Towards an Optimized Artificial Neural Network for Predicting Flow Stress of In718 Alloys at High Temperatures
Abstract
1. Introduction
2. Materials and Methods
2.1. Hot Compression Tests
2.2. Preparation for the Training Data
2.3. ANN Model for Predicting Flow Stress
3. Results and Discussion
3.1. Measured and Predicted Flow Stress
3.2. Predicted Strain Dependency of Flow Stress
3.3. Predicted Temperature Dependency of Flow Stress
3.4. Predicted Strain Rate Dependency of Flow Stress
3.5. Predicted Flow Stress by Using the Optimized ANN
4. Conclusions
- (1)
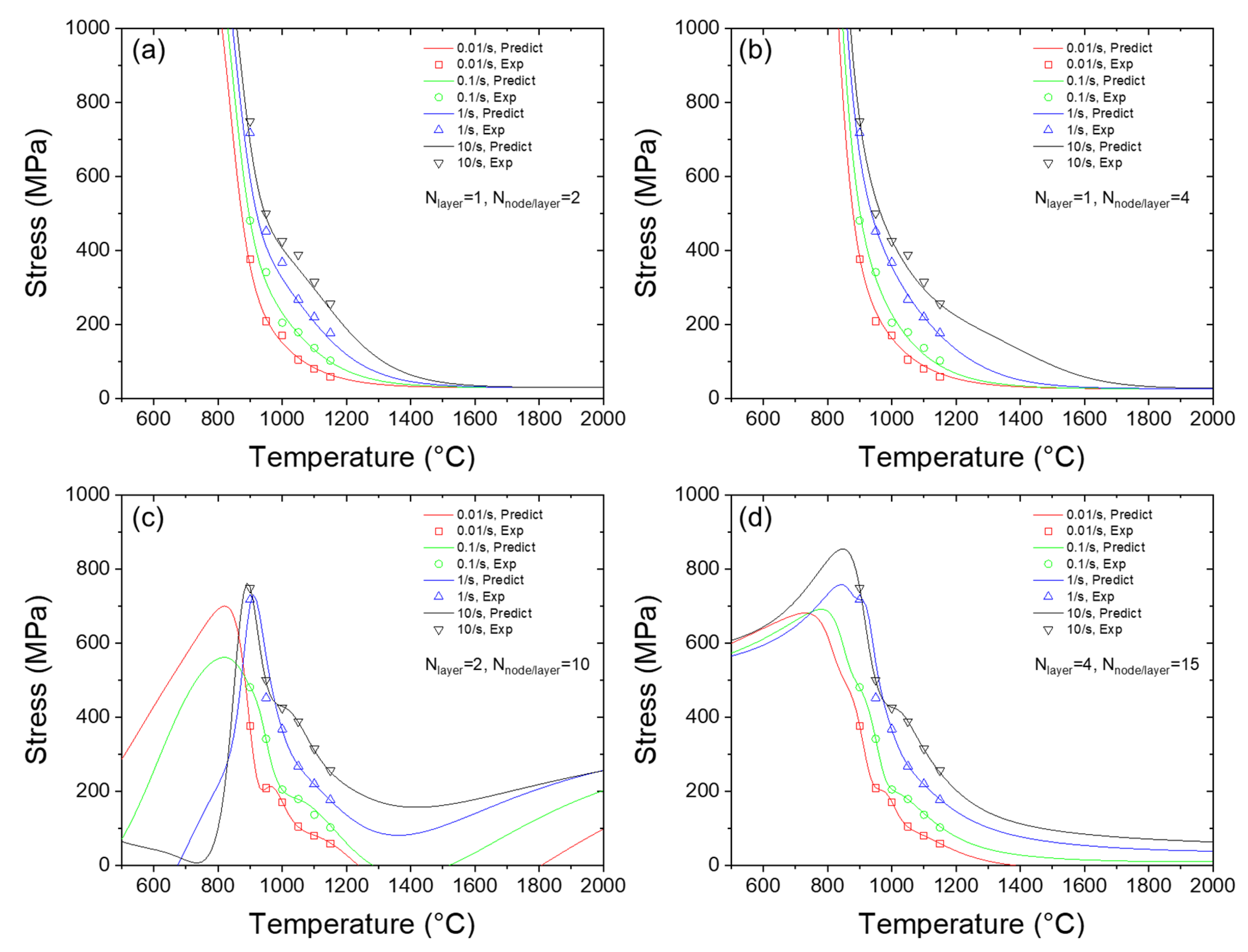
- The comparison shows that the ability of the ANN to retrieve the flow stress results from training dataset is significantly enhanced as the size of the ANN increases, but the ability to predict the flow stress results absent from the training decreases when the ANN size exceeds a critical value.
- (2)
- For In718 alloy and similar metals, ANNs with very few nodes in the hidden layer are preferred rather than large ANNs with tens or hundreds of nodes in the hidden layers. Specifically, the ANN with one hidden layer and four nodes possesses optimized performance for predicting the flow stress of In718 alloys in this study.
- (3)
- The reason why there exists an optimized ANN size is discussed. When ANN size is less than the optimized size, the prediction, especially of the strain dependency, falls into underfitting and fails to predict the curve. When the ANN size is less than the optimized size, the predicted flow stress curves with temperature, strain, and strain rate will contain non-physical fluctuations, thus reducing its prediction accuracy for extrapolation.
Author Contributions
Funding
Institutional Review Board Statement
Informed Consent Statement
Data Availability Statement
Conflicts of Interest
References
- Polloc, T.M.; Tin, S. Nickel-Based Superalloys for Advanced Turbine Engines: Chemistry, Microstructure and Properties. J. Propuls. Power 2006, 22, 361. [Google Scholar] [CrossRef]
- De Bartolomeis, A.; Newman, S.T.; Jawahir, I.; Biermann, D.; Shokrani, A. Future research directions in the machining of Inconel 718. J. Mater. Process. Technol. 2021, 297, 117260. [Google Scholar] [CrossRef]
- Gruber, K.; Szymczyk-Ziółkowska, P.; Dziuba, S.; Duda, S.; Zielonka, P.; Seitl, S.; Lesiuk, G. Fatigue crack growth characterization of Inconel 718 after additive manufacturing by laser powder bed fusion and heat treatment. Int. J. Fatigue 2023, 166, 107287. [Google Scholar] [CrossRef]
- Zhao, X.; Gu, Y.; Lu, J.; Yan, J.; Yin, H. New Research Development of Superalloy GH4169. Rare Met. Mater. Eng. 2015, 44, 768–774. [Google Scholar]
- Wang, Z.T.; Zhang, S.; Li, D. Study on Technology of Super-Alloy GH4169 During Hot Tube Extrusion. J. Iron Steel Res. Int. 2010, 17, 18–23. [Google Scholar] [CrossRef]
- Mandal, P.; Lalvani, H.; Tuffs, M. Cold Rotary Forging of Inconel 718. J. Manuf. Process. 2019, 46, 77–99. [Google Scholar] [CrossRef]
- Lalam, S.V.; Reddy, G.M.; Mohandas, T.; Kamaraj, M.; Murty, B.S. Strain Induced Recrystallization in Hot Forged Inconel 718 Alloy. Arch. Metall. Mater. 2012, 57, 593–603. [Google Scholar]
- Rehman, A.; Usmani, Y.; Al-Samhan, A.; Anwar, S. Rotary Friction Welding of Inconel 718 to Inconel 600. Metals 2021, 11, 244. [Google Scholar] [CrossRef]
- Lalam, S.V.; Reddy, G.M.; Mohandas, T.; Kamaraj, M.; Murty, B.S. Continuous drive friction welding of Inconel 718 and EN24 dissimilar metal combination. Mater. Sci. Technol. 2009, 25, 851–861. [Google Scholar] [CrossRef]
- Smith, M.; Bichler, L.; Gholipour, J.; Wanjara, P. Mechanical properties and microstructural evolution of in-service Inconel 718 superalloy repaired by linear friction welding. Int. J. Adv. Manuf. Technol. 2016, 90, 1931–1946. [Google Scholar] [CrossRef]
- Alexopoulos, N.D.; Argyriou, N.; Stergiou, V.; Kourkoulis, S.K. Fatigue Behavior of Inconel 718 TIG Welds. J. Mater. Eng. Perform. 2014, 23, 2973–2983. [Google Scholar] [CrossRef]
- Hong, J.; Park, J.; Park, N.; Eom, I.; Kim, M.; Kang, C. Microstructures and mechanical properties of Inconel 718 welds by CO2 laser welding. J. Mater. Process. Technol. 2008, 201, 515–520. [Google Scholar] [CrossRef]
- Juillet, C.; Oudriss, A.; Balmain, J.; Feaugas, X.; Pedraza, F. Characterization and oxidation resistance of additive manufactured and forged IN718 Ni-based superalloys. Corros. Sci. 2018, 142, 266–276. [Google Scholar] [CrossRef]
- Lei, B.; Shi, Q.; Yang, L.; Liu, C.; Pan, J.; Chen, G. Evolution of interfacial contact during low pressure rotary friction welding: A finite element analysis. J. Manuf. Process. 2020, 56, 643–655. [Google Scholar] [CrossRef]
- Tang, T.; Shi, Q.; Lei, B.; Zhou, J.; Gao, Y.; Li, Y.; Zhang, G.; Chen, G. Transition of interfacial friction regime and its influence on thermal responses in rotary friction welding of SUS304 stainless steel: A fully coupled transient thermomechanical analysis. J. Manuf. Process. 2022, 82, 403–414. [Google Scholar] [CrossRef]
- Sellars, C.; McTegart, W. On the mechanism of hot deformation. Acta Met. 1966, 14, 1136–1138. [Google Scholar] [CrossRef]
- Laasraoui, A.; Jonas, J.J. Prediction of steel flow stresses at high temperatures and strain rates. Metall. Mater. Trans. A 1991, 22, 1545–1558. [Google Scholar] [CrossRef]
- Johnson, G.R.; Cook, W. A constitutive model and data for metals subjected to large strains, high strain rates and high temperatures. Eng. Fract. Mech. 1983, 21, 541–548. [Google Scholar]
- Jin, Y.; Zhao, J.; Zhang, C.; Luo, J.; Wang, S. Research on Neural Network Prediction of Multidirectional Forging Microstructure Evolution of GH4169 Superalloy. J. Mater. Eng. Perform. 2021, 30, 2708–2719. [Google Scholar] [CrossRef]
- Jin, Y.; Xue, H.; Yang, Z.; Zhang, L.; Zhang, C.; Wang, S.; Luo, J. Constitutive Equation of GH4169 Superalloy and Microstructure Evolution Simulation of Double-Open Multidirec-tional Forging. Metals 2019, 9, 1146. [Google Scholar] [CrossRef]
- Wang, Z.; Hou, G.; Zhao, Y.; Sun, J.; Guo, J.; Chen, W. Characterization of Residual Stresses and Grain Structure in Hot Forging of GH4169. Aerospace 2022, 9, 92. [Google Scholar] [CrossRef]
- Yang, X.; Li, W.; Li, J.; Xiao, B.; Ma, T.; Huang, Z.; Guo, J. Finite element modeling of the linear friction welding of GH4169 superalloy. Mater. Des. 2015, 87, 215–230. [Google Scholar] [CrossRef]
- Geng, P.; Qin, G.; Zhou, J. A computational modeling of fully friction contact-interaction in linear friction welding of Ni-based superalloys. Mater. Des. 2020, 185, 108244. [Google Scholar] [CrossRef]
- Nan, X.; Xiong, J.; Jin, F.; Li, X.; Liao, Z.; Zhang, F.; Li, J. Modeling of rotary friction welding process based on maximum entropy production principle. J. Manuf. Process. 2018, 37, 21–27. [Google Scholar] [CrossRef]
- Senthilkumar, V.; Balaji, A.; Arulkirubakaran, D. Application of constitutive and neural network models for prediction of high temperature flow behavior of Al/Mg based nanocomposite. Trans. Nonferrous Met. Soc. China 2013, 23, 1737–1750. [Google Scholar] [CrossRef]
- Sabokpa, O.; Zarei-Hanzaki, A.; Abedi, H.; Haghdadi, N. Artificial neural network modeling to predict the high temperature flow behavior of an AZ81 magnesium alloy. Mater. Des. 2012, 39, 390–396. [Google Scholar] [CrossRef]
- Gan, S.; Zhao, L. A comparison study at the flow stress prediction of Ti-5Al-5Mo-5V-3Cr-1Zr alloy based on BP-ANN and Arrhenius model. Mater. Res. Express 2018, 5, 66505. [Google Scholar]
- Liu, J.; Chang, H.; Hsu, T.; Ruan, X. Prediction of the flow stress of high-speed steel during hot deformation using a BP artificial neural network. J. Mater. Process. Technol. 2000, 103, 200–205. [Google Scholar] [CrossRef]
- Huang, W.; Lei, L.; Fang, G. Comparison Between Four Flow Stress Models Characterizing the Constitutive Behavior of Hot Deformation of 40Mn Steel. J. Mater. Eng. Perform. 2021, 30, 9149–9164. [Google Scholar] [CrossRef]
- Wan, P.; Zou, H.; Wang, K.; Zhao, Z. Research on hot deformation behavior of Zr-4 alloy based on PSO-BP artificial neural network. J. Alloy. Compd. 2020, 826, 154047. [Google Scholar] [CrossRef]
- Moon, I.Y.; Jeong, H.W.; Lee, H.W.; Kim, S.-J.; Oh, Y.-S.; Jung, J.; Oh, S.; Kang, S.-H. Predicting High Temperature Flow Stress of Nickel Alloy A230 Based on an Artificial Neural Network. Metals 2022, 12, 223. [Google Scholar] [CrossRef]
- Sani, S.A.; Ebrahimi, G.; Vafaeenezhad, H.; Kiani-Rashid, A. Modeling of hot deformation behavior and prediction of flow stress in a magnesium alloy using constitutive equation and artificial neural network (ANN) model. J. Magnes. Alloy 2018, 6, 134–144. [Google Scholar] [CrossRef]
- Haghdadi, N.; Zarei-Hanzaki, A.; Khalesian, A.; Abedi, H. Artificial neural network modeling to predict the hot deformation behavior of an A356 aluminum alloy. Mater. Des. 2013, 49, 386–391. [Google Scholar] [CrossRef]
- Yang, X.; Li, W.; Ma, J.; Hu, S.; He, Y.; Li, L.; Xiao, B. Thermo-physical simulation of the compression testing for constitutive modeling of GH4169 superalloy during linear friction welding. J. Alloys Compd. 2015, 656, 395–407. [Google Scholar] [CrossRef]
- Abbassi, F.; Belhadj, T.; Mistou, S.; Zghal, A. Parameter identification of a mechanical ductile damage using Artificial Neural Networks in sheet metal forming. Mater. Des. 2013, 45, 605–615. [Google Scholar] [CrossRef]
- Pedregosa, F.; Varoquaux, G.; Gramfort, A.; Michel, V.; Thirion, B.; Grisel, O.; Blondel, M.; Prettenhofer, P.; Weiss, R.; Dubourg, V.; et al. Scikit-learn: Machine Learning in Python. J. Mach. Learn. Res. 2011, 12, 2825–2830. [Google Scholar]








| Element | C | Cr | Si | Cu | Mn | Mo | P | Ni | S | Pb |
|---|---|---|---|---|---|---|---|---|---|---|
| Mass Fraction, % | 0.027 | 17.89 | 0.062 | 0.05 | 0.13 | 2.92 | 0.0084 | 53.14 | <0.001 | <0.0005 |
| Element | Ag | Ti | Al | Nb | Ta | B | Bi | Co | Ca | O |
| Mass Fraction, % | <0.0005 | 1.01 | 0.51 | 5.42 | 0.003 | 0.038 | <0.00003 | 0.28 | <0.005 | <0.0003 |
| Element | Mg | Tl | Te | As | Se | Sn | N | Fe | ||
| Mass Fraction, % | <0.003 | <0.0001 | <0.00005 | <0.0025 | <0.0003 | 0.0012 | 0.006 | Bal |
| RMSE between Measurement and Prediction | ||
|---|---|---|
| Training Dataset | Validating Dataset | |
| Case 1 | 34.96 MPa | 30.30 MPa |
| Case 2 | 21.21 MPa | 23.43 MPa |
| Case 3 | 4.25 MPa | 95.16 MPa |
| Case 4 | 2.03 MPa | 81.52 MPa |
Disclaimer/Publisher’s Note: The statements, opinions and data contained in all publications are solely those of the individual author(s) and contributor(s) and not of MDPI and/or the editor(s). MDPI and/or the editor(s) disclaim responsibility for any injury to people or property resulting from any ideas, methods, instructions or products referred to in the content. |
© 2023 by the authors. Licensee MDPI, Basel, Switzerland. This article is an open access article distributed under the terms and conditions of the Creative Commons Attribution (CC BY) license (https://creativecommons.org/licenses/by/4.0/).
Share and Cite
Zhang, C.; Shi, Q.; Wang, Y.; Qiao, J.; Tang, T.; Zhou, J.; Liang, W.; Chen, G. Towards an Optimized Artificial Neural Network for Predicting Flow Stress of In718 Alloys at High Temperatures. Materials 2023, 16, 2663. https://doi.org/10.3390/ma16072663
Zhang C, Shi Q, Wang Y, Qiao J, Tang T, Zhou J, Liang W, Chen G. Towards an Optimized Artificial Neural Network for Predicting Flow Stress of In718 Alloys at High Temperatures. Materials. 2023; 16(7):2663. https://doi.org/10.3390/ma16072663
Chicago/Turabian StyleZhang, Chunbo, Qingyu Shi, Yihe Wang, Junnan Qiao, Tianxiang Tang, Jun Zhou, Wu Liang, and Gaoqiang Chen. 2023. "Towards an Optimized Artificial Neural Network for Predicting Flow Stress of In718 Alloys at High Temperatures" Materials 16, no. 7: 2663. https://doi.org/10.3390/ma16072663
APA StyleZhang, C., Shi, Q., Wang, Y., Qiao, J., Tang, T., Zhou, J., Liang, W., & Chen, G. (2023). Towards an Optimized Artificial Neural Network for Predicting Flow Stress of In718 Alloys at High Temperatures. Materials, 16(7), 2663. https://doi.org/10.3390/ma16072663
