The Effect of Addition Potassium Permanganate on Bond Strength of Hot-Dip Galvanized Plain Bars with Cement Paste
Abstract
1. Introduction
2. Materials and Methods
3. Results and Discussion
3.1. Structure of HDG Coating
3.2. Ecorr Measuring
3.3. Modified Bond Strength Test
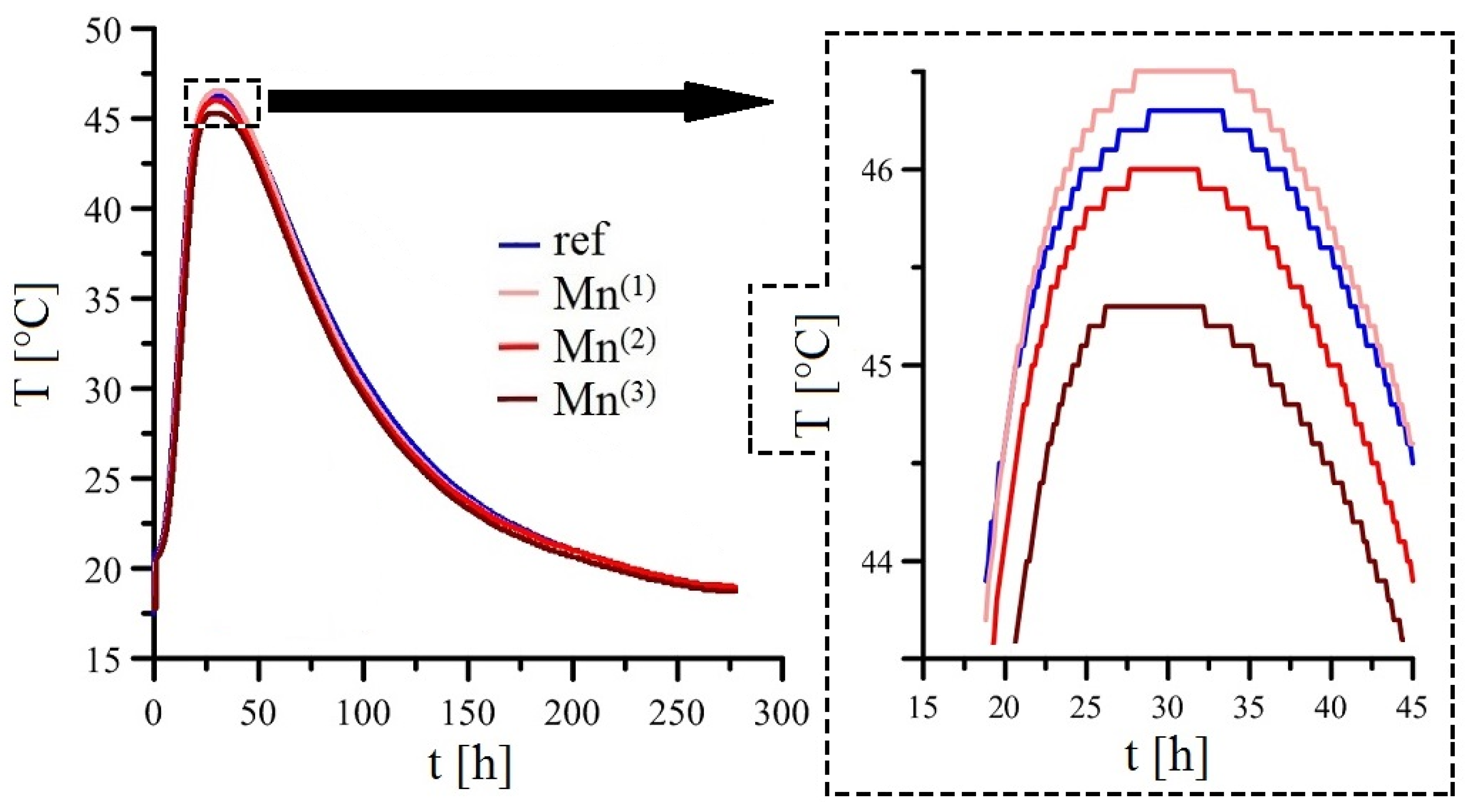
3.4. Measuring of Hydration Heat of Concrete Samples
3.5. X-ray Diffraction Analysis of Concrete Samples
3.6. Compressive Strength Test of Concrete Cubic Samples
4. Conclusions
Author Contributions
Funding
Institutional Review Board Statement
Informed Consent Statement
Data Availability Statement
Conflicts of Interest
References
- Pour-Ali, S.; Dehghanian, C.; Kosari, A. Corrosion protection of the reinforcing steel in chloride-laden concrete environment through epoxy/polyaniline-camphorsulfonate nanocomposite coating. Corros. Sci. 2015, 90, 239–247. [Google Scholar] [CrossRef]
- Sari, M.G.; Ramezanzadeh, B. Epoxy composite coating corrosion protection properties reinforcement through the addition of hydroxyl-terminated hyperbranched polyamide non-covalently assembled graphene oxide platforms. Constr. Build. Mater. 2020, 234, 117421. [Google Scholar] [CrossRef]
- Saravanan, K.; Sathiyanarayanan, S.; Muralidharan, S.; Seyd Azim, S.; Venkatachari, G. Performance evaluation of polyaniline pigmented epoxy coating for corrosion protection of steel in concrete environment. Prog. Org. Coat. 2007, 59, 160–167. [Google Scholar] [CrossRef]
- Ann, K.Y.; Ahn, J.H.; Ryou, J.S. The importance of chloride content at the concrete surface in assessing the time to corrosion of steel in concrete structures. Constr. Build. Mater. 2009, 23, 239–245. [Google Scholar] [CrossRef]
- Glass, G.K.; Buenfeld, N.R. The presentation of the chloride threshold level for corrosion of steel in concrete. Corros. Sci. 1997, 39, 1001–1013. [Google Scholar] [CrossRef]
- Yeomans, S.R. Galvanized Steel Reinforcement in Concrete; Elsevier: Canberra, Australia, 2004. [Google Scholar]
- Slater, W.A.; Richard, F.E.; Scofield, G.G. Tests of Bond Resistance between Concrete and Steel; Technological Papers of the Bureau of Standards, No. 173; Government Printing Office: Washington, DC, USA, 1920.
- Andrade, C.; Holst, J.D.; Nürnberger, U.; Whiteley, J.D.; Woodman, N. Protection system for reinforcement (Chapter 2—Hot dip galvanizing). CEB Bull. D’Inf. 1992, 211, 9–15. [Google Scholar]
- Poursaee, A. Corrosion of Steel in Concrete Structures; Elsevier: Chippenham, UK, 2017. [Google Scholar]
- Kouřil, M.; Stoulil, J.; Bystrianský, J.; Malá, R.; Novák, P. Korozivzdorné oceli pro výztuže betonu. Koroze Ochr. Mater. 2002, 46, 62–67. [Google Scholar]
- Yeomans, S.R. Comparative Studies of Galvanized and Epoxy Coated Steel Reinforcement in Concrete; Research Report No. R103; The University of New South Wales: Canberra, Australia, 1991; pp. 1–15. [Google Scholar]
- Cusens, A.; Yu, Z. Pullout tests of epoxy-coated reinforcement in concrete. Cem. Concr. Compos. 1992, 14, 269–276. [Google Scholar] [CrossRef]
- Assaad, J.J.; Issa, C.A. Bond strength of epoxy-coated bars in underwater concrete. Constr. Build. Mater. 2011, 30, 667–674. [Google Scholar] [CrossRef]
- Pokorný, P.; Kouřil, M.; Kučera, V. Kinetics of zinc corrosion in concrete as a function of water and oxygen availability. Materials 2019, 12, 2786. [Google Scholar] [CrossRef]
- Sistonen, E.; Cwirzen, A.; Puttonen, J. Corrosion mechanism of hot-dip galvanised reinforcement bar in cracked concrete. Corros. Sci. 2008, 50, 3416–3428. [Google Scholar] [CrossRef]
- Bellezze, T.; Malavolta, M.; Quaranta, A.; Ruffini, N.; Roventi, G. Corrosion behaviour in concrete of tree differently galvanized steel bars. Cem. Concr. Compos. 2006, 28, 246–255. [Google Scholar] [CrossRef]
- Andrade, C.; Macias, A. Galvanized reinforcement in concrete. Surface Coatings—2; Elsevier Applied Science Publishers: London, UK, 1988; pp. 137–182. [Google Scholar]
- Macías, A.; Andrade, C. Corrosion of galvanized steel reinforcements in alkaline solutions. Part 2: SEM study and identification of corrosion products. Br. Corros. J. 1987, 22, 119–129. [Google Scholar] [CrossRef]
- Blanco, M.T.; Macías, A.; Andrade, C. SEM study of the corrosion products of galvanized reinforcements immersed in solutions in the pH range 12.6-13.6. Br. Corros. J. 1984, 19, 41–48. [Google Scholar] [CrossRef]
- Pokorný, P.; Kostelecká, M.; Prodanovic, N.; Sýkora, M. Effect of calcium hydroxyzincate on bond strength of hot-dip galvanized plain bars with normal strength concrete. Cem. Concr. Compos. 2022, 130, 104540. [Google Scholar] [CrossRef]
- Wienerová, K.; Kouřil, M.; Stoulil, J. Koroze a ochrana zinkované oceli v prostředí betonu. Koroze Ochr. Mater. 2010, 54, 148–154. [Google Scholar]
- Gallego, A. Comparison between concrete-black steel and concrete-galvanized steel bond via the pull-out test supplied with acoustic emission. In Proceedings of the 26th European Conference on Acoustic Emission Testing, Berlin, Germany, 15–17 September 2004; pp. 761–767. [Google Scholar]
- Guklid, I.; Hofsøy, A. Hot dip galvanized steel reinforcement [Varmforsinket armeringsstål]. Tek. Ukebl. 1965, 37–43. [Google Scholar]
- Sanchez, M.; Alonso, M.C.; Cecilio, P.; Montemor, M.F.; Andrade, C. Electrochemical and analytical assessment of galvanized steel reinforcement pre-treated with Ce and La salts under alkaline media. Cem. Concr. Compos. 2006, 28, 256–266. [Google Scholar] [CrossRef]
- Figueira, R.B.; Silva, C.J.R.; Pereira, E.V. Hybrid sol-gel coatings for corrosion protection on hot-dip galvanized steel in alkaline medium. Surf. Coat. Technol. 2015, 265, 191–204. [Google Scholar] [CrossRef]
- Figueira, R.B.; Silva, C.J.R.; Pereira, E.V. Hot-dip galvanized steel dip-coated with ureasilicate hybrid in simulated concrete pore solution: Assessment of coating morphology and corrosion protection efficiency. Prog. Org. Coat. 2015, 88, 245–255. [Google Scholar] [CrossRef]
- Arenas, M.A.; Casado, C.; Nobel-Pujol, V.; Damborenea, J. Influence of the conversion coating on the corrosion of galvanized steel. Cem. Concr. Compos. 2006, 28, 267–275. [Google Scholar] [CrossRef]
- Bowsher, B. Corrosion Protection of Reinforcing Steels; Technical report fib-Bulletin 49; IFSC: Lausanne, Switzerland, 2009. [Google Scholar]
- Figueria, R.M.; Pereira, E.V.; Silva, C.J.R.; Salta, M.M. Corrosion protection of hot dip galvanized steel in mortar. Port. Electrochim. Acta 2013, 31, 277–287. [Google Scholar] [CrossRef]
- Mang, R.; Müller, R.H. Untersuchungen zur Anwendbarkeit feuerverzinkter Bevehrung im Stahlbeton-bau. Stahl Eisen 1982, 889–894. [Google Scholar]
- Costa, M. Toxicity and carcinogenicity of Cr(VI) in animal models and humans. Crit. Rev. Toxicol. 1997, 27, 431–442. [Google Scholar] [CrossRef] [PubMed]
- DesMarias, T.L.; Costa, M. Mechanism of chromium-induced toxicity. Curr. Opin. Toxicol. 2019, 14, 1–7. [Google Scholar] [CrossRef] [PubMed]
- Corderoy, D.J.H.; Herzog, H. Passivation of galvanized reinforcement by anhibitor anions. In Corrosion of Reinforcing Steel in Concrete; ASTM: Philadelphia, PA, USA, 1978; pp. 142–159. [Google Scholar]
- Bellezze, T.; Timofeeva, D.; Giuliani, G.; Roventi, G. Effect of soluble inhibitors on the corrosion behaviour of galvanized steel in fresh concrete. Cem. Con. Res. 2018, 107, 1–10. [Google Scholar] [CrossRef]
- Fayala, I.; Dhouibi, L.; Nóvoa, X.R.; Ben Ouezdou, M. Effect of inhibitors on the corrosion of galvanized steel and on mortar properties. Cem. Concr. Compos. 2013, 35, 181–189. [Google Scholar] [CrossRef]
- Wang, Y.; Kong, G.; Che, C.; Zhang, B. Inhibitive effect of sodium molybdate on the corrosion behavior of galvanized steel in simulated concrete pore solution. Constr. Build. Mater. 2018, 162, 383–392. [Google Scholar] [CrossRef]
- Wang, Y.; Kong, G. Corrosion inhibition of galvanized steel by MnO4− ion as a soluble inhibitor in simulated fresh concrete environment. Constr. Build. Mater. 2020, 257, 119532. [Google Scholar] [CrossRef]
- Wang, Z.; Liu, L.; Zhou, J.; Zhou, C. Impacts of potassium permanganate (KMnO4) catalyst on properties of hydrogen peroxide (H2O2) foamed porous cement slurry. Constr. Build. Mater. 2016, 111, 72–76. [Google Scholar] [CrossRef]
- RILEM. RC6: Bond Test for Reinforcement Steel. 2: Pull-Out Test; E & FN SPON: Paris, France, 1983. [Google Scholar]
- ASTM C234-91a; Standard Test Method for Comparing Concretes on the Basis of the Bond Developed with Reinforcing Steel. ASTM International: West Conshohocken, PA, USA, 1991.
- Marder, A.R. The metallurgy of zinc-coated steel. Prog. Mater. Sci. 2000, 45, 191–271. [Google Scholar] [CrossRef]
- Pokorný, P.; Pernicová, R.; Tej, P.; Kolísko, J. Changes of bond strength properties of hot-dip galvanized plain bars with cement paste after 1 year of curing. Constr. Build. Mater. 2019, 226, 920–931. [Google Scholar] [CrossRef]
- Okamoto, N.L.; Kashioka, D.; Inomoto, M.; Inui, H.; Takebayashi, H.; Yamaguchi, S. Compression deformability of Γ and ζ Fe-Zn intermetallics to mitigate detachment of brittle intermetallic coating of galvannealed steels. Scr. Mater. 2013, 69, 307–310. [Google Scholar] [CrossRef]
- Sa-nguanmoo, R.; Nisaratanaporn, E.; Boonyongmaneerat, Y. Hot-dip galvanization with pulse-electrodeposited nickel pre-coatings. Corros. Sci. 2011, 53, 122–126. [Google Scholar] [CrossRef]
- Okamoto, N.L.; Yasuhara, A.; Inui, H. Order-disorder structure of the δ1k phase in the Fe-Zn system determined by scanning transmission electron microscopy. Acta Mater. 2014, 81, 345–357. [Google Scholar] [CrossRef]
- Okamoto, N.L.; Tanaka, K.; Yasuhara, A.; Inui, H. Structure refinement of the δ1p phase in the Fe-Zn system by single-crystal X-ray diffraction combined with scanning transmission electron microscopy. Acta Crystallogr. 2014, B70, 275–282. [Google Scholar]
- Belin, R.; Tillard, M.; Monconduit, L. Redetermination of the iron-zinc phase FeZn13. Acta Crystallogr. C 2000, 56, 267–268. [Google Scholar] [CrossRef]
- Okamoto, N.L.; Inomoto, M.; Adachi, H.; Takebayashi, H.; Inui, H. Micropillar compression deformation of single crystals of the intermetallic compound ζ-FeZn13. Acta Mater. 2014, 65, 229–239. [Google Scholar] [CrossRef]
- Jordan, C.E.; Zuhr, R.; Marder, A.R. Effect of phosphorous surface segregation on iron-zinc reaction kinetics during hot-dip galvanizing. Metall. Mater. Trans. A 1997, 28A, 2695–2703. [Google Scholar] [CrossRef]
- Maahn, E.; Sorensen, B. The influence of microstructure on the corrosion properties of hot-dip galvanized reinforcement in concrete. Corrosion 1986, 42, 187–196. [Google Scholar] [CrossRef]
- Short, N.R.; Zhou, S.; Dennis, J.K. Electrochemical studies on the corrosion of a range of zinc alloy coated steel in alkaline solutions. Surf. Coat. Technol. 2014, 240, 63–69. [Google Scholar] [CrossRef]
- Pokorný, P.; Vacek, V.; Prodanovic, N.; Zabloudil, A.; Fojt, J.; Johánek, V. The influence of graded amount of potassium permanganate on corrosion of hot-dip galvanized steel in simulated concrete pore solutions. Materials 2022, 15, 7864. [Google Scholar] [PubMed]
- Xie, W.; Li, J.; Li, Y. Electrochemical corrosion behavior of carbon steel and hot dip galvanized steel in simulated concrete solution with defferent pH values. Mater. Sci. 2017, 23, 280–284. [Google Scholar]
- Murakami, K.; Kanematsu, H.; Nakata, K. Corrosion characteristics in concrete environment of hot dip galvanised steel and Zn alloy hot dip coated steel. Trans. IMF 2009, 87, 23–27. [Google Scholar] [CrossRef]
- Kurdowski, W. Cement and Concrete Chemistry; Springer: London, UK, 2014. [Google Scholar]
- Al Khalaf, M.N.; Page, C.L. Steel/mortar interfaces: Microstructural features and mode of failure. Cem. Con. Res. 1979, 9, 197–207. [Google Scholar] [CrossRef]
- Yadav, A.P.; Nishikata, A.; Tsuru, T. Oxygen reduction mechanism on corroded zinc. J. Electroanal. Chem. 2005, 585, 142–149. [Google Scholar]
- Monnier, J.; Burger, E.; Berger, P.; Neff, D.; Guillot, I.; Dillmann, P. Localisation of oxygen reduction sites in the case of iron long term atmospheric corrosion. Corros. Sci. 2011, 53, 2468–2473. [Google Scholar] [CrossRef]
- Chong, K.Z.; Shih, T.S. Conversion-coating treatment for magnesium alloys by a permanganate-phosphate solution. Mat. Chem. Phys. 2003, 80, 191–200. [Google Scholar] [CrossRef]
- Umehara, H.; Takaya, M.; Kojima, J. An investigation of the structure and corrosion resistance of permanganate conversion coatings on AZ91D magnesium alloy. Mater. Transac. 2001, 42, 1691–1699. [Google Scholar] [CrossRef]
- Pourbaix, M.; Franklin, J.A. Potential-pH Diagrams: Atlas of Electrochemical Equilibria in Aqueous Solutions; CEBELCOR: Brussels, Belgium; Pergamon: New York, NY, USA, 1966. [Google Scholar]
- Bishoff, C.F.; Fitz, O.S.; Burns, J.; Bauer, M.; Gentischer, H.; Birke, K.P.; Henning, H.-M.; Biro, D. Revealing the local pH value changes of acidic aqueous zinc ion batteries with a manganese dioxide electrode during cycling. J. Electrochem. Soc. 2020, 167, 020545. [Google Scholar]
- Rankin, D.W.H. CRC handbook of chemistry and physics, 89th edition, edited by David R. Lide. Crystallogr. Rev. 2009, 15, 223–224. [Google Scholar] [CrossRef]
- Štulík, K.; Vohlídal, J.; Julák, A. Chemické a Analytické Tabulky; Grada Publishing: Prague, Czech Republic, 1999. [Google Scholar]
- Sarker, P.K. Bond strength of reinforcing steel embedded in fly ash-based geopolymer concrete. Mater. Struct. 2011, 44, 1021–1030. [Google Scholar]
- Dancygier, A.N.; Katz, A.; Wexler, U. Bond between deformed reinforcement and normal and high-strength concrete with and without fibers. Mater. Struct. 2010, 43, 839–856. [Google Scholar] [CrossRef]
- Arliguie, G.; Grandet, J.; Ollivier, J.P. Orientation de la portlandite dans les mortiers et bétons de ciment Portland: Influence de la nature et de l’état de surface du support de cristallisation. Mater. Struct. 1985, 18, 263–267. [Google Scholar] [CrossRef]
- Li, Z.; Peng, H.; Liu, Y.; Wang, J.; Su, X. Effect of Surface Micromorphology and Roughness of Iron Ingot on Microstructures of Hot-Dip Galvanized Coating. Trans. Indian Inst. Met. 2022, 75, 397–406. [Google Scholar]
- Bakhtiari, A. The relationship between surface treatments and corrosion resistance of hot-dip galvanized steel. Assoc. Metall. Eng. Serb. 2014, 20, 165–170. [Google Scholar] [CrossRef]
- Kumar, M.; Singh, S.K.; Singh, N.P. Heat evolution during the hydration of Porland cement in the presence of fly ash, calcium hydroxide and super plasticizer. Thermochim. Acta 2012, 548, 27–32. [Google Scholar] [CrossRef]
- Silva, W.R.; Šmilauer, V.; Štemberk, P. Upscaling semi-adiabatic measurements for simulating temperature evolution of mass concrete structures. Mater. Struct. 2015, 48, 1031–1041. [Google Scholar] [CrossRef]
- Langan, B.W.; Weng, K.; Ward, M.A. Effect of silica fume and fly ash on heat of hydration of Porlnad cement. Cem. Concr. Res. 2002, 32, 1045–1051. [Google Scholar] [CrossRef]
- Ballim, Y.; Graham, P.C. Early-age heat-evolution of clinker cements in relation to microstructure and composition: Implications for temperature development in large concrete elements. Cem. Concr. Compos. 2004, 26, 417–426. [Google Scholar] [CrossRef]
- Thomas, N.L.; Birchall, J.D. The retarding action of sugars on cement hydration. Cem. Concr. Res. 1983, 13, 830–842. [Google Scholar] [CrossRef]
- Young, J.F. A review of the mechanisms of set-retardation in portland cement pastes containing organic admixtures. Cem. Concr. Res. 1972, 2, 415–433. [Google Scholar]
- Sowoidnich, T.; Rachowski, T.; Rößler, C.; Völkel, A.; Ludwig, H.-M. Calcium complexation and cluster formation as principal modes of action of polymers used as superplasticizer in cement systems. Cem. Concr. Res. 2015, 73, 42–50. [Google Scholar]
- Li, P.; Jiang, Z.; An, X.; Maekawa, K.; Du, S. Time-dependent retardation effect of epoxy latexes on cement hydration: Experiments and multi-component hydration model. Constr. Build. Mater. 2022, 320, 126282. [Google Scholar]
- Lieber, W. Influence of zinc oxide on the setting and hardening of Porland cement. Zem. Kalk Gips 1967, 20, 91–95. [Google Scholar]
- Lieber, W. The influence of lead and zinc compounds on the hydration of Portland cement. In Proceedings of the 5th International Symposium on the Chemistry of Cement, Tokyo, Japan, 7–11 October 1968; pp. 444–454. [Google Scholar]
- Olmo, I.F.; Chacon, E.; Irabien, A. Influence of lead, zinc, iron (III) and chromium (III) oxides on the setting time and strength development of Portland cement. Cem. Concr. Res. 2001, 31, 1213–1219. [Google Scholar] [CrossRef]
- Asavapisit, S.; Fowler, G.; Cheeseman, C.R. Solution chemistry during cement hydration in the presence of metal hydroxide wastes. Cem. Concr. Res. 1997, 27, 1249–1260. [Google Scholar] [CrossRef]
- Hill, J.; Sharp, J.H. The hydration products of Portland cement in the presence of tin(II) chloride. Cem. Concr. Res. 2003, 33, 121–124. [Google Scholar] [CrossRef]
- EN 12350-2:2019; Testing Fresh Concrete—Part 2: Slump Test. European Committee for Standardization: Brussels, Belgium, 2019.
- EN 206:2013+A2:2021; Concrete—Specification, Performance, Production and Conformity. European Committee for Standardization: Brussels, Belgium, 2021.
- Josserand, L.; Coussy, O.; Larrard, F. Bleeding of concrete as an ageing consolidation process. Cem. Concr. Res. 2006, 36, 1603–1608. [Google Scholar] [CrossRef]
- Topçu, I.B.; Elgün, V.B. Influence of concrete properties on bleeding and evaporation. Cem. Concr. Res. 2004, 34, 275–281. [Google Scholar] [CrossRef]
- Dong, W.; Li, W.; Guo, Y.; He, X.; Sheng, D. Effect of silica fume on physicochemical properties and piezoresistivity of intelligent carbon black-cementitious composites. Constr. Build. Mater. 2020, 259, 120399. [Google Scholar]
- Koenders, E.A.B.; Pepe, M.; Martinelli, E. Compressive strength and hydration processes of concrete with recycled aggregates. Cem. Concr. Res. 2014, 56, 203–212. [Google Scholar]
- Lothenbach, B.; Winnefeld, F.; Alder, C.; Wieland, E.; Lunk, P. Effect of temperature on the pore solution, microstructure and hydration products of Portland cement pastes. Cem. Concr. Res. 2007, 37, 483–491. [Google Scholar]
- Li, P.; Li, W.; Sun, Z.; Shen, L.; Sheng, D. Development of sustainable concrete incorporating seawater: A critical review on cement hydration, microstructure and mechanical strength. Cem. Concr. Compos. 2021, 121, 104100. [Google Scholar]
- Bentz, D.P. Influence of water-to-cement ratio on hydration kinetics: Simple models based on spatial considerations. Cem. Concr. Res. 2006, 36, 238–244. [Google Scholar]
- Beddaa, H.; Fraj, A.B.; Lavergne, F.; Torrenti, J.-M. Effect of potassium humate as humic substance from river sediments on the rheology, the hydration and the strength development of a cement paste. Cem. Concr. Compos. 2019, 104, 103400. [Google Scholar]
- Singh, N.B.; Singh, S.P.; Sarvehi, R. Effect of phenols on the hydration of Portland cement. Adv. Cem. Res. 1989, 2, 43–47. [Google Scholar]
- Zhang, H.; Feng, P.; Li, L.; Wang, W. Effects of starch-type polysaccharide on cement hydration and its mechanism. Thermochim. Acta 2019, 678, 178307. [Google Scholar]
- Singh, S.B.; Munjal, P.; Thammishetti, N. Role of water/cement ratio on strength development of cement mortar. J. Build. Eng. 2015, 4, 94–100. [Google Scholar]
- Yaprak, H.; Karaci, A.; Demir, I. Prediction of the effect of varying cure conditions and w/c ratio on the compressive strength of concrete using artificial neural networks. Neural Comput. Appl. 2013, 22, 133–141. [Google Scholar]














| Compound | CaO | SiO2 | Al2O3 | Fe2O3 | MgO | SO3 | K2O | Na2O |
|---|---|---|---|---|---|---|---|---|
| content (wt. %) | 64.2 | 19.5 | 4.7 | 3.2 | 1.3 | 3.2 | 0.78 | 0.09 |
| Mixture | Portland Cement (kg) | Water (L) | Gravel (kg) | Sand (kg) |
|---|---|---|---|---|
| w/c: 0.35 | 14 | 4.9 | 0 | 0 |
| Admixture | Content (kg/m3) | Note |
|---|---|---|
| cement (CEM I 42.5 R) | 365 | pure Portland cement |
| aggregate | 900 | fraction 0/4—fine sand |
| 585 | fraction 4/8 | |
| 285 | fraction 8/16 | |
| mixture (w/c) | 0.55 |
| Marking of Mixtures in This Article | Used Cement | Addition of KMnO4 to the Mixing Water |
|---|---|---|
| ref | CEM I—42.5 R (Portland cement—pure) | without addition |
| Mn(1) | CEM I—42.5 R (Portland cement—pure) | with addition 10−4 mol·L−1 |
| Mn(2) | CEM I—42.5 R (Portland cement—pure) | with addition 10−3 mol·L−1 |
| Mn(3) | CEM I—42.5 R (Portland cement—pure) | with addition 10−2 mol·L−1 |
| Simulated Concrete Pore Solution | Composition of Simulated Concrete Pore Solution | Difference in Potencial Values (FeCr18Ni9)/SCE | Average Value for the Ecorr/SCE Expression |
|---|---|---|---|
| ref | pH 12.8 | 20–50 mV | 35 mV |
| Mn(1) | pH 12.8 + 10−4 mol·L−1 MnO4− | 30–50 mV | 40 mV |
| Mn(2) | pH 12.8 + 10−3 mol·L−1 MnO4− | 75–105 mV | 90 mV |
| Mn(3) | pH 12.8 + 10−2 mol·L−1 MnO4− | 125–155 mV | 140 mV |
| Compound | C | Al | Si | P | S | Cr | Mn | Cu | Zn | Fe |
|---|---|---|---|---|---|---|---|---|---|---|
| content, (wt. %) | 0.11 | 0.02 | 0.23 | 0.01 | 0.02 | 0.06 | 0.55 | 0.22 | 0.01 | balance |
| Symbol | Property | Unit |
|---|---|---|
| Tc,i | bond force | N |
| i | contribution of force | N |
| fad | completed adhesion force | N |
| ff | friction force | N |
| fσ | force of mechanical resistance of specific concrete cover layer | N |
| Ab | total area of bar body | m2 |
| Ar | total area of bar ribs | m2 |
Disclaimer/Publisher’s Note: The statements, opinions and data contained in all publications are solely those of the individual author(s) and contributor(s) and not of MDPI and/or the editor(s). MDPI and/or the editor(s) disclaim responsibility for any injury to people or property resulting from any ideas, methods, instructions or products referred to in the content. |
© 2023 by the authors. Licensee MDPI, Basel, Switzerland. This article is an open access article distributed under the terms and conditions of the Creative Commons Attribution (CC BY) license (https://creativecommons.org/licenses/by/4.0/).
Share and Cite
Pokorný, P.; Vacek, V.; Prodanovic, N.; Zabloudil, A.; Hurtig, K. The Effect of Addition Potassium Permanganate on Bond Strength of Hot-Dip Galvanized Plain Bars with Cement Paste. Materials 2023, 16, 2556. https://doi.org/10.3390/ma16072556
Pokorný P, Vacek V, Prodanovic N, Zabloudil A, Hurtig K. The Effect of Addition Potassium Permanganate on Bond Strength of Hot-Dip Galvanized Plain Bars with Cement Paste. Materials. 2023; 16(7):2556. https://doi.org/10.3390/ma16072556
Chicago/Turabian StylePokorný, Petr, Vítězslav Vacek, Nikola Prodanovic, Adam Zabloudil, and Karel Hurtig. 2023. "The Effect of Addition Potassium Permanganate on Bond Strength of Hot-Dip Galvanized Plain Bars with Cement Paste" Materials 16, no. 7: 2556. https://doi.org/10.3390/ma16072556
APA StylePokorný, P., Vacek, V., Prodanovic, N., Zabloudil, A., & Hurtig, K. (2023). The Effect of Addition Potassium Permanganate on Bond Strength of Hot-Dip Galvanized Plain Bars with Cement Paste. Materials, 16(7), 2556. https://doi.org/10.3390/ma16072556

