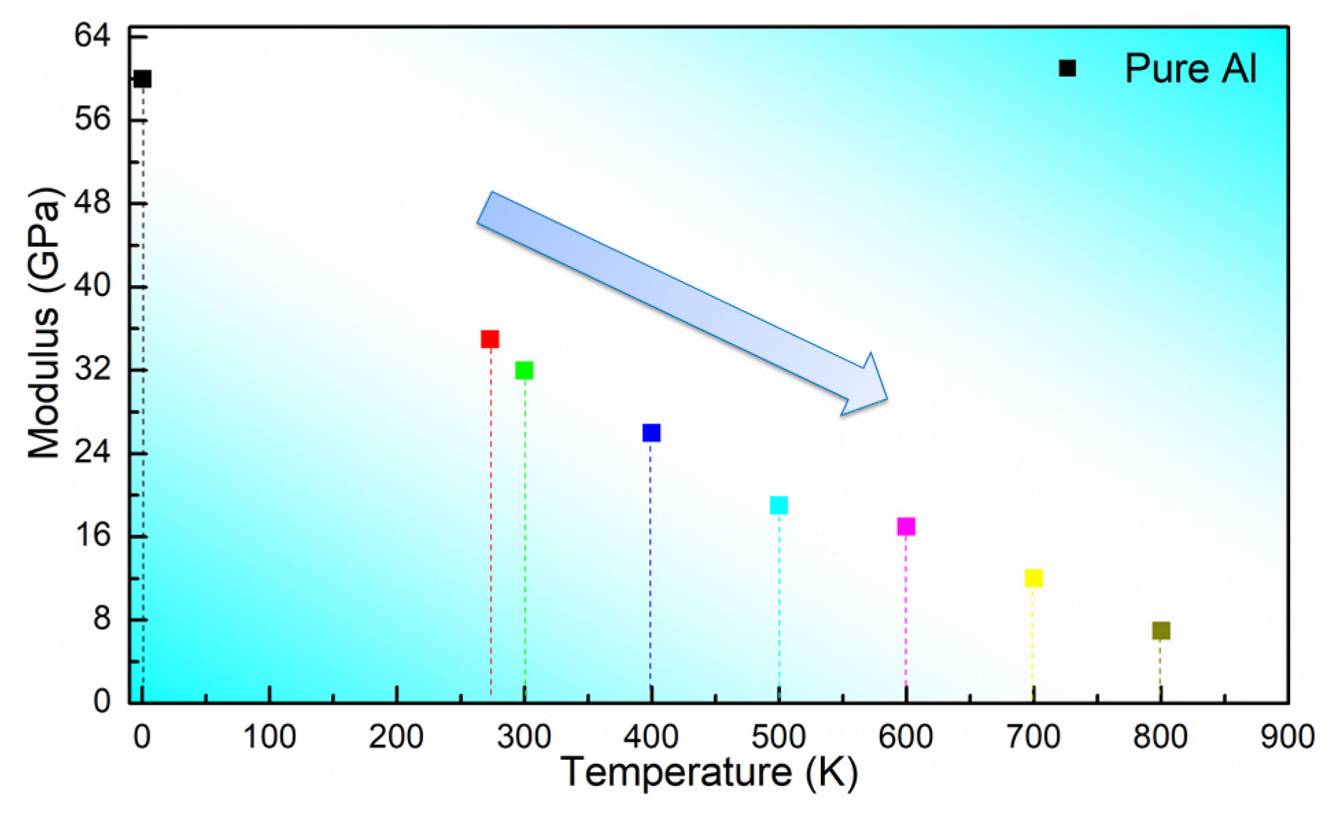
3.1. Effect of Temperature on Aluminum Substrate and Graphene Nanosheets
3.2. Effect of Graphene Distribution on the Mechanical Properties of Graphene/Aluminum Composites
3.3. Multilayer Graphene in Graphene/Aluminum Composite Failure Behavior
4. Conclusions
Author Contributions
Funding
Institutional Review Board Statement
Informed Consent Statement
Data Availability Statement
Conflicts of Interest
References
- Javed, S.M.; Ahmad, Z.; Ahmed, S.; Iqbal, S.; Naqvi, I.J.; Usman, M.; Ashiq, M.N.; Elnaggar, Z.M. El-Bahy, Highly dispersed active sites of Ni nanoparticles onto hierarchical reduced graphene oxide architecture towards efficient water oxidation. Fuel 2022, 312, 122926. [Google Scholar]
- Kuang, C.; Tan, P.; Javed, M.; Khushi, H.H.; Nadeem, S.; Iqbal, S.; Alshammari, F.H.; Alqahtani, M.D.; Alsaab, H.O.; Awwad, N.S.; et al. Boosting photocatalytic interaction of sulphur doped reduced graphene oxide-based S@rGO/NiS2 nanocomposite for destruction of pathogens and organic pollutant degradation caused by visible light. Inorg. Chem. Commun. 2022, 141, 109575. [Google Scholar] [CrossRef]
- Pradhan, S.K.; Sahoo, M.R.; Ratha, S.; Polai, B.; Mitra, A.; Sathpathy, B.; Sahu, A.; Kar, S.; Satyam, P.V.; Ajayan, P.M.; et al. Graphene-incorporated aluminum with enhanced thermal and mechanical properties for solar heat collectors. AIP Adv. 2020, 10, 065016. [Google Scholar] [CrossRef]
- Deng, Y.; Oudich, M.; Gerard, N.J.; Ji, J.; Lu, M.; Jing, Y. Magic-angle bilayer phononic graphene. Phys. Rev. B 2020, 102, 180304. [Google Scholar] [CrossRef]
- Novoselov, K.S.; Falko, V.I.; Colombo, L.; Gellert, P.R.; Schwab, M.G.; Kim, K. A roadmap for graphene. Nature 2012, 490, 192–200. [Google Scholar] [CrossRef]
- Dai, Z.; Hou, Y.; Sanchez, D.A.; Wang, G.; Brennan, C.J.; Zhang, Z.; Liu, L.Q.; Lu, N.S. Interface-Governed Deformation of Nanobubbles and Nanotents Formed by Two-Dimensional Materials. Phys. Rev. Lett. 2018, 121, 266101. [Google Scholar] [CrossRef]
- Dai, Z.; Liu, L.; Zhang, Z. Strain Engineering of 2D Materials: Issues and Opportunities at the Interface. Adv. Mater. 2019, 31, 1805417. [Google Scholar] [CrossRef]
- Fan, B.B.; Guo, H.H.; Li, W.; Jia, Y.; Zhang, R. Preparation and influencing factors of graphene-silver nanocomposites. Acta Phys. Sin. 2013, 60, 148101. [Google Scholar]
- Li, J.L.; Xiong, Y.C.; Wang, X.D.; Yan, S.J.; Yang, C.; He, W.W.; Chen, J.Z.; Wang, S.Q.; Zhang, X.Y.; Dai, S.L. Microstructure and tensile properties of bulk nanostructured aluminum/graphene com posites prepared via cryomilling. Mater. Sci. Eng. A 2015, 625, 400–405. [Google Scholar] [CrossRef]
- Ju, B.; Yang, W.; Shao, P.; Hussain, M.; Zhang, Q.; Xiu, Z.; Hou, X.W.; Qiao, J.; Wu, G.H. Effect of interfacial microstructure on the mechanical properties of GNPs/Al composites. Carbon 2020, 162, 346–355. [Google Scholar] [CrossRef]
- Liu, H.; Kang, P.; Yang, W.; Zhang, N.; Sun, Y.; Wu, G. Ablation behavior of Al20Si/graphite composite nozzle-throats in a solid rocket motor environment. Ceram. Int. 2020, 46, 13317–13323. [Google Scholar] [CrossRef]
- Kumar, P.L.; Lombardi, A.; Byczynski, G.; Murty, S.N.; Murty, B.S.; Bichler, L. Recent advances in aluminium matrix composites reinforced with graphene-based nanomaterial: A critical review. Prog. Mater. Sci. 2022, 128, 100948. [Google Scholar]
- Jayaseelan, J.; Pazhani, A.; Michael, A.X.; Paulchamy, J.; Batako, A.; Hosamane Guruswamy, P.K. Characterization Studies on Graphene-Aluminium Nano Composites for Aerospace Launch Vehicle External Fuel Tank Structural Application. Materials 2022, 15, 907. [Google Scholar] [CrossRef]
- Sun, Y.; Zhou, C.; Zhao, Z.; Yu, Z.; Wang, Z.; Liu, H.; Zhang, N.; Yang, J.; Wu, G.H. Microstructure and mechanical properties of Ti2AlC particle and in-situ TiAl3 reinforced pure Al composites. Mater. Sci. Eng. A 2020, 785, 139310. [Google Scholar] [CrossRef]
- Kang, P.; Liu, H.; Yang, W.; Wang, W.; Zhang, N.; Zhao, Q.; Mula, S.; Wu, G.H. Microstructure and ablation behavior of SiMo/graphite composites with excellent short-time ablation resistance. Corros. Sci. 2020, 168, 108590. [Google Scholar] [CrossRef]
- Xue, W.; Jiang, L.; Zhang, B.; Jing, D.; He, T.; Chen, G.Q.; Xiu, Z.Y.; Wu, G.H. Quantitative analysis of the effects of particle content and aging temperature on aging behavior in B4C/6061Al composites. Mater. Charact. 2020, 163, 110305. [Google Scholar] [CrossRef]
- Tan, X.; Zhang, B.; Liu, K.; Yan, X.; Han, J.; Liu, X.; Yang, W.S.; Zhou, C.; Yu, Z.H.; Shao, P.S.; et al. Microstructure and mechanical property of the 2024Al matrix hybrid composite reinforced with recycled SiCp/2024Al composite particles. J. Alloys Compd. 2020, 815, 52330. [Google Scholar] [CrossRef]
- Zhang, Y.; Wang, S.; Zhao, X.; Wang, F.; Wu, G. In Situ Study on Fracture Behavior of Z-Pinned Carbon Fiber-Reinforced Aluminum Matrix Composite via Scanning Electron Microscope (SEM). Materials 2019, 12, 1941. [Google Scholar] [CrossRef]
- Kim, Y.; Lee, J.; Yeom, M.S.; Shin, J.W.; Kim, H.; Cui, Y.; Kysar, J.W.; Hone, J.; Jeon, J.S.; Han, S.M. Strengthening effect of single-atomic-layer graphene in metal-graphene nanolayered composites. Nat. Commun. 2013, 4, 2114. [Google Scholar] [CrossRef]
- Wang, S.; Zhang, Y.; Sun, P.; Cui, Y.; Wu, G. Microstructure and Flexural Properties of Z-Pinned Carbon Fiber-Reinforced Aluminum Matrix Composites. Materials 2019, 12, 174. [Google Scholar] [CrossRef]
- Li, Z.; Guo, Q.; Li, Z.; Fan, G.; Xiong, D.B.; Su, Y.; Zhang, J.; Zhang, D. Enhanced Mechanical Properties of Graphene (Reduced Graphene Oxide)/Aluminum Composites with a Bioinspired Nanolaminated Structure. Nano Lett. 2015, 15, 8077–8083. [Google Scholar] [CrossRef] [PubMed]
- Zhao, L.; Guo, Q.; Li, Z.; Xiong, D.B.; Osovski, S.; Su, Y.; Zhang, D. Strengthening and deformation mechanisms in nanolaminated graphene-Al composite micro-pillars affected by graphene in-plane sizes. Int. J. Plast. 2019, 116, 265–279. [Google Scholar] [CrossRef]
- Tong, M.; Hong-Xian, X. Formation mechanism of face-centered cubic phase in impact process of single crystal iron along [101] direction. Acta Phys. Sin. 2020, 69, 130202. [Google Scholar]
- Lyu, G.J.; Qiao, J.C.; Yao, Y.; Pelletier, J.M.; Rodney, D.; Morthomas, J.; Fusco, C. Dynamic correspondence principle in the viscoelasticity of metallic glasses. Scr. Mater. 2020, 147, 39–43. [Google Scholar] [CrossRef]
- Zhou, X.; Bu, W.M.; Song, S.Y.; Sansoz, F.; Huang, X.R. Multiscale modeling of interfacial mechanical behaviours of SiC/Mg nanocomposites. Mater. Des. 2019, 182, 08093. [Google Scholar] [CrossRef]
- Du, Y.; Zhou, Q.; Jia, Q.; Shi, Y.; Wang, H.; Wang, J. Imparities of shear avalanches dynamic evolution in a metallic glass. Mater. Res. Lett. 2020, 8, 357–363. [Google Scholar] [CrossRef]
- Charleston, J.; Agrawal, A.; Mirzaeifar, R. Effect of interface configuration on the mechanical properties and dislocation mechanisms in metal graphene composites. Comput. Mater. Sci. 2020, 178, 109621. [Google Scholar] [CrossRef]
- Weng, S.; Ning, H.; Fu, T.; Hu, N.; Zhao, Y.; Huang, C.; Peng, X. Molecular dynamics study of strengthening mechanism of nanolaminated graphene/Cu composites under compression. Sci. Rep. 2018, 8, 3089. [Google Scholar] [CrossRef]
- Shuang, F.; Aifantis, K.E. Relating the strength of graphene/metal composites to the graphene orientation and position. Scr. Mater. 2020, 181, 70–75. [Google Scholar] [CrossRef]
- Thompson, A.P.; Aktulga, H.M.; Berger, R.; Bolintineanu, D.S.; Brown, W.M.; Crozier, P.S.; in’t Veld, P.J.; Kohlmeyer, A.; Moore, S.G.; Nguyen, T.D.; et al. LAMMPS-a flexible simulation tool for particle-based materials modeling at the atomic, meso, and continuum scales. Comput. Phys. Commun. 2022, 271, 10817. [Google Scholar] [CrossRef]
- Wang, P.; Yang, X.H.; Tian, X.B. Fracture behavior of precracked nanocrystalline materials with grain size gradients. J. Mater. Res. 2015, 30, 709–716. [Google Scholar] [CrossRef]
- Daw, M.S.; Baskes, M.I. Embedded-atom method: Derivation and application to impurities, surfaces and other defects in metals. Phys. Rev. B 1984, 29, 6443–6453. [Google Scholar] [CrossRef]
- Brenner, D.W.; Shenderova, Q.A.; Harrison, J.A.; Stuart, S.J.; Ni, B.; Sinnott, S.B. A second-generation reactive empirical bond order (REBO) potential energy expression for hydrocarbons. J. Phys. Condens. Matter. 2002, 14, 783–802. [Google Scholar] [CrossRef]
- Silvestre, N.; Faria, B.; Canongia Lopes, J.N. Compressive behavior of CNT-reinforced aluminum composites using molecular dynamics. Compos. Sci. Technol. 2014, 90, 16–24. [Google Scholar] [CrossRef]
- Han, R.Q.; Song, H.Y.; An, M.R.; Li, W.W.; Ma, J.L. Simulation of interaction behavior between dislocation and graphene during nanoindentation of graphene/aluminum matrix nanocomposites. Acta Phys. Sin. 2021, 70, 066201. [Google Scholar] [CrossRef]
- Kumar, S. Graphene Engendered aluminium crystal growth and mechanical properties of its composite: An atomistic investigation. Mater. Chem. Phys. 2018, 208, 41–48. [Google Scholar] [CrossRef]
- Krull, H.; Yuan, H. Suggestions to the cohesive traction-separation law from atomistic simulations. Eng. Fract. Mech. 2011, 78, 525–533. [Google Scholar] [CrossRef]
- Stukowski, A. Visualization and analysis of atomistic simulation data with OVITO-the Open Visualization Tool. Model. Simul. Mater. Sci. Eng. 2010, 18, 015012. [Google Scholar] [CrossRef]
- Munilla, J. Surface effects in atomistic mechanical simulations of Al nanocrystals. Phys. Rev. B 2009, 80, 024109. [Google Scholar] [CrossRef]
- Kutana, A.; Giapis, K.P. Transient Deformation Regime in Bending of Single-Walled Carbon Nanotubes. Phys. Rev. Lett. 2006, 97, 245501. [Google Scholar] [CrossRef]
- Jin, N.P.; Zhang, H.; Han, Y.; Wu, W.X.; Chen, J.H. Hot deformation behavior of 7150 aluminum alloy during compression at elevated temperature. Mater. Charact. 2009, 60, 530–536. [Google Scholar] [CrossRef]
- Lee, W.S.; Sue, W.C.; Lin, C.F.; Wu, C.J. The strain rate and temperature dependence of the dynamic impact properties of 7075 aluminum alloy. J. Mater. Process. Technol. 2000, 100, 16–122. [Google Scholar] [CrossRef]
- Hu, H.E.; Zhen, L.; Yang, L.; Shao, W.Z.; Zhang, B.Y. Deformation behavior and microstructure evolution of 7050 aluminum alloy during high temperature deformation. Mater. Sci. Eng. A 2008, 488, 64–71. [Google Scholar] [CrossRef]
- Lee, J.H.; Loya, P.E.; Lou, J.; Thomas, E.L. Dynamic mechanical behavior of multilayer graphene via supersonic projectile penetration. Science 2014, 346, 1092–1096. [Google Scholar] [CrossRef]
- Huang, J.T.; Liu, Y.; Lai, Z.H.; Hu, J.; Zhou, F.; Zhu, J.C. A systematic study of interface properties and fracture behavior of graphene/aluminum: Insights from a first-principles study. Vacuum 2022, 204, 111346. [Google Scholar] [CrossRef]
- Yu, Z.H.; Yang, W.Z.; Zhou, C.; Zhang, N.B.; Chao, Z.L.; Liu, H.; Cao, Y.F.; Sun, Y.; Shao, P.Z.; Wu, G.H. Effect of ball milling time on graphene nanosheets reinforced Al6063 composite fabricated by pressure infiltration method. Carbon 2019, 141, 25–39. [Google Scholar] [CrossRef]
- Wu, G.H.; Yu, Z.; Jiang, L.T.; Zhou, C.; Deng, G.; Deng, X.; Xiao, Y. A novel method for preparing graphene nanosheets/Al composites by accumulative extrusion-bonding process. Carbon 2019, 152, 932–945. [Google Scholar] [CrossRef]











| Interacting | Atoms | Types | |
|---|---|---|---|
| L–J potential function | Al–Al [39] | C–C [40] | Al–C [35,36] |
| /Å | 2.620 | 3.407 | 3.014 |
| /eV | 0.416 | 0.003 | 0.035 |
| 0 K | 273 K | 300 K | 400 K | 500 K | 600 K | 700 K | 800 K | |
|---|---|---|---|---|---|---|---|---|
| Modulus (GPa) | 60.1 | 35.2 | 32.4 | 26.1 | 19.3 | 17.2 | 12.1 | 7.2 |
| Stress (GPa) | 7.2 | 3.4 | 3.1 | 2.5 | 1.9 | 1.4 | 0.9 | 0.3 |
| 0 K | 273 K | 300 K | 400 K | 500 K | 600 K | 700 K | 800 K | |
|---|---|---|---|---|---|---|---|---|
| Modulus (GPa) | 844.1 | 661.8 | 648.9 | 600.7 | 570.8 | 528.9 | 520.3 | 498.2 |
| Stress (GPa) | 94.1 | 85.6 | 83.7 | 80.9 | 79.2 | 70.8 | 68.2 | 67.3 |
Disclaimer/Publisher’s Note: The statements, opinions and data contained in all publications are solely those of the individual author(s) and contributor(s) and not of MDPI and/or the editor(s). MDPI and/or the editor(s) disclaim responsibility for any injury to people or property resulting from any ideas, methods, instructions or products referred to in the content. |
© 2023 by the authors. Licensee MDPI, Basel, Switzerland. This article is an open access article distributed under the terms and conditions of the Creative Commons Attribution (CC BY) license (https://creativecommons.org/licenses/by/4.0/).
Share and Cite
Huang, J.; Li, M.; Chen, J.; Cheng, Y.; Lai, Z.; Hu, J.; Zhou, F.; Qu, N.; Liu, Y.; Zhu, J. Effect of Temperatures and Graphene on the Mechanical Properties of the Aluminum Matrix: A Molecular Dynamics Study. Materials 2023, 16, 2722. https://doi.org/10.3390/ma16072722
Huang J, Li M, Chen J, Cheng Y, Lai Z, Hu J, Zhou F, Qu N, Liu Y, Zhu J. Effect of Temperatures and Graphene on the Mechanical Properties of the Aluminum Matrix: A Molecular Dynamics Study. Materials. 2023; 16(7):2722. https://doi.org/10.3390/ma16072722
Chicago/Turabian StyleHuang, Jingtao, Mingwei Li, Jiaying Chen, Yuan Cheng, Zhonghong Lai, Jin Hu, Fei Zhou, Nan Qu, Yong Liu, and Jingchuan Zhu. 2023. "Effect of Temperatures and Graphene on the Mechanical Properties of the Aluminum Matrix: A Molecular Dynamics Study" Materials 16, no. 7: 2722. https://doi.org/10.3390/ma16072722
APA StyleHuang, J., Li, M., Chen, J., Cheng, Y., Lai, Z., Hu, J., Zhou, F., Qu, N., Liu, Y., & Zhu, J. (2023). Effect of Temperatures and Graphene on the Mechanical Properties of the Aluminum Matrix: A Molecular Dynamics Study. Materials, 16(7), 2722. https://doi.org/10.3390/ma16072722

