Quantitative Measurement of Morphological Characteristics of PTFE Composite Transfer Films Based on Computer Graphics
Abstract
1. Introduction
2. Materials and Methods
2.1. Preparation of PTFE Composites
2.2. Friction and Wear Test
2.3. Pre-Processing of Transfer Film Images
2.3.1. Grayscale Processing of Transfer Film Images
2.3.2. Histogram Equalization of Transfer Film Grey-Scale Images
2.3.3. Enhancement and Sharpening of Transfer Film Images
2.3.4. Binarization of Transfer Film Grey-Scale Images
2.3.5. Morphological Processing of Transfer Membrane Binary Images
2.4. Extraction and Quantification of Transfer Film Characteristics
2.4.1. Quantification of Geometric Morphological Characteristics of Transfer Membranes
- (1)
- The perimeter L of the transfer film: the pixel points on the boundary of the transfer film were arranged in the counterclockwise direction and formed a closed boundary. The Euclidean distance d between two adjacent pixel points on the boundary was calculated using the 8-chain code method so that the perimeter L of the transfer film boundary was the sum of all d. The calculation formula is shown below:
- (2)
- The overall area A1 covered by the transfer film: each pixel in the target area was assigned a value of 1, whereas all pixels in the background area were assigned a value of 0. The sum of all the pixel points with a value of 1 was counted and used as the area covered by the transfer film. The calculation formula is shown below:
- (3)
- The coverage ratio of the transfer film rcov: the ratio of the transfer film’s overall coverage area A1 to the total number of image pixel points A. The calculation formula is shown below:
- (4)
- Transfer film roundness C: a measurement of how closely the transfer film’s boundary shape resembles a circle. A higher C value indicated that the shape of the transfer film was closer to a circle. The calculation formula is shown below:
- (5)
- The squareness of the transfer film R: the ratio of an individual transfer film’s area to its smallest external rectangular area. R indicates the degree to which the shape of the transfer film resembles a rectangle. The calculation formula is shown below:
2.4.2. Quantification of Texture Characteristics of Transfer Membranes
- (1)
- The mean value of the transfer film M: the average luminance value of all pixel points in the target area, which is a measurement of the transfer film’s overall luminance. The calculation formula is shown below:
- (2)
- The standard deviation of the transfer film SV: the deviation of the pixel values in the area covered by the transfer film relative to the mean value. The larger the standard deviation value, the greater the range of variation of the grey values in the image. The calculation formula is shown below:
- (3)
- The third-order moment of the transfer film μ3: it quantifies the degree of deflection of the greyscale histogram and thus determines the symmetry of the histogram. The calculation formula is shown below:
- (4)
- The consistency of the transfer film U: it reflects the texture’s smoothness in the transfer film image. The greater the consistency value, the smoother the image’s texture; conversely, the lower the consistency value, the rougher the texture. The calculation formula is shown below:
- (5)
- The textural entropy of the transfer film E: it reflects the variability and complexity of the texture in the transfer film image. A higher entropy value E indicates a more complex transfer film shape; conversely, a lower entropy value E indicates a less chaotic transfer film shape. The calculation formula is shown below:
3. Results and Discussion
3.1. Evolution of Tribological Properties
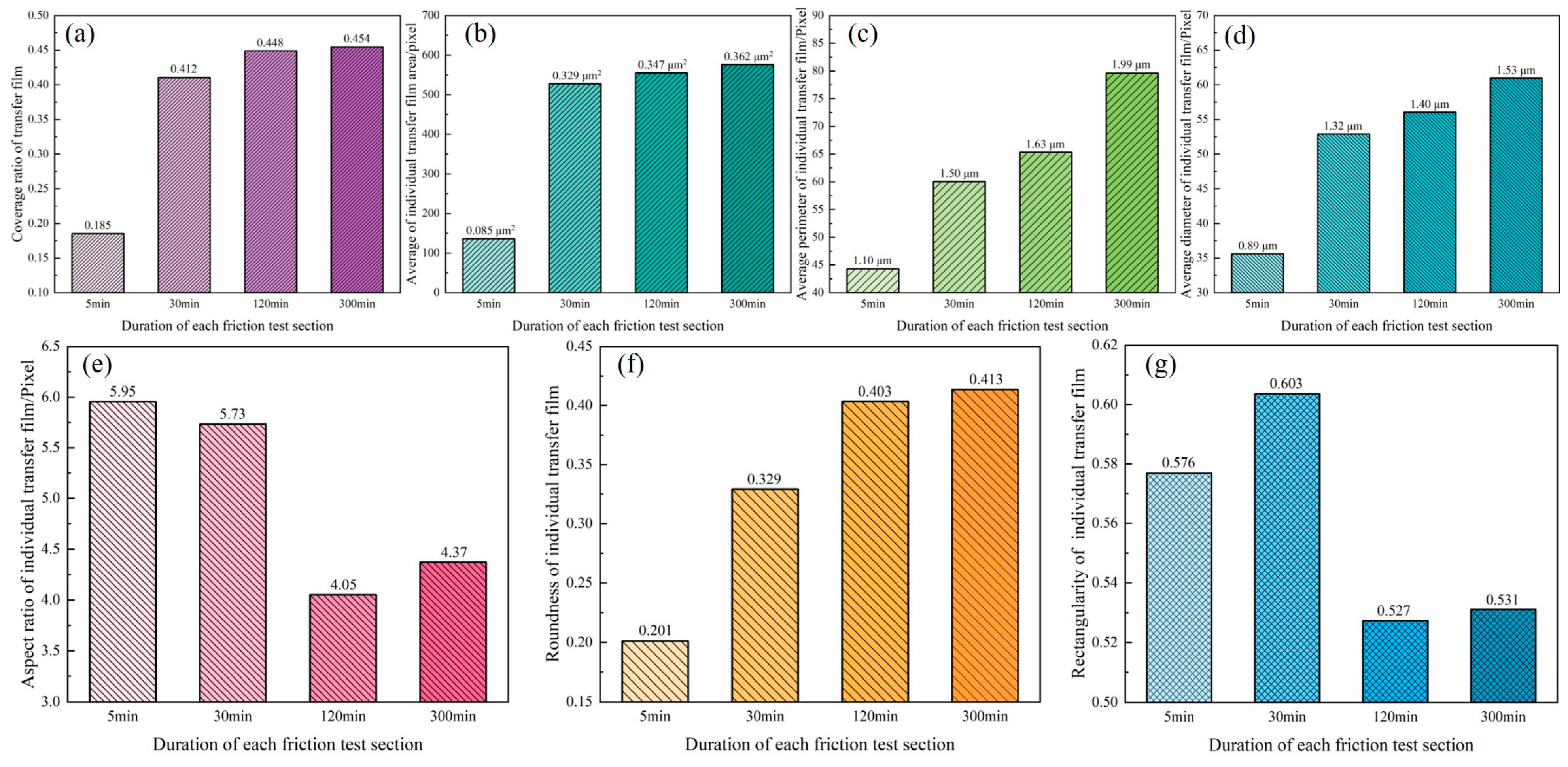
3.2. Evolution of Morphological and Textural Features of Transfer Film
3.3. Correlation between Tribological Properties and Transfer Film Characteristic Parameters
4. Conclusions
- Throughout the friction process of Nano-ZrO2/PEEK/PTFE, abrasive debris attached to the counter metal’s surface and progressively accumulated to generate a transfer film. As the area covered by the transfer film and its thickness steadily increased, the volume wear rate of Nano-ZrO2/PEEK/PTFE decreased significantly, from 288 × 10−6 mm3/Nm in the first stage to 1.9 × 10−6 mm3/Nm in the sixth stage, and the average friction coefficient in each phase also showed a moderate but steady decrease. This suggests that the tribological properties of the PTFE composites are closely related to the quality and evolution of the transfer film.
- A MATLAB-built program for transfer film feature quantization enabled the enhancement of the transfer film image and the reduction in noise in the image. Based on the Otsu algorithm and morphological principles, the transfer film area might be separated from the bare metal surface region with greater precision, and the transfer film’s edges could be recognized and extracted.
- The results of the extraction and quantification of the geometric and textural features of the transfer film showed that the overall coverage ratio, area, perimeter, diameter, circularity, mean, and consistency characteristics of the transfer film demonstrated a gradual increase in dynamic evolution during the friction process, whereas the third-order moments and texture entropy demonstrated a trend of gradual decrease.
- An analysis of the correlation between tribological properties and transfer film characteristics revealed that the volumetric wear rate exhibited significant correlations with six characteristic parameters, namely the coverage, area, diameter, roundness, consistency, and texture entropy of the transfer film, and therefore these six characteristic parameters can be used as a quantitative basis for evaluating the quality of the transfer film and the wear resistance of Nano-ZrO2/PEEK/PTFE. The algorithm will be further improved to increase the accuracy and efficiency of the identification of morphological features of the transfer film, and an attempt will be made to use quantitative analysis of the transfer film quality to determine the tribological properties of the material.
Author Contributions
Funding
Institutional Review Board Statement
Informed Consent Statement
Data Availability Statement
Conflicts of Interest
References
- Speerschneider, C.J.; Li, C.H. Some Observations on the Structure of Polytetrafluoroethylene. J. Appl. Phys. 1962, 33, 1871–1875. [Google Scholar] [CrossRef]
- Bunn, C.W.; Cobbold, A.J.; Palmer, R.P. The fine structure of polytetrafluoroethylene. J. Polym. Sci. 1958, 28, 365–376. [Google Scholar] [CrossRef]
- Meng, Y.; Xu, J.; Jin, Z.; Prakash, B.; Hu, Y. A review of recent advances in tribology. Friction 2020, 8, 221–300. [Google Scholar] [CrossRef]
- Yang, M.; Zhang, Z.; Yuan, J.; Wu, L.; Zhao, X.; Guo, F.; Men, X.; Liu, W. Fabrication of PTFE/Nomex fabric/phenolic composites using a layer-by-layer self-assembly method for tribology field application. Friction 2020, 8, 335–342. [Google Scholar] [CrossRef]
- Makinson, K.R.; Tabor, D. Friction and Transfer of Polytetrafluoroethylene. Nature 1964, 201, 464–466. [Google Scholar] [CrossRef]
- Khare, H.S.; Moore, A.C.; Haidar, D.R.; Gong, L.; Ye, J.; Rabolt, J.F.; Burris, D.L. Interrelated Effects of Temperature and Environment on Wear and Tribochemistry of an Ultralow Wear PTFE Composite. J. Phys. Chem. C 2015, 119, 16518–16527. [Google Scholar] [CrossRef]
- Harris, K.L.; Curry, J.; Pitenis, A.A.; Rowe, K.G.; Sidebottom, M.A.; Sawyer, W.G.; Krick, B.A. Wear Debris Mobility, Aligned Surface Roughness, and the Low Wear Behavior of Filled Polytetrafluoroethylene. Tribol. Lett. 2015, 60, 2. [Google Scholar] [CrossRef]
- Nunez, E.E.; Polycarpou, A.A. The effect of surface roughness on the transfer of polymer films under unlubricated testing conditions. Wear 2015, 326–327, 74–83. [Google Scholar] [CrossRef]
- Hu, L.; Zhong, W.; Dan, J.; Li, Y.; Yu, Q. A study of the tribological behavior of transfer films of PTFE composites formed under different loads, speeds and morphologies of the counterface. Wear 2015, 328, 17–27. [Google Scholar]
- Harris, K.L.; Pitenis, A.A.; Sawyer, W.G.; Krick, B.A.; Blackman, G.S.; Kasprzak, D.J.; Junk, C.P. PTFE Tribology and the Role of Mechanochemistry in the Development of Protective Surface Films. Macromolecules 2015, 48, 3739–3745. [Google Scholar] [CrossRef]
- Schall, J.D.; Gao, G.; Harrison, J.A. Effects of Adhesion and Transfer Film Formation on the Tribology of Self-Mated DLC Contacts. J. Phys. Chem. C 2010, 114, 5321–5330. [Google Scholar] [CrossRef]
- Alam, K.I.; Dorazio, A.; Burris, D.L. Polymers Tribology Exposed: Eliminating Transfer Film Effects to Clarify Ultralow Wear of PTFE. Tribol. Lett. 2020, 68, 67–79. [Google Scholar] [CrossRef]
- Friedrich, K. Polymer composites for tribological applications. Adv. Ind. Eng. Polym. Res. 2018, 1, 3–39. [Google Scholar] [CrossRef]
- Urueña, J.M.; Pitenis, A.A.; Harris, K.L.; Sawyer, W.G. Evolution and Wear of Fluoropolymer Transfer Films. Tribol. Lett. 2015, 57, 9. [Google Scholar] [CrossRef]
- Gosvami, N.N.; Bares, J.A.; Mangolini, F.; Konicek, A.R.; Yablon, D.G.; Carpick, R.W. Mechanisms of antiwear tribofilm growth revealed in situ by single-asperity sliding contacts. Science 2015, 348, 102–106. [Google Scholar] [CrossRef] [PubMed]
- Ye, J.; Khare, H.; Burris, D. Quantitative characterization of solid lubricant transfer film quality. Wear 2014, 316, 133–143. [Google Scholar] [CrossRef]
- Ye, J.; Khare, H.; Burris, D. Transfer film evolution and its role in promoting ultra-low wear of a PTFE nanocomposite. Wear 2013, 297, 1095–1102. [Google Scholar] [CrossRef]
- Schwartz, C.J.; Bahadur, S. Studies on the tribological behavior and transfer film–counterface bond strength for polyphenylene sulfide filled with nanoscale alumina particles. Wear 2000, 237, 261–273. [Google Scholar] [CrossRef]
- Sawyer, W.; Freudenberg, K.D.; Bhimaraj, P.; Schadler, L.S. A study on the friction and wear behavior of PTFE filled with alumina nanoparticles. Wear 2003, 254, 573–580. [Google Scholar] [CrossRef]
- Wang, Y.; Yan, F. Tribological properties of transfer films of PTFE-based composites. Wear 2006, 261, 1359–1366. [Google Scholar] [CrossRef]
- Zhang, L.; Xie, T.; Chen, K.; Li, W. Observation and analysis of the terrace-like structured transfer film of SiO2/PTFE composites. Tribol. Int. 2022, 170, 107526–107536. [Google Scholar] [CrossRef]
- Bahadur, S. The development of transfer layers and their role in polymer tribology. Wear 2000, 245, 92–99. [Google Scholar] [CrossRef]
- Wahl, K.; Chromik, R.; Lee, G.Y. Quantitative in situ measurement of transfer film thickness by a Newton’s rings method. Wear 2008, 264, 731–736. [Google Scholar] [CrossRef]
- Gu, Y.; Wang, Z.; Peng, S.; Ma, T.; Luo, J. Quantitative measurement of transfer film thickness of PTFE based composites by infrared spectroscopy. Tribol. Int. 2021, 153, 106593. [Google Scholar] [CrossRef]
- Zhang, L.; Xie, T.; Chen, K.; Li, C.; Zhang, J. Quantitative characterization of the transfer film morphology of SiO2/PTFE composite. Wear 2021, 484–485, 204047. [Google Scholar] [CrossRef]












| Morphological Characteristics of the Transfer Film | Correlation Coefficient with Volumetric Wear Rate (r) | Correlation Coefficient with Friction Coefficient (r) | |
|---|---|---|---|
| Geometrical characteristics | Overall coverage ratio | −0.999910786 | −0.658187884 |
| The area of the individual transfer film | −0.997891648 | −0.623471999 | |
| Perimeter | −0.886632773 | −0.910310874 | |
| Diameter | −0.983666792 | −0.772315698 | |
| Aspect ratio | 0.746834732 | 0.837089055 | |
| Roundness | −0.970752224 | −0.798297282 | |
| Rectangularity | 0.446194053 | 0.837144576 | |
| Textural features | Mean value | −0.750643713 | −0.986448891 |
| Standard deviation | −0.538869718 | −0.955441271 | |
| Third−order moments | 0.771298518 | 0.987053339 | |
| Consistency | −0.969531143 | −0.816409685 | |
| Texture entropy | 0.999192918 | 0.644833901 | |
Disclaimer/Publisher’s Note: The statements, opinions and data contained in all publications are solely those of the individual author(s) and contributor(s) and not of MDPI and/or the editor(s). MDPI and/or the editor(s) disclaim responsibility for any injury to people or property resulting from any ideas, methods, instructions or products referred to in the content. |
© 2023 by the authors. Licensee MDPI, Basel, Switzerland. This article is an open access article distributed under the terms and conditions of the Creative Commons Attribution (CC BY) license (https://creativecommons.org/licenses/by/4.0/).
Share and Cite
Qi, Y.; Sun, B.; Wang, H.; Zhang, Y.; Gao, G.; Zhang, P.; Zheng, X. Quantitative Measurement of Morphological Characteristics of PTFE Composite Transfer Films Based on Computer Graphics. Materials 2023, 16, 1688. https://doi.org/10.3390/ma16041688
Qi Y, Sun B, Wang H, Zhang Y, Gao G, Zhang P, Zheng X. Quantitative Measurement of Morphological Characteristics of PTFE Composite Transfer Films Based on Computer Graphics. Materials. 2023; 16(4):1688. https://doi.org/10.3390/ma16041688
Chicago/Turabian StyleQi, Yuan, Bugong Sun, Honggang Wang, Yang Zhang, Gui Gao, Peng Zhang, and Xiaobao Zheng. 2023. "Quantitative Measurement of Morphological Characteristics of PTFE Composite Transfer Films Based on Computer Graphics" Materials 16, no. 4: 1688. https://doi.org/10.3390/ma16041688
APA StyleQi, Y., Sun, B., Wang, H., Zhang, Y., Gao, G., Zhang, P., & Zheng, X. (2023). Quantitative Measurement of Morphological Characteristics of PTFE Composite Transfer Films Based on Computer Graphics. Materials, 16(4), 1688. https://doi.org/10.3390/ma16041688

