First-Principles Study of the Magnetic and Electronic Structure of NdB4
Abstract
1. Introduction
2. Computational Methods
3. Results and Discussion
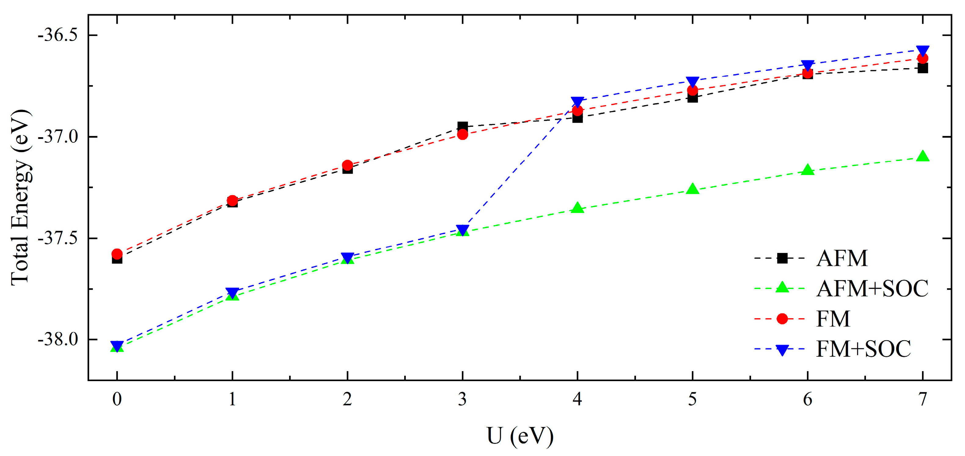
3.1. Crystal and Magnetic Structures
3.2. Electronic Structures
3.3. Fermi Surface
4. Conclusions
Author Contributions
Funding
Institutional Review Board Statement
Informed Consent Statement
Data Availability Statement
Conflicts of Interest
Appendix A


Appendix B

References
- Lipscomb, W.N. Borides and boranes. J. Alloys Compd. 1981, 82, 1–20. [Google Scholar] [CrossRef]
- Nagamatsu, J.; Nakagawa, N.; Muranaka, T.; Zenitani, Y.; Akimitsu, J. Superconductivity at 39 K in magnesium diboride. Nature 2001, 410, 63–64. [Google Scholar] [CrossRef] [PubMed]
- Gavilano, J.L.; Ambrosini, B.; Ott, H.R.; Young, D.P.; Fisk, Z. Low-temperature NMR studies of SrB6. Phys. B Condens. Matter 2000, 281–282, 428–429. [Google Scholar] [CrossRef]
- Chen, C.-H.; Aizawa, T.; Iyi, N.; Sato, A.; Otani, S. Structural refinement and thermal expansion of hexaborides. J. Alloys Compd. 2004, 366, L6–L8. [Google Scholar] [CrossRef]
- Takeda, M.; Fukuda, T.; Domingo, F.; Miura, T. Thermoelectric properties of some metal borides. J. Solid State Chem. 2004, 177, 471–475. [Google Scholar] [CrossRef]
- Imai, Y.; Mukaida, M.; Ueda, M.; Watanabe, A. Screening of the possible boron-based n-type thermoelectric conversion materials on the basis of the calculated densities of states of metal borides and doped β-boron. Intermetallics 2001, 9, 721–734. [Google Scholar] [CrossRef]
- Gou, H.; Li, Z.; Niu, H.; Gao, F.; Zhang, J.; Ewing, R.C.; Lian, J. Unusual rigidity and ideal strength of CrB4 and MnB4. Appl. Phys. Lett. 2012, 100, 111907. [Google Scholar] [CrossRef]
- Gavilano, J.L.; Ambrosini, B.; Ott, H.R.; Young, D.P.; Fisk, Z. Spin-lattice relaxation studies of selected hexaboride compounds. Phys. B Condens. Matter 2000, 284–288, 1359–1360. [Google Scholar] [CrossRef]
- Flachbart, K.; Gabáni, S.; Gloos, K.; Meissner, M.; Opel, M.; Paderno, Y.; Pavlík, V.; Samuely, P.; Schuberth, E.; Shitsevalova, N.; et al. Low Temperature Properties and Superconductivity of LuB12. J. Low Temp. Phys. 2005, 140, 339–353. [Google Scholar] [CrossRef]
- Hung, S.-H.; Jeng, H.-T. Topological Phase and Strong Correlation in Rare-Earth Hexaborides XB6 (X = La, Ce, Pr, Nd, Pm, Sm, Eu). Materials 2020, 13, 4381. [Google Scholar] [CrossRef]
- Jin, S.; Sun, W.; Chen, B.; Kuang, X.; Lu, H.; Lu, C. Insights into the Structures and Bonding of Medium-Sized Cerium-Doped Boron Clusters. J. Phys. Chem. A 2021, 125, 4126–4132. [Google Scholar] [CrossRef] [PubMed]
- Lee, Y.-I.; Wong, Y.-J.; Chang, H.-W.; Chang, W.-C. Coercivity enhancement of hot-deformed NdFeB magnets by doping R80Ga20 (R = Pr, Dy, Tb) alloys. J. Magn. Magn. Mater 2019, 478, 43–47. [Google Scholar] [CrossRef]
- Ding, L.-P.; Tiandong, Y.-H.; Shao, P.; Tang, Y.; Zhao, Z.-L.; Lu, H. Crystal Structures, Phase Stabilities, Electronic Properties, and Hardness of Yttrium Borides: New Insight from First-Principles Calculations. J. Phys. Chem. Lett. 2021, 12, 5423–5429. [Google Scholar] [CrossRef] [PubMed]
- Zhang, W.-m.; Zhao, B.; Ni, N.; Xiang, H.-m.; Dai, F.-Z.; Wu, S.-j.; Zhou, Y.-c. High entropy rare earth hexaborides/tetraborides (HE REB6/HE REB4) composite powders with enhanced electromagnetic wave absorption performance. J. Mater. Sci. Technol. 2021, 87, 155–166. [Google Scholar] [CrossRef]
- Etourneau, J.; Mercurio, J.P.; Hagenmuller, P. Compounds Based on Octahedral B6 Units: Hexaborides and Tetraborides. In Boron and Refractory Borides; Springer: Berlin/Heidelberg, Germany, 1977; pp. 115–138. [Google Scholar]
- Ruderman, M.A.; Kittel, C. Indirect Exchange Coupling of Nuclear Magnetic Moments by Conduction Electrons. Phys. Rev. 1954, 96, 99–102. [Google Scholar] [CrossRef]
- Kasuya, T. A Theory of Metallic Ferro- and Antiferromagnetism on Zener’s Model. Prog. Theor. Phys. 1956, 16, 45–57. [Google Scholar] [CrossRef]
- Yosida, K. Magnetic Properties of Cu-Mn Alloys. Phys. Rev. 1957, 106, 893–898. [Google Scholar] [CrossRef]
- Atwood, D.A. The Rare Earth Elements; Wiley: Hoboken, NJ, USA, 2013. [Google Scholar]
- Hohenberg, P.; Kohn, W. Inhomogeneous Electron Gas. Phys. Rev. 1964, 136, B864–B871. [Google Scholar] [CrossRef]
- Yin, Z.-P.; Pickett, W.E. Rare-earth–boron bonding and 4f state trends inRB4tetraborides. Phys. Rev. B 2008, 77, 035135. [Google Scholar] [CrossRef]
- Sriram Shastry, B.; Sutherland, B. Exact ground state of a quantum mechanical antiferromagnet. Phys. B+C 1981, 108, 1069–1070. [Google Scholar] [CrossRef]
- Watanuki, R.; Kobayashi, T.; Noguchi, R.; Suzuki, K. Possible multipolar transition in NdB4. J. Phys. Conf. Ser. 2009, 150. [Google Scholar] [CrossRef]
- Yamauchi, H.; Metoki, N.; Watanuki, R.; Suzuki, K.; Fukazawa, H.; Chi, S.; Fernandez-Baca, J.A. Magnetic Structure and Quadrupolar Order Parameter Driven by Geometrical Frustration Effect in NdB4. J. Phys. Soc. Jpn. 2017, 86, 044705. [Google Scholar] [CrossRef]
- Miyazaki, T.; Jin, H. The Physics of Ferromagnetism; Springer: Berlin/Heidelberg, Germany, 2012. [Google Scholar]
- Metoki, N.; Yamauchi, H.; Matsuda, M.; Fernandez-Baca, J.A.; Watanuki, R.; Hagihala, M. Polarized neutron scattering study of the multiple order parameter system NdB4. Phys. Rev. B 2018, 97, 174416. [Google Scholar] [CrossRef]
- Brunt, D.; Balakrishnan, G.; Mayoh, D.A.; Lees, M.R.; Gorbunov, D.; Qureshi, N.; Petrenko, O.A. Magnetisation process in the rare earth tetraborides, NdB4 and HoB4. Sci. Rep. 2018, 8, 232. [Google Scholar] [CrossRef] [PubMed]
- Kresse, G.; Furthmüller, J. Efficiency of ab-initio total energy calculations for metals and semiconductors using a plane-wave basis set. Comput. Mater. Sci. 1996, 6, 15–50. [Google Scholar] [CrossRef]
- Perdew, J.P.; Burke, K.; Ernzerhof, M. Generalized Gradient Approximation Made Simple. Phys. Rev. Lett. 1996, 77, 3865–3868. [Google Scholar] [CrossRef]
- Kresse, G.; Furthmuller, J. Efficient iterative schemes for ab initio total-energy calculations using a plane-wave basis set. Phys. Rev. B Condens. Matter 1996, 54, 11169–11186. [Google Scholar] [CrossRef]
- Kresse, G.; Joubert, D. From ultrasoft pseudopotentials to the projector augmented-wave method. Phys. Rev. B 1999, 59, 1758–1775. [Google Scholar] [CrossRef]
- Blochl, P.E. Projector augmented-wave method. Phys. Rev. B Condens. Matter 1994, 50, 17953–17979. [Google Scholar] [CrossRef]
- Hobbs, D.; Kresse, G.; Hafner, J. Fully unconstrained noncollinear magnetism within the projector augmented-wave method. Phys. Rev. B 2000, 62, 11556–11570. [Google Scholar] [CrossRef]
- Monkhorst, H.J.; Pack, J.D. Special points for Brillouin-zone integrations. Phys. Rev. B 1976, 13, 5188–5192. [Google Scholar] [CrossRef]
- Wang, B.-T.; Zhang, P.; Lizárraga, R.; Di Marco, I.; Eriksson, O. Phonon spectrum, thermodynamic properties, and pressure-temperature phase diagram of uranium dioxide. Phys. Rev. B 2013, 88, 104107–104116. [Google Scholar] [CrossRef]
- Zheng, J.-J.; Margine, E.R. Electron-phonon coupling and pairing mechanism in β−Bi2Pd centrosymmetric superconductor. Phys. Rev. B 2017, 95, 014512–014518. [Google Scholar] [CrossRef]
- Wei, M.-J.; Lu, W.-J.; Xiao, R.-C.; Lv, H.-Y.; Tong, P.; Song, W.-H.; Sun, Y.-P. Manipulating charge density wave order in monolayer 1T−TiSe2 by strain and charge doping: A first-principles investigation. Phys. Rev. B 2017, 96, 165404–165409. [Google Scholar] [CrossRef]
- Hou, L.; Li, W.-D.; Wang, F.-w.; Eriksson, O.; Wang, B.-T. Structural, electronic, and thermodynamic properties of curium dioxide: Density functional theory calculations. Phys. Rev. B 2017, 96, 235137–235149. [Google Scholar] [CrossRef]
- Anisimov, V.V.; Zaanen, J.; Andersen, O.K. Band theory and Mott insulators: Hubbard U instead of Stoner I. Phys. Rev. B Condens. Matter 1991, 44, 943–954. [Google Scholar] [CrossRef]
- Fisk, Z.; Cooper, A.S.; Schmidt, P.H.; Castellano, R.N. Preparation and lattice parameters of the rare earth tetraborides. Mater. Res. Bull. 1972, 7, 285–288. [Google Scholar] [CrossRef]
- Eick, H.A.; Gilles, P.W. Precise Lattice Parameters of Selected Rare Earth Tetra- and Hexa-borides1. J. Am. Chem. Soc. 1959, 81, 5030–5032. [Google Scholar] [CrossRef]
- Salamakha, P.; Gonçalves, A.P.; Sologub, O.; Almeida, M. Single crystal investigation of the binary NdB4 compound. J. Alloys Compd. 2001, 316, L4–L6. [Google Scholar] [CrossRef]
- Ptok, A.; Basak, S.; Piekarz, P.; Oleś, A.M. Influence of f Electrons on the Electronic Band Structure of Rare-Earth Nickelates. Condens. Matter 2023, 8, 19. [Google Scholar] [CrossRef]









| Atom | Wyckoff Position | Symmetries | Atomic Positions |
|---|---|---|---|
| Nd | 4h | mm | (x, 1/2 + x, 0) |
| B1 | 4e | 4 | (0, 0, z) |
| B2 | 8i | m | (x, y, 1/2) |
| B3 | 4g | mm | (x, 1/2 + x, 1/2) |
| Num. | a(Å) | c(Å) | E0 (eV/f.u.) | ΔE (meV/f.u.) | |
|---|---|---|---|---|---|
| 1-AFM | 7.195 | 4.092 | −38.03023 | 20.37 | ±2.11(∓1.14) |
| 2-AFM | 7.196 | 4.084 | −38.00091 | 49.69 | ±2.11(∓1.23) |
| 3-AFM | 7.196 | 4.083 | −38.00205 | 48.55 | ±2.11(∓1.19) |
| 4-AFM | 7.194 | 4.092 | −38.03067 | 19.93 | ±2.11(∓1.15) |
| 5-AFM | 7.203 | 4.086 | −38.04874 | 1.86 | ±2.98(∓1.41) |
| 6-AFM | 7.204 | 4.086 | −38.05060 | 0 | ±2.99(∓1.47) |
| 7-AFM | 7.202 | 4.091 | −38.01553 | 35.07 | ±2.96(∓1.63) |
| 8-AFM | 7.204 | 4.086 | −38.05016 | 0.44 | ±2.99(∓1.45) |
| 9-AFM | 7.185 | 4.086 | −38.05016 | 0.44 | ±2.99(∓1.45) |
| 10-AFM | 7.196 | 4.089 | −38.00589 | 44.71 | ±2.96(∓1.51) |
| 11-NM | 7.172 | 4.080 | −36.88883 | 1161.77 | |
| 12-FM | 7.191 | 4.091 | −38.03820 | 12.40 | 2.98(−1.60) |
| 13-FM | 7.190 | 4.091 | −38.03818 | 12.42 | 2.99(−1.60) |
| 14-FM | 7.189 | 4.091 | −38.03269 | 17.91 | 3.00(−1.40) |
| Initial structure | 7.223 | 4.115 | |||
| Exp. 1 (T = 30 K) [24] | 7.2346 | 4.1101 | |||
| Exp. 2 [40] | 7.220 | 4.102 | |||
| Exp. 3 [41] | 7.219 | 4.1020 | |||
| Exp. 4 (T = 295 K) [42] | 7.1775 | 4.0996 |
Disclaimer/Publisher’s Note: The statements, opinions and data contained in all publications are solely those of the individual author(s) and contributor(s) and not of MDPI and/or the editor(s). MDPI and/or the editor(s) disclaim responsibility for any injury to people or property resulting from any ideas, methods, instructions or products referred to in the content. |
© 2023 by the authors. Licensee MDPI, Basel, Switzerland. This article is an open access article distributed under the terms and conditions of the Creative Commons Attribution (CC BY) license (https://creativecommons.org/licenses/by/4.0/).
Share and Cite
Tao, P.; Ma, J.; Li, S.; Shao, X.; Wang, B. First-Principles Study of the Magnetic and Electronic Structure of NdB4. Materials 2023, 16, 2627. https://doi.org/10.3390/ma16072627
Tao P, Ma J, Li S, Shao X, Wang B. First-Principles Study of the Magnetic and Electronic Structure of NdB4. Materials. 2023; 16(7):2627. https://doi.org/10.3390/ma16072627
Chicago/Turabian StyleTao, Pengyan, Jiangjiang Ma, Shujing Li, Xiaohong Shao, and Baotian Wang. 2023. "First-Principles Study of the Magnetic and Electronic Structure of NdB4" Materials 16, no. 7: 2627. https://doi.org/10.3390/ma16072627
APA StyleTao, P., Ma, J., Li, S., Shao, X., & Wang, B. (2023). First-Principles Study of the Magnetic and Electronic Structure of NdB4. Materials, 16(7), 2627. https://doi.org/10.3390/ma16072627

