Comparative Study on the Densification, Microstructure and Properties of WC-10(Ni, Ni/Co) Cemented Carbides Using Electroless Plated and Coprecipitated Powders
Abstract
:1. Introduction
2. Experimental Procedure
2.1. Chemicals and Raw Powders
2.2. Preparation of WC-Ni/Co Cemented Carbide
2.2.1. Preparation of WC-Ni/CoEP Composite Powder
2.2.2. Preparation of WC-Ni/CoCP Composite Powder
2.2.3. Sintering of Composite Powder
2.3. Microstructural Characterization
- ρ is the actual density of cemented carbide (g/cm3);
- m1 is the mass of cemented carbide in air (g);
- m2 is the mass of cemented carbide immersed in water (g).
- ρW is the density of the liquid used in the test. Pure water (1 g/cm3) was used in this experiment.
2.4. Mechanical Performance Characterization
2.5. Corrosion Resistance
3. Results
3.1. Sintering Behavior of WC-Ni/Co Composite Powder
3.2. Comparative Analysis of Microstructure
3.2.1. Grain Size Distribution
3.2.2. The Fracture Morphology
3.2.3. Binder Phase Structure
3.3. Mechanical Properties
3.4. Corrosion Resistance
3.4.1. Potentiodynamic Polarization
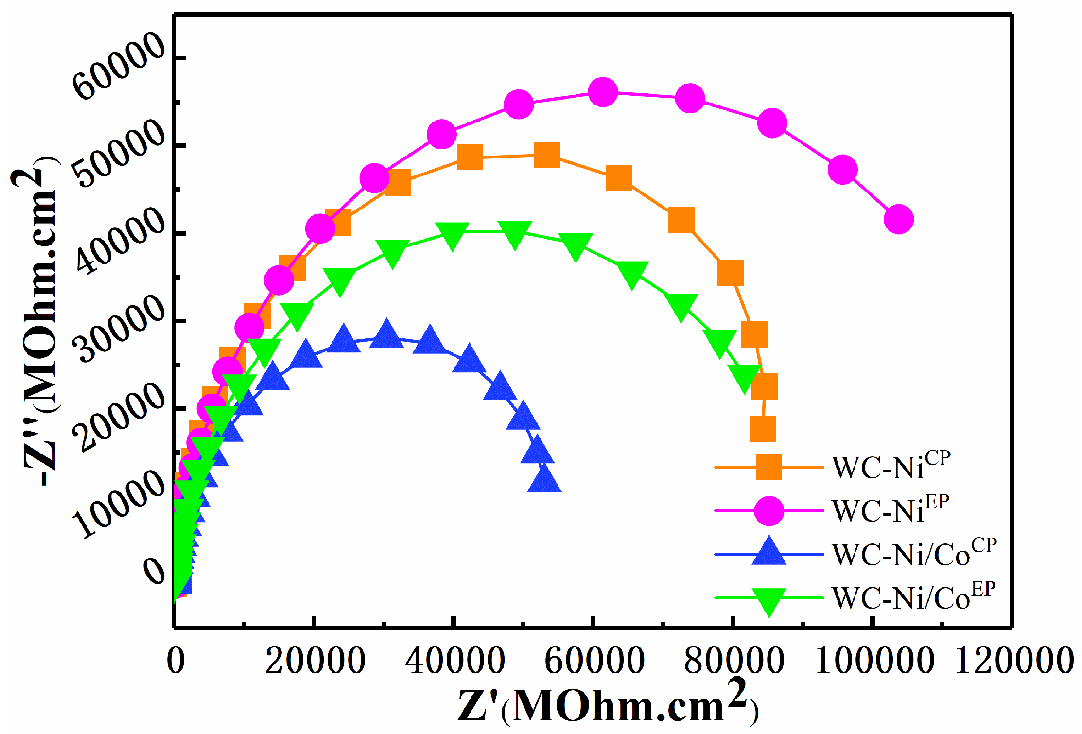
3.4.2. The Impedance Spectrum
3.4.3. Corrosion Resistance Mechanism
4. Conclusions
- (1)
- The Ni/Co bonding phase can be continuously and compactly coated on the surface of WC particles after mixing the powder by electroless plating and co-precipitation hydrogen reduction methods.
- (2)
- The density and grain size of CP were denser and finer than those of EP after sintering. Due to the solid solution strengthening effect of Ni-Co alloy, the bending strength and impact toughness of WC-Ni/CoCP were improved to 1110 MPa and 33kJ/m2, respectively.
- (3)
- The simulated resistance value of WC-NiEP can be maintained at about 1 × 105 Ω due to the presence of the Ni-Co-P alloy, while the corrosion resistance of which was also increased up to 9.018 × 104 Ω, indicating the excellent corrosion resistance.
Author Contributions
Funding
Institutional Review Board Statement
Informed Consent Statement
Data Availability Statement
Acknowledgments
Conflicts of Interest
References
- Karpuschewski, B.; Beutner, M.; Köchig, M.; Wengler, M. Cemented carbide tools in high speed gear hobbing applications. Cirp. Ann. Manuf. Technol. 2017, 66, 117–120. [Google Scholar] [CrossRef]
- Zhang, L.; Tian, W.; Chen, Y.; Liu, T.; Zhang, H.D.; Zhou, L.; Zhu, J.F. Fine platelet-like grained WC–Co cemented carbides: Preparation, characterization, properties and application in PVD coating substrates. Int. J. Refract. Met. Hard Mater. 2017, 64, 135–142. [Google Scholar] [CrossRef]
- Liu, X.M.; Wang, H.B.; Song, X.Y.; Moscatelli, R.T. Elastic modulus of nanocrystalline cemented carbide. Nonferr. Metal. Soc. 2018, 28, 966–973. [Google Scholar] [CrossRef]
- Salavati-Niasari, M. Host (nanocavity of zeolite-Y)–guest (tetraaza[14]annulene copper(II) complexes) nanocomposite materials: Synthesis, characterization and liquid phase oxidation of benzyl alcohol. J. Mol. Catal. A Chem. 2006, 245, 192–199. [Google Scholar] [CrossRef]
- Salavati-Niasari, M.; Banitaba, S.-H. Alumina-supported Mn(II), Co(II), Ni(II) and Cu(II) bis(2-hydroxyanil)acetylacetone complexes as catalysts for the oxidation of cyclohexene with tert-butylhydroperoxide. J. Mol. Catal. A Chem. 2003, 201, 43–54. [Google Scholar] [CrossRef]
- Su, W.; Sun, Y.-X.; Yang, H.-L.; Zhang, X.-Q.; Ruan, J.-M. Effects of TaC on microstructure and mechanical properties of coarse grained WC–9Co cemented carbides. Trans. Nonferr. Metal. Soc. 2015, 25, 1194–1199. [Google Scholar] [CrossRef]
- Zhang, L.; Chen, S.; Cheng, X.; Wu, H.-P.; Ma, Y.; Xiong, X.-J. Effects of cubic carbides and La addition on WC grain morphology, hardness and toughness of WC-Co alloys. Trans. Nonferr. Metal. Soc. 2012, 22, 1680–1685. [Google Scholar] [CrossRef]
- Shi, K.-H.; Zhou, K.-C.; Li, Z.-Y.; Zhang, D.; Zan, X.-Q. Microstructure and formation process of Ni-pool defect in WC–8Ni cemented carbides. Trans. Nonferr. Metal. Soc. 2015, 25, 873–878. [Google Scholar] [CrossRef]
- Wu, Y.; Leng, B.; Zhou, X. Corrosion behaviors of Ni-WC cemented carbide in high temperature molten fluoride salt and vapor. J. Nucl. Mater. 2022, 561, 153541. [Google Scholar] [CrossRef]
- Nair, B.K.R.; Choi, J.; Harold, M.P. Electroless plating and permeation features of Pd and Pd/Ag hollow fiber composite membranes. J. Membr. Sci. 2007, 288, 67–84. [Google Scholar] [CrossRef]
- Guo, L.; Xiao, L.R.; Zhao, X.J.; Song, Y.F.; Cai, Z.Y.; Wang, H.J.; Liu, C.B. Preparation of WC/Co composite powders by electroless plating. Ceram. Int. 2017, 43, 4076–4082. [Google Scholar] [CrossRef]
- Tong, J.; Zhang, J.; Wang, Y.; Min, F.; Wang, X.; Zhang, H.; Ma, J. Preparation of Co-plated WC powders by a non-precious-Co-activation triggered electroless plating strategy. Adv. Powder. Technol. 2019, 30, 2311–2319. [Google Scholar] [CrossRef]
- Sun, Y.-X.; Su, W.; Yang, H.-L.; Ruan, J.-M. Effects of WC particle size on sintering behavior and mechanical properties of coarse grained WC–8Co cemented carbides fabricated by unmilled composite powders. Ceram. Int. 2015, 41, 14482–14491. [Google Scholar] [CrossRef]
- Mohammadzadeh, H.; Rezaie, H.; Samim, H.; Barati, M.; Razavizadeh, H. Synthesis of WC–Ni composite powders by thermochemical processing method based on co-precipitation. Mater. Chem. Phys. 2015, 149–150, 145–155. [Google Scholar] [CrossRef]
- Min, F.-L.; Yang, H.; Yao, Z.-H.; Li, X.-G.; Zhang, J.-F.; Liu, H. Electroless Plating of Ni Nanoparticles on WC to Assist Its Pressureless Sintering of WC-Ni Cemented Carbide with Enhanced Mechanical and Corrosion-resistant Performance. J. Wuhan Univ. Technol. Mater. Sci. Ed. 2021, 36, 786–795. [Google Scholar] [CrossRef]
- Min, F.-L.; Yu, S.-B.; Wang, S.; Yao, Z.-H.; Liu, S.-J.; Zhang, J.-F. Preparation and properties of Ni-coated WC powder and highly impact resistant and corrosion resistant WC−Ni cemented carbides. Trans. Nonferrous Met. Soc. China 2022, 32, 1935–1947. [Google Scholar] [CrossRef]
- Yu, S.-B.; Min, F.-L.; Ying, G.-B.; Noudem, J.-G.; Liu, S.-J.; Zhang, J.-F. The grain growth and boundary evolution of extra-coarse-grained cemented carbides by pressureless sintering of ball-milling-mixed WC with Co at different temperature. Mater Charact. 2021, 180, 111386. [Google Scholar] [CrossRef]
- Deng, X.-C.; Zhang, H.; Zhang, G.-H. Effect of CeO2 and VC co-doping on the microstructure and properties of WC-10Co cemented carbide. Int. J. Refract. Met. Hard Mater. 2022, 108, 105938. [Google Scholar] [CrossRef]
- Qian, C.; Li, K.; Guo, X.-Y.; Liu, B.; Long, Z.-Y.; Liu, Y. Effect of WC grain size on mechanical properties and microstructures of cemented carbide with medium entropy alloy Co-Ni-Fe binder. J. Cent. South. Univ. 2020, 27, 1146–1157. [Google Scholar] [CrossRef]
- Chang, S.-H.; Chang, M.-H.; Huang, K.-T. Study on the sintered characteristics and properties of nanostructured WC–15 wt% (Fe–Ni–Co) and WC–15 wt% Co hard metal alloys. J. Alloys Compd. 2015, 649, 89–95. [Google Scholar] [CrossRef]
- Llanes, L.; Torres, Y.; Anglada, M. On the fatigue crack growth behavior of WC–Co cemented carbides: Kinetics description, microstructural effects and fatigue sensitivity. Acta Mater. 2002, 50, 2381–2393. [Google Scholar] [CrossRef]
- Liu, X.; Song, X.; Wang, H.; Liu, X.; Wang, X.; Guo, G. Preparation and mechanisms of cemented carbides with ultrahigh fracture strength. J. Appl. Crystallogr. 2015, 48, 1254–1263. [Google Scholar] [CrossRef]
- Chen, X.-F.; Liu, Y.; Ye, J.-W.; Wang, L.; Li, D. Effect of rapid cooling on microstructure and properties of nanocrystalline WC-9%co-Cr3C2-VC cemented carbide. Int. J. Refract. Met. Hard Mater. 2022, 109, 105961. [Google Scholar] [CrossRef]
- Schwanekamp, T.; Marginean, G.; Reuber, M.; Ostendorf, A. Impact of cobalt content and grain growth inhibitors in laser-based powder bed fusion of WC-Co. Int. J. Refract. Met. Hard Mater. 2022, 105, 105814. [Google Scholar] [CrossRef]
- Lee, W.-J.; Pyun, S.-I. Effects of hydroxide ion addition on anodic dissolution of pure aluminium in chloride ion-containing solution. Electrochim. Acta 1999, 44, 4041–4049. [Google Scholar] [CrossRef]
- Dong, G.-B.; Xiong, J.; Yang, M.; Guo, Z.-X.; Wan, W. Effect of Mo2C on erosion–corrosion resistance behavior of Ti(C, N)-based cermets. Wear 2012, 294–295, 364–369. [Google Scholar] [CrossRef]
- Su, W.; Sun, Y.; Liu, J.; Feng, J.; Ruan, J. Effects of Ni on the microstructures and properties of WC–6Co cemented carbides fabricated by WC–6(Co, Ni) composite powders. Ceram. Int. 2015, 41, 3169–3177. [Google Scholar] [CrossRef]
- Karimzadeh; Aliofkhazraei, M.; Walsh, F.C. A review of electrodeposited Ni-Co alloy and composite coatings: Microstructure, properties and applications. Surf. Coat. Technol. 2019, 372, 463–498. [Google Scholar] [CrossRef]








| Serial Number | Material Name | Material Specification | Manufacturer |
|---|---|---|---|
| 1 | WC substrate powder | 4.8~5.2 μm | Sichuan Zigong Co., Ltd. |
| 2 | HF | 500 mL | Sinopharm Chemical Reagent Co., Ltd. |
| 3 | HNO3 | 500 mL | Sinopharm Chemical Reagent Co., Ltd. |
| 4 | NaH2PO2·H2O | AR 500 g | Sinopharm Chemical Reagent Co., Ltd. |
| 5 | C6H5Na3O7·2H2O | AR 500 g | Sinopharm Chemical Reagent Co., Ltd. |
| 6 | H3BO3 | AR 500 g | Sinopharm Chemical Reagent Co., Ltd. |
| 7 | NaOH | AR 500 g | Sinopharm Chemical Reagent Co., Ltd. |
| 8 | HCl | AR 500 g | Sinopharm Chemical Reagent Co., Ltd. |
| 9 | NiCl2·6H2O | AR 500 g | Shanghai Lingfeng Co., Ltd. |
| 10 | CoCl2·6H2O | AR 500 g | Shanghai Lingfeng Co., Ltd. |
| 11 | (NH4)2C2O4·H2O | AR 500 g | Shanghai Lingfeng Co., Ltd. |
| Powder and Element | WC-NiEP | WC-NiCP | WC-Ni/CoEP | WC-Ni/CoCP |
|---|---|---|---|---|
| WC (wt.%) | 90 | 90 | 90 | 90 |
| Ni (wt.%) | 10 | 10 | 7.5 | 7.5 |
| Co (wt.%) | / | / | 2.5 | 2.5 |
| Sintering and Mechanical Properties | WC-NiEP | WC-NiCP | WC-Ni/CoEP | WC-Ni/CoCP |
|---|---|---|---|---|
| Relative density (%) | 97.41 | 99.80 | 98.59 | 99.87 |
| Average grainsize(µm) | 4.77 | 4.13 | 5.23 | 4.59 |
| Hardness (HRA) | 84.4 | 82.9 | 86.5 | 84.3 |
| Flexural strength (MPa) | 857 | 753 | 938 | 1108 |
| Impact toughness (KJ/m2) | 12 | 24 | 20 | 33 |
| Material | WC Grain Size (µm) | Hardness | TRS (MPa) | Impact Toughness | Ref. |
|---|---|---|---|---|---|
| WC-12Co | 2–17 | 81 HRA | 650 | / | [13] |
| WC-12Co | 50 (Maximum) | >1750 HV | 600–800 | / | [24] |
| WC-10Co | 7.3 | 84.2 HRA | 1752 | 34.5 | [17] |
| WC-18.8Ni | / | 82.6 HRA | / | / | [15] |
| WC-10(Ni, Co) | 4.59 | 84.3 HRA | 1108 | 33 | This work |
| Cemented Carbide | Icorr/(A·cm−2) | Ecorr/(V) | Rs/(Ω) | Rp/(Ω) |
|---|---|---|---|---|
| WC-NiEP | 8.1686 × 10−7 | −0.25018 | 5.739 | 1.26 × 105 |
| WC- NiCP | 3.6848 × 10−6 | −0.21734 | 9.027 | 9.184 × 104 |
| WC-Ni/CoEP | 6.9858 × 10−7 | −0.21039 | 5.268 | 9.018 × 104 |
| WC-Ni/ CoCP | 8.8971 × 10−6 | −0.18726 | 6.674 | 5.25 × 104 |
Disclaimer/Publisher’s Note: The statements, opinions and data contained in all publications are solely those of the individual author(s) and contributor(s) and not of MDPI and/or the editor(s). MDPI and/or the editor(s) disclaim responsibility for any injury to people or property resulting from any ideas, methods, instructions or products referred to in the content. |
© 2023 by the authors. Licensee MDPI, Basel, Switzerland. This article is an open access article distributed under the terms and conditions of the Creative Commons Attribution (CC BY) license (https://creativecommons.org/licenses/by/4.0/).
Share and Cite
Jiang, H.; Tong, J.; Zhan, Z.; Yao, Z.; Yu, S.; Min, F.; Wang, C.; Noudem, J.G.; Zhang, J. Comparative Study on the Densification, Microstructure and Properties of WC-10(Ni, Ni/Co) Cemented Carbides Using Electroless Plated and Coprecipitated Powders. Materials 2023, 16, 1977. https://doi.org/10.3390/ma16051977
Jiang H, Tong J, Zhan Z, Yao Z, Yu S, Min F, Wang C, Noudem JG, Zhang J. Comparative Study on the Densification, Microstructure and Properties of WC-10(Ni, Ni/Co) Cemented Carbides Using Electroless Plated and Coprecipitated Powders. Materials. 2023; 16(5):1977. https://doi.org/10.3390/ma16051977
Chicago/Turabian StyleJiang, Haoli, Jing Tong, Zhaoqing Zhan, Zhanhu Yao, Songbai Yu, Fanlu Min, Congxu Wang, Jacques Guillaume Noudem, and Jianfeng Zhang. 2023. "Comparative Study on the Densification, Microstructure and Properties of WC-10(Ni, Ni/Co) Cemented Carbides Using Electroless Plated and Coprecipitated Powders" Materials 16, no. 5: 1977. https://doi.org/10.3390/ma16051977
APA StyleJiang, H., Tong, J., Zhan, Z., Yao, Z., Yu, S., Min, F., Wang, C., Noudem, J. G., & Zhang, J. (2023). Comparative Study on the Densification, Microstructure and Properties of WC-10(Ni, Ni/Co) Cemented Carbides Using Electroless Plated and Coprecipitated Powders. Materials, 16(5), 1977. https://doi.org/10.3390/ma16051977

