A Comparative Study of Eu3+-Doped Sillenites: Bi12SiO20 (BSO) and Bi12GeO20 (BGO)
Abstract
1. Introduction
2. Materials and Methods
2.1. Crystal Growth
2.2. Samples Characterization
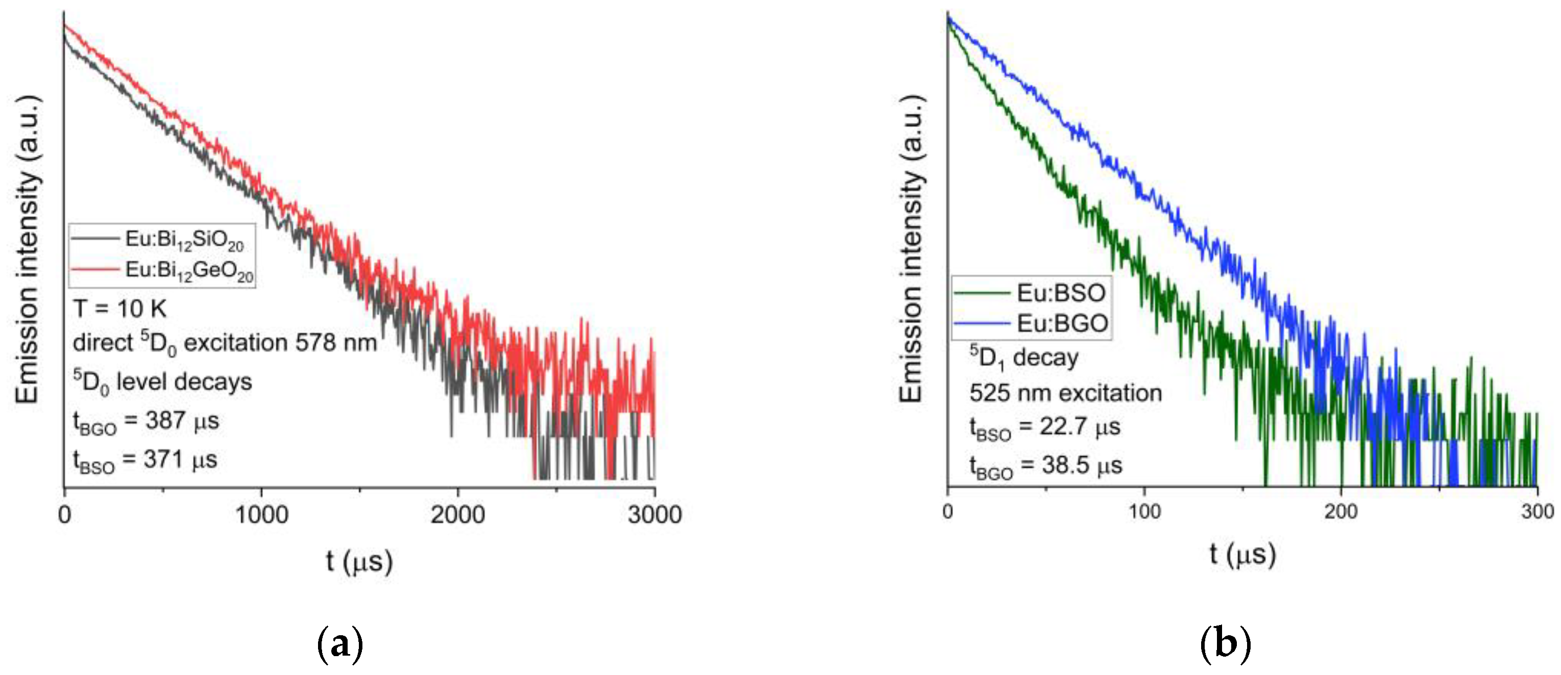
3. Results and Discussion
4. Conclusions
Author Contributions
Funding
Institutional Review Board Statement
Informed Consent Statement
Data Availability Statement
Acknowledgments
Conflicts of Interest
Appendix A

References
- Malinovskiy, V.K.; Gudaev, O.A.; Gusev, V.A.; Demenko, S.I. Photoinduced Phenomena in Sillenite Crystals; Nauka: Novosibirsk, Russia, 1990. [Google Scholar]
- Neov, S.; Marinova, V.; Reehuis, M.; Sonntag, R. Neutron-Diffraction Study of Bi12MO20 Single Crystals with Sillenite Structure (M = Si, Si0.995Mn0.005, Bi0.53Mn0.47). Appl. Phys. A Mater. Sci. Process 2002, 74, s1016–s1018. [Google Scholar] [CrossRef]
- Abrahams, A.C.; Jamieson, P.B.; Bernstein, J.L. Crystal Structure of Piezoelectric Bismuth Germanium Oxide Bi 12GeO20. Chem. Phys. 1967, 44, 4034–4041. [Google Scholar] [CrossRef]
- Owechko, Y.; Tanguay, A.R. Effects of Operating Mode on Electrooptic Spatial Light Modulator Resolution and Sensitivity. Opt. Lett. 1982, 7, 587. [Google Scholar] [CrossRef] [PubMed]
- Bayvel, P.; McCall, M.; Wright, R.V. Continuous Method for Measuring the Electro-Optic Coefficient in Bi12SiO20 and Bi12GeO20. Opt. Lett. 1988, 13, 27. [Google Scholar] [CrossRef]
- Casasent, D.; Caimi, F.; Khomenko, A. Test and Evaluation of the Soviet Prom and Priz Spatial Light Modulators. Appl. Opt. 1981, 20, 4215. [Google Scholar] [CrossRef]
- Garrett, M.H. Properties of Photorefractive Nonstoichiometric Bismuth Silicon Oxide, BiSiO1.5X+ 2. J. Opt. Soc. Am. B 1991, 8, 78–87. [Google Scholar] [CrossRef]
- Romashko, R.V.; Grachev, A.I.; Kulchin, Y.N.; Kamshilin, A.A. Fast Photogalvanic Response of a Bi12SiO20 Crystal. Opt. Express 2010, 18, 27142. [Google Scholar] [CrossRef]
- Avanesyan, V.T.; Piskovatskova, I.V. Photodielectric Effect in Bi12SiO20 Sillenite Crystals. Semiconductors 2020, 54, 19–21. [Google Scholar] [CrossRef]
- Eftimov, T.; Dyankov, G.; Kolev, P.; Vladev, V.; Kolaklieva, L. A Polarimetric Fiber Optic Current Sensor Based on Bi12SiO20 Crystal Fluorescence. Opt. Mater. 2022, 133, 112837. [Google Scholar] [CrossRef]
- Diankov, G.L.; Tassev, V.L.; Gospodinov, M. Fiber Optic Magnetic Field Sensor Head Based on BSO Crystal. In Proceedings of the Ninth International School on Quantum Electronics: Lasers—Physics and Applications, Varna, Bulgaria, 16–20 September 1996; Atanasov, P.A., Ed.; SPIE: Bellingham, WA, USA, 1996; Volume 3052, pp. 390–393. [Google Scholar]
- Petricevic, S.J.; Mihailovic, P.; Radunovic, J. A Miniature Pockels Cell with Novel Electrode Geometry. Sensors 2009, 9, 5298–5307. [Google Scholar] [CrossRef]
- Huignard, J.P.; Micheron, F. High-Sensitivity Read-Write Volume Holographic Storage in BSO and BGO Crystals. Appl. Phys. Lett. 1976, 29, 591. [Google Scholar] [CrossRef]
- Peltier, M.; Micheron, F. Volume Hologram Recording and Charge Transfer Process in Bi12SiO20 and Bi12GeO20. J. Appl. Phys. 1977, 48, 3683. [Google Scholar] [CrossRef]
- Hou, S.L.; Lauer, R.B.; Aldrich, R.E. Transport Processes of Photoinduced Carriers in Bi12SiO20. J. Appl. Phys. 1973, 44, 2652–2658. [Google Scholar] [CrossRef]
- Douglas, G.G.; Zitter, R.N. Transport Processes of Photoinduced Carriers in Bismuth Germanium Oxide (Bi12GeO20). J. Appl. Phys. 1968, 39, 2133–2135. [Google Scholar] [CrossRef]
- Briat, B.; Borowiec, M.T.; Rjeily, H.B.; Ramaz, F.; Hamri, A.; Szymczak, H. Combined Optical/Mcd/Odmr Investigations of Photochromism in Doubly-Doped Bi12GeO20. Radiat. Eff. Defects Solids 2002, 157, 989–993. [Google Scholar] [CrossRef]
- Tassev, V.; Gospodinov, M.; Veleva, M. Optical Activity of BSO Crystals Doped with Cr, Mn and Cu. Opt. Mater. 1999, 13, 249–253. [Google Scholar] [CrossRef]
- Wood, A.W.; Hunt, C.A.; Martin, J.J. The Low-Temperature Photochromic and Photorefractive Response of Bismuth Germanium Oxide Doped with Molybdenum. J Appl. Phys. 2007, 101, 1–7. [Google Scholar] [CrossRef]
- Stepanova, I.V.; Gorashchenko, N.G.; Subbotin, K.A.; Smirnov, V.A. Determination of the Charge State of Chromium in Cr:Bi12GeO20 Single Crystals by Spectral Luminescence Methods. Opt. Spectrosc. Engl. Transl. Opt. I Spektrosk. 2009, 107, 335–338. [Google Scholar] [CrossRef]
- Lu, J.; Dai, Y.; Zhu, Y.; Huang, B. Density Functional Characterization of Pure and Alkaline Earth Metal-Doped Bi12GeO20, Bi12SiO20, and Bi12TiO20 Photocatalysts. Chem. Cat. Chem. 2011, 3, 378–385. [Google Scholar] [CrossRef]
- Marinova, V.; Lin, S.H.; Hsu, K.Y. Photorefractive Properties Enhancement of Doped Bismuth Sillenite Crystals. Opt. Mem. Neural Netw. Inf. Opt. 2011, 20, 7–22. [Google Scholar] [CrossRef]
- Marinova, V.; Liu, R.C.; Lin, S.H.; Hsu, K.Y. Real-Time Holography in Ruthenium-Doped Bismuth Sillenite Crystals at 1064 Nm. Opt. Lett. 2011, 36, 1981. [Google Scholar] [CrossRef] [PubMed]
- Marinova, V.; Liu, R.C.; Lin, S.H.; Hsu, K.Y. Quasi-Nonvolatile Storage in Ru-Doped Bi12SiO20 Crystals by Two-Wavelength Holography. Opt. Express 2012, 20, 19628. [Google Scholar] [CrossRef] [PubMed]
- Kowalczyk, M.; Ramazanova, T.F.; Grigoryeva, V.D.; Shlegel, V.N.; Kaczkan, M.; Fetliński, B.; Malinowski, M. Optical Investigation of Eu3+ Doped Bi12GeO20 (BGO) Crystals. Crystals 2020, 10, 285. [Google Scholar] [CrossRef]
- Binnemans, K. Interpretation of Europium(III) Spectra. Coord. Chem. Rev. 2015, 295, 1–45. [Google Scholar] [CrossRef]
- Hehlen, M.P.; Brik, M.G.; Krämer, K.W. 50th Anniversary of the Judd-Ofelt Theory: An Experimentalist’s View of the Formalism and Its Application. J. Lumin 2013, 136, 221–239. [Google Scholar] [CrossRef]
- Majchrowski, A.; Borowiec, M.T.; Zmija, J.; Szymczak, H.; Zaleski, M. Influence of Some Dopants on Optical Properties of Bi12GeO20 and Bi12SiO20 Single Crystals Grown by the Czochralski Technique. In Proceedings of the Nonlinear Optics of Liquid and Photorefractive Crystals, Ai-Danil, Ukraine, 23–30 October 1995; Klimusheva, G.V., Iljin, A.G., Eds.; SPIE: Bellingham, WA, USA, 1996; Volume 2795, pp. 253–256. [Google Scholar]
- Bliss, D.F. Evolution and Application of the Kyropoulos Crystal Growth Method. In 50 Years Progress in Crystal Growth; Elsevier: Amsterdam, The Netherlands, 2004; p. 29. [Google Scholar]
- Tanguay, A.R.; Mroczkowski, S.; Barker, R.C. The Czochralski Growth of Optical Quality Bismuth Silicon Oxide (Bi12SiO20). J. Cryst. Growth 1977, 42, 431–434. [Google Scholar] [CrossRef]
- Blois, L.; Carneiro Neto, A.N.; Malta, O.L.; Brito, H.F. The Role of the Eu3+ 7F1 Level in the Direct Sensitization of the 5D0 Emitting Level through Intramolecular Energy Transfer. J. Lumin 2022, 247, 118862. [Google Scholar] [CrossRef]
- Malta, O.L. Mechanisms of Non-Radiative Energy Transfer Involving Lanthanide Ions Revisited. J. Non Cryst. Solids 2008, 354, 4770–4776. [Google Scholar] [CrossRef]
- Ofelt, G.S. Intensities of Crystal Spectra of Rare-Earth Ions. J. Chem. Phys 1962, 37, 511–520. [Google Scholar] [CrossRef]
- Judd, B.R. Optical Absorption Intensities of Rare-Earth Ions. Phys. Rev. 1962, 127, 750–761. [Google Scholar] [CrossRef]
- Ćirić, A.; Stojadinović, S.; Dramićanin, M.D. Approximate Prediction of the CIE Coordinates of Lanthanide-Doped Materials from the Judd-Ofelt Intensity Parameters. J. Lumin 2019, 213, 395–400. [Google Scholar] [CrossRef]
- Carnall, W.T.; Fields, P.R.; Rajnak, K. Electronic Energy Levels of the Trivalent Lanthanide Aquo Ions. IV. Eu3+. J. Chem. Phys 1968, 49, 4424–4442. [Google Scholar] [CrossRef]
- Carnall, W.T.; Crosswhite, H.; Crosswhite, H.M. Energy Level Structure and Transition Probabilities in the Spectra of the Trivalent Lanthanides in LaF3; Argonne National Lab. (ANL): Argonne, IL, USA, 1978. [Google Scholar]
- Kolesnikov, I.E.; Povolotskiy, A.V.; Mamonova, D.V.; Kolesnikov, E.Y.; Kurochkin, A.V.; Lähderanta, E.; Mikhailov, M.D. Asymmetry Ratio as a Parameter of Eu3+ Local Environment in Phosphors. J. Rare Earths 2018, 36, 474–481. [Google Scholar] [CrossRef]
- Chen, X.Y.; Liu, G.K. The Standard and Anomalous Crystal-Field Spectra of Eu3+. J. Solid State Chem. 2005, 178, 419–428. [Google Scholar] [CrossRef]
- Smentek, L.; Kȩdziorski, A. Electric Dipole Transitions; Old Problems in a New Light. J. Alloys Compd. 2009, 488, 586–590. [Google Scholar] [CrossRef]
- Sabbatini, N.; de Cola, L.; Vallarino, L.M.; Blasse, G. Radiative and Nonradiative Transitions in the Europium(III) Hexaaza Macrocyclic Complex [Eu(C22H26N6)(CH3COO)](CH3COO)Cl.2H2O. J. Phys. Chem 1987, 91, 4681–4685. [Google Scholar] [CrossRef]
- Loureno, S.A.; Dantas, N.O.; Serqueira, E.O.; Ayta, W.E.F.; Andrade, A.A.; Filadelpho, M.C.; Sampaio, J.A.; Bell, M.J.V.; Pereira-Da-Silva, M.A. Eu3+ Photoluminescence Enhancement Due to Thermal Energy Transfer in Eu2O3-Doped SiO2B2O3PbO2 Glasses System. J. Lumin 2011, 131, 850–855. [Google Scholar] [CrossRef]
- Li, N.; Xue, Y.; Wang, D.; Liu, B.; Guo, C.; Song, Q.; Xu, X.; Liu, J.; Li, D.; Xu, J.; et al. Spectroscopic Properties of Eu:Bi4Ge3O12 Single Crystal Grown by the Micro-Pulling-down Method. J. Lumin 2019, 208, 208–212. [Google Scholar] [CrossRef]
- Loiko, P.A.; Dashkevich, V.I.; Bagaev, S.N.; Orlovich, V.A.; Mateos, X.; Serres, J.M.; Vilejshikova, E.V.; Yasukevich, A.S.; Yumashev, K.v.; Kuleshov, N.v.; et al. Judd-Ofelt Analysis of Spectroscopic Properties of Eu3+:KLu(WO4)2 Crystal. J. Lumin 2015, 168, 102–108. [Google Scholar] [CrossRef]
- Loiko, P.A.; Dashkevich, V.I.; Bagaev, S.N.; Orlovich, V.A.; Yasukevich, A.S.; Yumashev, K.v.; Kuleshov, N.V.; Dunina, E.B.; Kornienko, A.A.; Vatnik, S.M.; et al. Spectroscopic and Photoluminescence Characterization of Eu3+-Doped Monoclinic KY(WO4)2 crystal. J. Lumin 2014, 153, 221–226. [Google Scholar] [CrossRef]
- ben Amar, N.; Koubaa, T.; Hassairi, M.A.; Kbaïli, I.; Dammak, M. Optical Spectroscopy of Eu3+ Ions Doped in YAl3(BO3)4 Crystal. J. Lumin 2015, 160, 95–100. [Google Scholar] [CrossRef]
- Dalal, J.; Dalal, M.; Devi, S.; Dhankhar, P.; Hooda, A.; Khatkar, A.; Taxak, V.B.; Khatkar, S.P. Structural and Judd-Ofelt Intensity Parameters of a down-Converting Ba2GdV3O11:Eu3+ Nanophosphors. Mater. Chem. Phys 2020, 243, 122631. [Google Scholar] [CrossRef]
- Xie, J.; Cheng, L.; Tang, H.; Yu, X.; Wang, Y.; Wang, C.; Mi, X.; Liu, Q.; Zhang, X. Synthesis and Photoluminescence Properties of NaBi(WO4)2:Eu3+ Red-Emitting Phosphor for NUV-Based WLEDs. J. Lumin 2020, 219, 116841. [Google Scholar] [CrossRef]
- Liu, Y.; Luo, W.; Li, R.; Liu, G.; Antonio, M.R.; Chen, X. Optical Spectroscopy of Eu3+ Doped ZnO Nanocrystals. J. Phys. Chem. C 2008, 112, 686–694. [Google Scholar] [CrossRef]
- Liu, L.; Chen, X. Energy Levels, Fluorescence Lifetime and Judd-Ofelt Parameters of Eu3+ in Gd2O3 Nanocrystals. Nanotechnology 2007, 18, 255704. [Google Scholar] [CrossRef]
- Souza, A.S.; Oliveira, Y.A.R.; Couto dos Santos, M.A. Enhanced Approach to the Eu3+ Ion 5D0→7F0 Transition Intensity. Opt. Mater. 2013, 35, 1633–1635. [Google Scholar] [CrossRef]
- Burdick, G.W.; Downer, M.C.; Sardar, D.K. A New Contribution to Spin-Forbidden Rare Earth Optical Transition Intensities: Analysis of All Trivalent Lanthanides. J. Chem. Phys 1989, 91, 1511–1520. [Google Scholar] [CrossRef]
- Tanaka, M.; Nishimura, G.; Kushida, T. Contribution of J Mixing to the 5D0 − 7F0 Transition of Eu3+ Ions in Several Host Matrices. Phys. Rev. B 1994, 49, 16917–16925. [Google Scholar] [CrossRef]








| Transition | λ (nm) BSO | λ (nm) BGO | Acalc (s−1) BSO | Acalc (s−1) BGO | βcalc BSO | βcalc BGO |
|---|---|---|---|---|---|---|
| 5D0 → 7F0 | 578 | 578 | 0 | 0 | 0 | 0 |
| 5D0 → 7F1 | 583 | 584 | 242.038 | 249.258 | 0.2187 | 0.2557 |
| 5D0 → 7F2 | 614 | 614 | 763.465 | 652.459 | 0.6899 | 0.6694 |
| 5D0 → 7F3 | 660 | 660 | 0 | 0 | 0 | 0 |
| 5D0 → 7F4 | 699 | 705 | 100.994 | 72.995 | 0.0912 | 0.0748 |
| 5D0 → 7F5 | - | |||||
| 5D0 → 7F6 | - | |||||
| Σ | 1106.497 | 974.672 | 1 | 1 | ||
| 3.752 * 10−20 cm2 | 3.122 * 10−20 cm2 | |||||
| 1.095 * 10−20 cm2 | 0.774 * 10−20 cm2 | |||||
| τcalc (BSO) = 903.753 μs | τcalc (BGO) = 1025.9 μs | |||||
| R (BSO) = 2.619 | R (BGO) = 2.347 | |||||
| Host | Ω2 (10−20 cm2) | Ω4 (10−20 cm2) | Ω6 (10−20 cm2) | Reference |
|---|---|---|---|---|
| Bi12SiO20 | 3.75 | 1.09 | - | This work |
| Bi12GeO20 | 3.12 | 0.77 | - | [25] |
| Bi4Ge3O12 | 4.39 | 2.70 | 0.64 | [43] |
| KLu(WO4)2 | 20.76 | 5.23 | 7.96 | [44] |
| KY(WO4)2 | 36.70 | 11.50 | 3.40 | [45] |
| YAl3(BO3)4 | 2.26 | 5.11 | 0.78 | [46] |
| Ba2GdV3O11 | 3.48 | 0.11 | - | [47] |
| NaBi(WO4)2 | 3.95 | 0.10 | - | [48] |
| LaF3 | 1.19 | 1.16 | 0.39 | [49] |
| YAlO3 | 2.66 | 6.33 | 0.80 | [49] |
| ZnO | 9.59 | 8.11 | 0.25 | [49] |
| Y2O3 | 9.86 | 2.23 | 0.32 | [49] |
| Gd2O3 | 12.39 | 2.02 | 0.19 | [50] |
| Level | Position in BSO (cm−1) | Position in BGO (cm−1) |
|---|---|---|
| 5D0 | 17,280 | 17,280 |
| 7F2 | 1088 | 1083 |
| 1046 | 1057 | |
| 996 | 1000 | |
| 978 | 976 | |
| 914 | 907 | |
| 7F1 | 600 | 604 |
| 428 | 422 | |
| 166 | 170 | |
| 7F0 (ground state) | 0 | 0 |
Disclaimer/Publisher’s Note: The statements, opinions and data contained in all publications are solely those of the individual author(s) and contributor(s) and not of MDPI and/or the editor(s). MDPI and/or the editor(s) disclaim responsibility for any injury to people or property resulting from any ideas, methods, instructions or products referred to in the content. |
© 2023 by the authors. Licensee MDPI, Basel, Switzerland. This article is an open access article distributed under the terms and conditions of the Creative Commons Attribution (CC BY) license (https://creativecommons.org/licenses/by/4.0/).
Share and Cite
Kowalczyk, M.; Kaczkan, M.; Majchrowski, A.; Malinowski, M. A Comparative Study of Eu3+-Doped Sillenites: Bi12SiO20 (BSO) and Bi12GeO20 (BGO). Materials 2023, 16, 1621. https://doi.org/10.3390/ma16041621
Kowalczyk M, Kaczkan M, Majchrowski A, Malinowski M. A Comparative Study of Eu3+-Doped Sillenites: Bi12SiO20 (BSO) and Bi12GeO20 (BGO). Materials. 2023; 16(4):1621. https://doi.org/10.3390/ma16041621
Chicago/Turabian StyleKowalczyk, Marcin, Marcin Kaczkan, Andrzej Majchrowski, and Michał Malinowski. 2023. "A Comparative Study of Eu3+-Doped Sillenites: Bi12SiO20 (BSO) and Bi12GeO20 (BGO)" Materials 16, no. 4: 1621. https://doi.org/10.3390/ma16041621
APA StyleKowalczyk, M., Kaczkan, M., Majchrowski, A., & Malinowski, M. (2023). A Comparative Study of Eu3+-Doped Sillenites: Bi12SiO20 (BSO) and Bi12GeO20 (BGO). Materials, 16(4), 1621. https://doi.org/10.3390/ma16041621

