Surface-Modified In2O3 for High-Throughput Screening of Volatile Gas Sensors in Diesel and Gasoline
Abstract
:1. Introduction
2. Experimental
2.1. Raw Material Preparation
2.2. Gas-Sensitive Film Preparation and Device Packaging
2.3. Gas Sensitivity Test
2.4. Characterization
3. Results and Discussion
3.1. Material Structure and Morphology Characterization
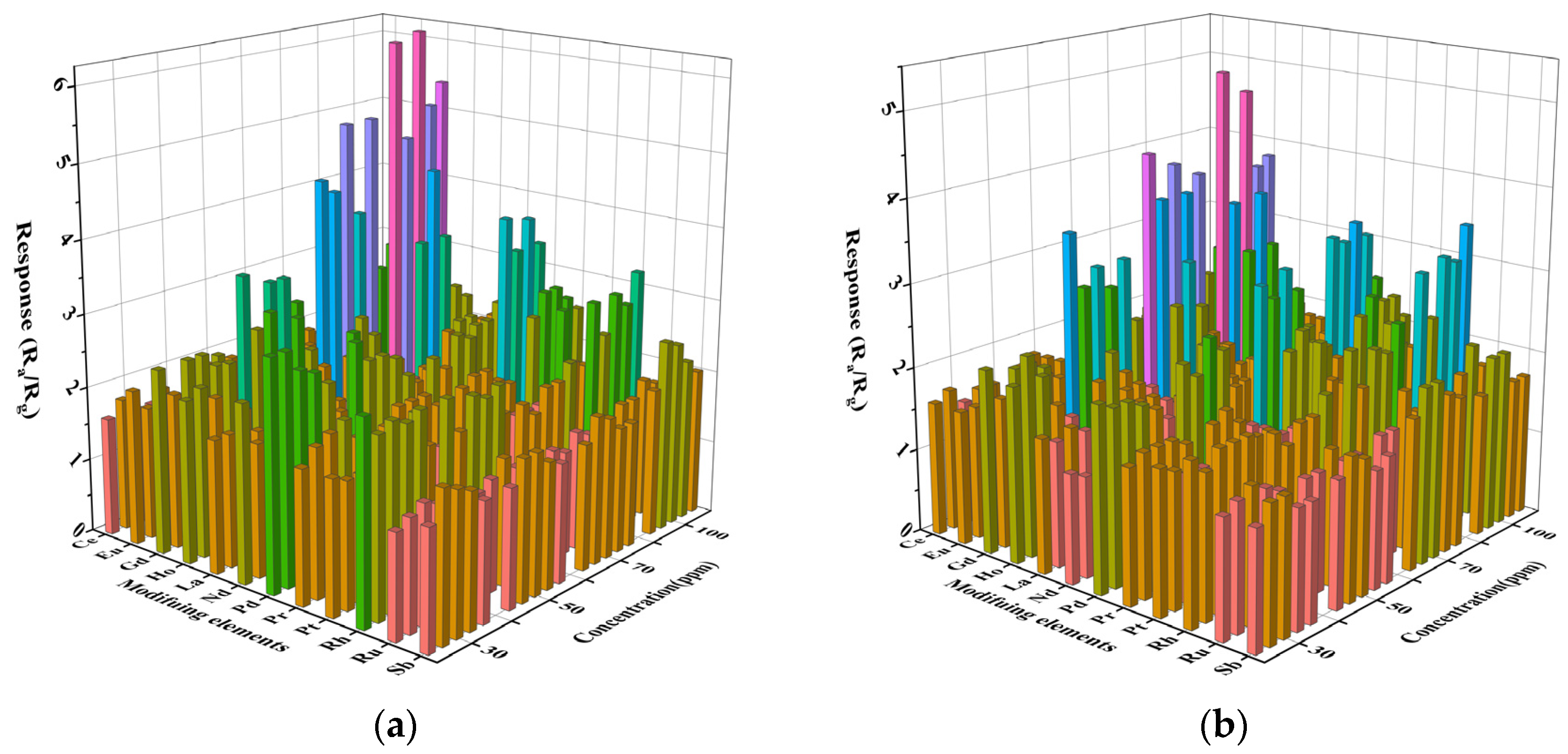
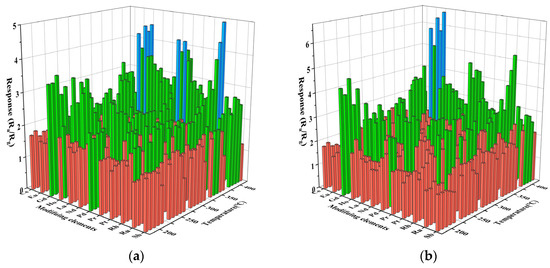
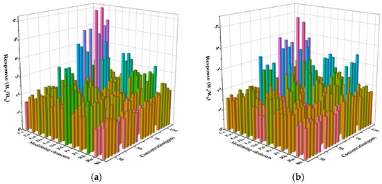
3.2. Gas-Sensitive Characteristics
3.3. Explanation of the Gas-Sensitive Mechanism
4. Conclusions
Author Contributions
Funding
Institutional Review Board Statement
Informed Consent Statement
Data Availability Statement
Conflicts of Interest
References
- Energy Information Administration. Use of Gasoline—Energy Explained, Your Guide to Understanding Energy-Energy Information. Administration. Energy Information Administration. 2022. Available online: https://www.eia.gov/energyexplained/oil-and-petroleum-products/use-of-oil.php (accessed on 4 October 2022).
- Davison, J.; Rose, R.A.; Farren, N.J.; Wagner, R.L.; Wilde, S.E.; Wareham, J.V.; Carslaw, D.C. Gasoline and diesel passenger car emissions deterioration using on-road emission measurements and measured mileage. Atmos. Environ. 2022, 14, 100162. [Google Scholar] [CrossRef]
- Wilson, N.; Horrocks, J. Lessons from the removal of lead from gasoline for controlling other environmental pollutants: A case study from New Zealand. Environ. Health 2008, 7, 1. [Google Scholar] [CrossRef] [PubMed]
- Wang, Z.; Liu, P.; Li, H.; Li, R.; Pan, X.; Zhao, Y. The Development of Diesel Particulate Filter Technology. IOP Conf. Ser. Earth Environ. Sci. 2021, 632, 032012. [Google Scholar] [CrossRef]
- Lu, X.; Lu, W. Pre-alarm model of diesel vapour detection and alarm based on grey forecasting. Measurement 2012, 45, 656–662. [Google Scholar] [CrossRef]
- Xu, K.; Gao, J.; Chen, P.; Zhan, C.; Yang, Y.; Wang, Z.; Yang, Y.; Yang, L.; Yuan, C. Interface engineering of Fe2O3@Co3O4 nanocubes for enhanced triethylamine sensing performance. Ind. Eng. Chem. Res. 2022, 61, 8057–8068. [Google Scholar] [CrossRef]
- Qin, Z.; Xu, K.; Yue, H.; Wang, H.; Zhang, J.; Ouyang, C.; Xie, C.; Zeng, D. Enhanced room-temperature NH3 gas sensing by 2D SnS2 with sulfur vacancies synthesized by chemical exfoliation. Sens. Actuators B Chem. 2018, 262, 771–779. [Google Scholar] [CrossRef]
- Son, D.N.; Hung, C.M.; Le, D.T.T.; Xuan, C.T.; Van Duy, N.; Dich, N.Q.; Nguyen, H.; Van Hieu, N.; Hoa, N.D. A novel design and fabrication of self-heated In2O3 nanowire gas sensor on glass for ethanol detection. Sens. Actuator A Phys. 2022, 345, 113769. [Google Scholar] [CrossRef]
- Shah, S.; Han, S.; Hussain, S.; Liu, G.; Shi, T.; Shaheen, A.; Xu, Z.; Wang, M.; Qiao, G. NO2 gas sensing responses of In2O3 nanoparticles decorated on GO nanosheets. Ceram. Int. 2022, 48, 12291–12298. [Google Scholar] [CrossRef]
- Zhang, D.; Yang, Z.; Li, P.; Zhou, X. Ozone gas sensing properties of metal-organic frameworks-derived In2O3 hollow microtubes decorated with ZnO nanoparticles. Sens. Actuators B Chem. 2019, 301, 127081. [Google Scholar] [CrossRef]
- Liu, G.; Zhao, Z.; Jiao, X.; Chen, D. Preparation of porous SnO2 thin film with high gasoline sensing performance. Mater. Technol. 2014, 29, 167–171. [Google Scholar] [CrossRef]
- Moon, Y.K.; Shin, M.S.; Jo, Y.M.; Lim, K.; Lee, J.H. Discrimination of Gasoline and Diesel Fuels Using Oxide Semiconductor Gas Sensors. J. Sens. Sci. Technol. 2018, 27, 221–226. [Google Scholar] [CrossRef]
- Bai, J.; Kong, Y.; Liu, Z.; Yang, H.; Li, M.; Xu, D.; Zhang, Q. Ag modified Tb-doped double-phase In2O3 for ultrasensitive hydrogen gas sensor. Appl. Surf. Sci. 2022, 583, 152521. [Google Scholar] [CrossRef]
- Liu, W.; Sun, J.; Xu, L.; Zhu, S.; Zhou, X.; Yang, S.; Dong, B.; Bai, X.; Lu, G.; Song, H. Understanding the noble metal modifying effect on In2O3 nanowires: Highly sensitive and selective gas sensors for potential early screening of multiple diseases. Nanoscale Horiz. 2019, 4, 1361–1371. [Google Scholar] [CrossRef]
- Huang, B.; Wang, Y.; Hu, Q.; Mu, X.; Zhang, Y.; Bai, J.; Wang, Q.; Sheng, Y.; Zhang, Z.; Xie, E. A low temperature and highly sensitive ethanol sensor based on Au modified In2O3 nanofibers by coaxial electrospinning. J. Mater. Chem. C 2018, 6, 10935–10943. [Google Scholar] [CrossRef]
- Wang, J.; Gao, S.; Zhang, C.; Zhang, Q.; Li, Z.; Zhang, S. A high throughput platform screening of ppb-level sensitive materials for hazardous gases. Sens. Actuators B Chem. 2018, 276, 189–203. [Google Scholar] [CrossRef]
- Sanders, D.; Simon, U. High-throughput gas sensing screening of surface-doped In2O3. J. Comb. Chem. 2007, 9, 53–61. [Google Scholar] [CrossRef]
- Li, D.; Lei, T.; Zhang, S.; Shao, X.; Xie, C. A novel headspace integrated E-nose and its application in discrimination of Chinese medical herbs. Sens. Actuators B Chem. 2015, 221, 556–563. [Google Scholar] [CrossRef]
- Zhou, X.; Feng, W.; Wang, C.; Hu, X.; Li, X.; Sun, P.; Shimanoe, K.; Yamazoe, N.; Lu, G. Porous ZnO/ZnCo2O4 hollow spheres: Synthesis, characterization, and applications in gas sensing. J. Mater. Chem. A 2014, 2, 17683–17690. [Google Scholar] [CrossRef]
- Liu, C.; Shan, H.; Liu, L.; Li, S.; Li, H. High sensing properties of Ce-doped α-Fe2O3 nanotubes to acetone. Ceram. Int. 2014, 40, 2395–2399. [Google Scholar] [CrossRef]
- Zhao, S.; Shen, Y.; Zhou, P.; Hao, F.; Xu, X.; Gao, S.; Wei, D.; Ao, Y.; Shen, Y. Enhanced NO2 sensing performance of ZnO nanowires functionalized with ultra-fine In2O3 nanoparticles. Sens. Actuators B Chem. 2020, 308, 127729. [Google Scholar] [CrossRef]
- Wang, X.; Su, J.; Chen, H.; Li, G.-D.; Shi, Z.; Zou, H.; Zou, X. Ultrathin In2O3 nanosheets with uniform mesopores for highly sensitive nitric oxide detection. ACS Appl. Mater. Interfaces 2017, 9, 16335–16342. [Google Scholar] [CrossRef] [PubMed]
- Han, D.; Zhai, L.; Gu, F.; Wang, Z. Highly sensitive NO2 gas sensor of ppb-level detection based on In2O3 nanobricks at low temperature. Sens. Actuators B Chem. 2018, 262, 655–663. [Google Scholar] [CrossRef]
- Yang, Q.; Wang, Y.; Liu, J.; Liu, J.; Gao, Y.; Sun, P.; Zheng, J.; Zhang, T.; Wang, Y.; Lu, G. Enhanced sensing response towards NO2 based on ordered mesoporous Zr-doped In2O3 with low operating temperature. Sens. Actuators B Chem. 2017, 241, 806–813. [Google Scholar] [CrossRef]
- Kolmakov, A.; Klenov, D.O.; Lilach, Y.; Stemmer, S.; Moskovits, M. Enhanced Gas Sensing by Individual SnO2 Nanowires and NanobeltsFunctionalized with Pd Catalyst Particles. Nano Lett. 2005, 5, 667–673. [Google Scholar] [CrossRef]
- Cabot, A.; Arbiol, J.; Morante, J.; Weimar, U.; Bârsan, N.; Göpel, W. Analysis of the noble metal catalytic additives introduced by impregnation of as obtained SnO2 sol–gel nanocrystals for gas sensors. Sens. Actuators B Chem. 2000, 70, 87–100. [Google Scholar] [CrossRef]









| Modifying Elements | Additive | Surface Mole Ratio (%) |
|---|---|---|
| Ce | CeCl3·7H2O | 0.1, 0.2, 0.3, 0.4, 0.5 |
| Eu | EuCl3·6H2O | |
| Gd | Gd(NO3)3 | |
| Ho | HoCl3·6H2O | |
| La | LaCl3·6H2O | |
| Nd | Nd(NO3)3·6H2O | |
| Pd | PdCl2 | |
| Pr | Pr(NO3)3 | |
| Pt | H2PtCl6·6H2O | |
| Rh | RhCl3·3H2O | |
| Ru | RuCl3·3H2O | |
| Sb | SbCl3 |
| Sensing Materials | Gas of Test | T (°C) | C (ppm) | Response | τres/τrec (s) | Refs. |
|---|---|---|---|---|---|---|
| Pt-SnO2 | Diesel | 250 | Volatile gas | 2.85 | 314/309 | [12] |
| Mg-In2O3 | Diesel | 225 | Volatile gas | 2.07 | 299/663 | [12] |
| Pt-ZnO | Diesel | 250 | Volatile gas | 2.59 | 335/698 | [12] |
| SnO2 nanomaterials | Gasoline | 300 | 200 | 6.1 | - | [11] |
| Gd0.5In | Diesel | 250 | 100 | 5 | 184.6/196.6 | This work |
| Gd0.5In | Gasoline | 250 | 100 | 6.1 | 180.4/195.8 |
Disclaimer/Publisher’s Note: The statements, opinions and data contained in all publications are solely those of the individual author(s) and contributor(s) and not of MDPI and/or the editor(s). MDPI and/or the editor(s) disclaim responsibility for any injury to people or property resulting from any ideas, methods, instructions or products referred to in the content. |
© 2023 by the authors. Licensee MDPI, Basel, Switzerland. This article is an open access article distributed under the terms and conditions of the Creative Commons Attribution (CC BY) license (https://creativecommons.org/licenses/by/4.0/).
Share and Cite
Zhang, D.; Guo, S.; Gao, J.; Yang, L.; Zhu, Y.; Ma, Y.; Hou, M. Surface-Modified In2O3 for High-Throughput Screening of Volatile Gas Sensors in Diesel and Gasoline. Materials 2023, 16, 1517. https://doi.org/10.3390/ma16041517
Zhang D, Guo S, Gao J, Yang L, Zhu Y, Ma Y, Hou M. Surface-Modified In2O3 for High-Throughput Screening of Volatile Gas Sensors in Diesel and Gasoline. Materials. 2023; 16(4):1517. https://doi.org/10.3390/ma16041517
Chicago/Turabian StyleZhang, Deqi, Shenghui Guo, Jiyun Gao, Li Yang, Ye Zhu, Yanjia Ma, and Ming Hou. 2023. "Surface-Modified In2O3 for High-Throughput Screening of Volatile Gas Sensors in Diesel and Gasoline" Materials 16, no. 4: 1517. https://doi.org/10.3390/ma16041517
APA StyleZhang, D., Guo, S., Gao, J., Yang, L., Zhu, Y., Ma, Y., & Hou, M. (2023). Surface-Modified In2O3 for High-Throughput Screening of Volatile Gas Sensors in Diesel and Gasoline. Materials, 16(4), 1517. https://doi.org/10.3390/ma16041517
