Compressive Properties and Energy Absorption Behavior of 316L Steel Foam Prepared by Space Holder Technique
Abstract
1. Introduction
2. Materials and Methods
2.1. Raw Materials
2.2. Preparation Process
2.3. Microstructure Characterization and Mechanical Property Characterization
3. Results and Discussion
3.1. Macrostructure and Microstructure
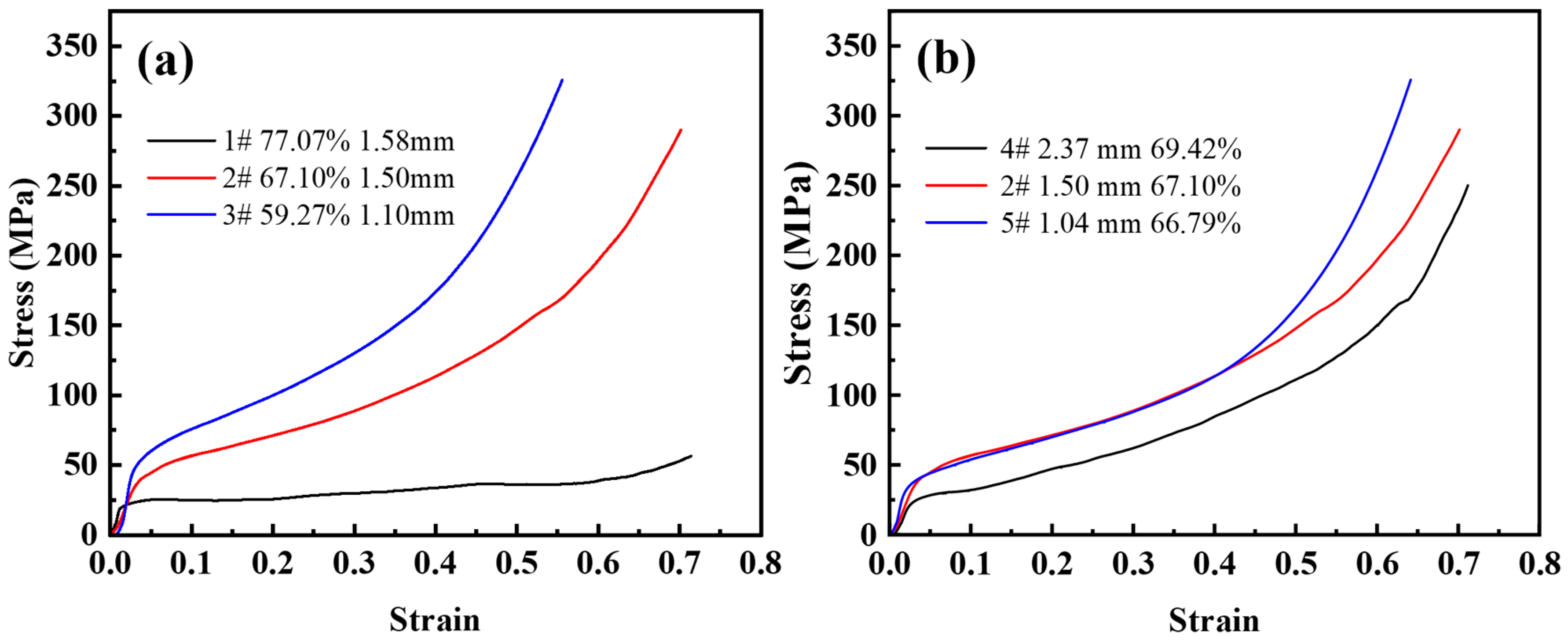
3.2. Compression Mechanical Properties
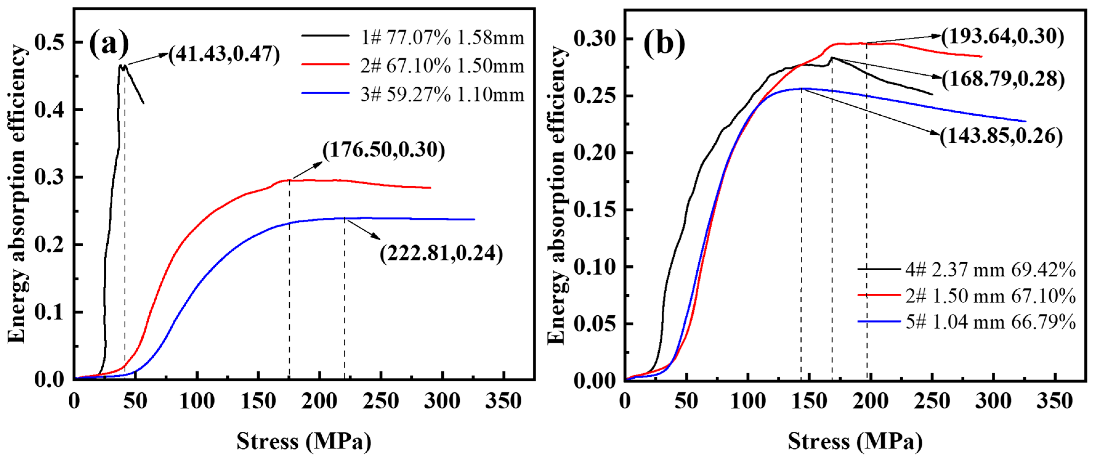
3.3. Energy Absorption Characteristics
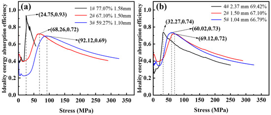
3.4. Energy Absorption Efficiency
4. Conclusions
- The actual porosity of the steel foam is lower than the target porosity under the condition of vacuum sintering at 1200 °C for 2 h, and the pore size is lower than the size of urea.
- Porosity has a significant effect on the compressive deformation behavior of the steel foam prepared by powder metallurgy. A larger pore size leads to an increase in porosity and a decrease in its mechanical properties.
- In the plastic deformation zone of the steel foams, the strain hardening effect is significant, the plastic modulus is more sensitive to the variation of porosity, and the variation of pore size has little impact on it.
- The increase in porosity increases the energy absorption per volume, energy absorption efficiency, and ideal energy absorption efficiency. The effect of the change of pore size on the energy absorption efficiency and ideal energy absorption efficiency is not particularly significant.
Author Contributions
Funding
Institutional Review Board Statement
Informed Consent Statement
Data Availability Statement
Conflicts of Interest
References
- Xu, X.B.; Liu, P.S.; Chen, G.F.; Li, C.P. Sound Absorption Performance of Highly Porous Stainless Steel Foam with Reticular Structure. Met. Mater. Int. 2021, 27, 3316–3324. [Google Scholar] [CrossRef]
- Mutlu, I.; Oktay, E. Influence of Fluoride Content of Artificial Saliva on Metal Release from 17-4 PH Stainless Steel Foam for Dental Implant Applications. J. Mater. Sci. Technol. 2013, 29, 582–588. [Google Scholar] [CrossRef]
- Smith, B.; Szyniszewski, S.; Hajjar, J.; Schafer, B.; Arwade, S. Steel foam for structures: A review of applications, manufacturing and material properties. J. Constr. Steel Res. 2012, 71, 1–10. [Google Scholar] [CrossRef]
- Mapelli, C.; Mombelli, D.; Gruttadauria, A.; Barella, S.; Castrodeza, E. Performance of stainless steel foams produced by infiltration casting techniques. J. Mater. Process. Technol. 2013, 213, 1846–1854. [Google Scholar] [CrossRef]
- Zhou, X.-Y.; Li, J.; Long, B.; Huo, D.-W. The oxidation resistance performance of stainless steel foam with 3D open-celled network structure at high temperature. Mater. Sci. Eng. A 2006, 435–436, 40–45. [Google Scholar] [CrossRef]
- Kaya, A.C. In situ shear behavior of open-cell austenitic 316L steel foams. Mater. Chem. Phys. 2020, 252, 123303. [Google Scholar] [CrossRef]
- Hsu, C.-M.; Tzeng, Y.-C.; Chen, S.-F.; Chen, Y.-L.; Lee, H.-L. Fabrication of 17-4PH Stainless Steel Foam by a Pressureless Powder Space Holder Technique. Adv. Eng. Mater. 2021, 23, 2001202. [Google Scholar] [CrossRef]
- Frömert, J.; Lott, T.G.; Matz, A.M.; Jost, N. Investment Casting and Mechanical Properties of Open-Cell Steel Foams. Adv. Eng. Mater. 2019, 21, 1900396. [Google Scholar] [CrossRef]
- Szyniszewski, S.; Smith, B.; Hajjar, J.; Schafer, B.; Arwade, S. The mechanical properties and modeling of a sintered hollow sphere steel foam. Mater. Des. 2014, 54, 1083–1094. [Google Scholar] [CrossRef]
- Szyniszewski, S.; Smith, B.; Hajjar, J.; Arwade, S.; Schafer, B. Local buckling strength of steel foam sandwich panels. Thin-Walled Struct. 2012, 59, 11–19. [Google Scholar] [CrossRef]
- Kumar, R.M.; Golla, B.R. Effect of Space Holder on Porosity, Structure and Mechanical Properties of Al Processed via Powder Metallurgy. Trans. Indian Inst. Met. 2021, 74, 2379–2386. [Google Scholar] [CrossRef]
- Sun, Y.; Zhou, Y.; Wang, T.; Guo, C.; Zhou, P.; Zuo, X. Preparation process, compression and energy absorption properties of steel foams. Mater. Sci. Technol. 2019, 27, 44–51. [Google Scholar] [CrossRef]
- Mondal, D.; Jain, H.; Das, S.; Jha, A. Stainless steel foams made through powder metallurgy route using NH4HCO3 as space holder. Mater. Des. 2015, 88, 430–437. [Google Scholar] [CrossRef]
- Aida, S.; Hijrah, M.; Amirah, A.; Zuhailawati, H.; Anasyida, A. Effect of NaCl as a Space Holder in Producing Open Cell A356 Aluminium Foam by Gravity Die Casting Process. Procedia Chem. 2016, 19, 234–240. [Google Scholar] [CrossRef]
- Mansourighasri, A.; Muhamad, N.; Sulong, A. Processing titanium foams using tapioca starch as a space holder. J. Mater. Process. Technol. 2012, 212, 83–89. [Google Scholar] [CrossRef]
- Sun, L.; Wang, Y.; Wang, L.; Wang, F.; Xu, H.; Huang, W.; You, X. Preparation and properties of controllable aluminum foam. Mater. Res. Express 2021, 8, 026526. [Google Scholar] [CrossRef]
- Jain, H.; Mondal, D.; Gupta, G.; Kumar, R. Effect of compressive strain rate on the deformation behaviour of austenitic stainless steel foam produced by space holder technique. Mater. Chem. Phys. 2021, 259, 124010. [Google Scholar] [CrossRef]
- Jain, H.; Gupta, G.; Mondal, D.; Srivastava, A.; Pandey, A.; Srivastava, S.K.; Kumar, R. Effect of particle shape on microstructure and compressive response of 316L SS foam by space holder technique. Mater. Chem. Phys. 2021, 271, 124924. [Google Scholar] [CrossRef]
- Jain, H.; Mondal, D.; Gupta, G.; Kumar, R.; Singh, S. Synthesis and characterization of 316 L stainless steel foam made through two different removal process of space holder method. Manuf. Lett. 2020, 26, 33–36. [Google Scholar] [CrossRef]
- Jain, H.; Gupta, G.; Kumar, R.; Mondal, D.P. Microstructure and compressive deformation behavior of SS foam made through evaporation of urea as space holder. Mater. Chem. Phys. 2019, 223, 737–744. [Google Scholar] [CrossRef]
- Sazegaran, H. Investigation on Production Parameters of Steel Foam Manufactured Through Powder Metallurgical Space Holder Technique. Met. Mater. Int. 2021, 27, 3371–3384. [Google Scholar] [CrossRef]
- Bekoz, N.; Oktay, E. Mechanical properties of low alloy steel foams: Dependency on porosity and pore size. Mater. Sci. Eng. A 2013, 576, 82–90. [Google Scholar] [CrossRef]
- Cheng, Y.; Li, Y.; Chen, X.; Zhou, X.; Wang, N. Compressive Properties and Energy Absorption of Aluminum Foams with a Wide Range of Relative Densities. J. Mater. Eng. Perform. 2018, 27, 4016–4024. [Google Scholar] [CrossRef]
- Alizadeh, M.; Mirzaei, M. Compressive properties and energy absorption behavior of Al–Al2O3 composite foam synthesized by space-holder technique. Mater. Des. 2012, 35, 419–424. [Google Scholar] [CrossRef]
- Michailidis, N.; Stergioudi, F.; Tsouknidas, A. Deformation and energy absorption properties of powder-metallurgy produced Al foams. Mater. Sci. Eng. A 2011, 528, 7222–7227. [Google Scholar] [CrossRef]
- Xiao, J.; Yang, Y.; Qiu, G.-B.; Liao, Y.-L.; Cui, H.; Lü, X.-W. Volume change of macropores of titanium foams during sintering. Trans. Nonferrous Met. Soc. China 2015, 25, 3834–3839. [Google Scholar] [CrossRef]
- Ruan, W.; Li, L.; Ngai, T.; Zhang, W.; Huang, C. Effect of carbamide content on porosity and mechanical properties of stainless steel foam. Trans. Mater. Heat Treat. 2020, 41, 87–97. [Google Scholar] [CrossRef]
- Xiao, J.; Qui, G.; Liao, Y.; Bai, C. Microstructure and mechanical properties of titanium foamsprepared with carbamide as space holder. Rare Met. Mater. Eng. 2015, 44, 6. [Google Scholar]
- Esen, Z.; Bor, Ş. Processing of titanium foams using magnesium spacer particles. Scr. Mater. 2007, 56, 341–344. [Google Scholar] [CrossRef]
- Niu, W.; Bai, C.; Qiu, G.; Wang, Q. Processing and properties of porous titanium using space holder technique. Mater. Sci. Eng. A 2009, 506, 148–151. [Google Scholar] [CrossRef]
- Ye, B.; Dunand, D.C. Titanium foams produced by solid-state replication of NaCl powders. Mater. Sci. Eng. A 2010, 528, 691–697. [Google Scholar] [CrossRef]
- Feng, Z.; Wei, Z.; Su, X.; Gao, Q.; Xu, G.; Huang, P.; Wang, W.; Zu, G.; Mu, Y. Foamability and mechanical properties of in situ submicron MgAl2O4p/Al composite foams by ultrasonic method. Mater. Lett. 2022, 326, 132968. [Google Scholar] [CrossRef]
- Mutlu, I.; Oktay, E. Production and aging of highly porous 17-4 PH stainless steel. J. Porous Mater. 2012, 19, 433–440. [Google Scholar] [CrossRef]
- Joshi, S.; Gupta, G.K.; Sharma, M.; Telang, A.; Mahra, T. Synthesis and Characterization of Stainless Steel Foam Via Powder Metallurgy Taking Acicular Urea As Space Holder. Mater. Sci. Res. India 2015, 12, 43–49. [Google Scholar] [CrossRef]
- Miltz, J.; Gruenbaum, G. Evaluation of cushioning properties of plastic foams from compressive measurements. Polym. Eng. Sci. 1981, 21, 1010–1014. [Google Scholar] [CrossRef]
- Kaya, A.C.; Zaslansky, P.; Ipekoglu, M.; Fleck, C. Strain hardening reduces energy absorption efficiency of austenitic stainless steel foams while porosity does not. Mater. Des. 2018, 143, 297–308. [Google Scholar] [CrossRef]










| Sample Number | Target Porosity (%) | Space Holder Size (mm) | Actual Density (g/cm3) | Relative Density | Actual Porosity (%) | Average Pore Size (mm) | Average Pore Roundness |
|---|---|---|---|---|---|---|---|
| 1# | 80 | 1.6~2.5 | 1.83 ± 0.01 | 0.23 ± 0.01 | 77.07 ± 0.01 | 1.58 ± 0.26 | 1.35 ± 0.06 |
| 2# | 70 | 1.6~2.5 | 2.63 ± 0.01 | 0.33 ± 0.01 | 67.10 ± 0.01 | 1.50 ± 0.32 | 1.25 ± 0.07 |
| 3# | 60 | 1.6~2.5 | 3.25 ± 0.01 | 0.41 ± 0.01 | 59.27 ± 0.01 | 1.10 ± 0.24 | 1.25 ± 0.04 |
| 4# | 70 | 2.5~4.5 | 2.44 ± 0.01 | 0.31 ± 0.01 | 69.42 ± 0.01 | 2.37 ± 0.48 | 1.52 ± 0.05 |
| 5# | 70 | 0.9~1.6 | 2.65 ± 0.01 | 0.33 ± 0.01 | 66.79 ± 0.01 | 1.04 ± 0.20 | 1.27 ± 0.05 |
| Sample | Yield Strength (MPa) | Elastic Modulus (GPa) | Plastic Modulus (MPa) | Densification Strain |
|---|---|---|---|---|
| 1# | 25.25 ± 0.37 | 2.54 ± 0.55 | 29.62 ± 0.25 | 0.65 ± 0.03 |
| 2# | 45.21 ± 0.32 | 1.97 ± 0.51 | 151.31 ± 0.24 | 0.54 ± 0.03 |
| 3# | 60.14 ± 0.30 | 3.48 ± 0.49 | 281.54 ± 0.27 | 0.43 ± 0.03 |
| 4# | 28.39 ± 0.36 | 1.49 ± 0.54 | 152.01 ± 0.30 | 0.60 ± 0.03 |
| 5# | 44.04 ± 0.29 | 2.83 ± 0.47 | 172.68 ± 0.19 | 0.52 ± 0.03 |
| Metal Matrix | Porosity (%) | Pore Size (mm) | Yield Stress (MPa) | Densification Strain | Ref |
|---|---|---|---|---|---|
| Fe-0.6C-2P | 75–80 | 1.2–1.6 | 15–45 | [21] | |
| 316L | 56–81 | 1.57–1.89 | 5.4–45.3 | 0.32–0.43 | [20] |
| 316L | 54–80 | 1.65–1.95 | 5.95–30.73 | 0.38–0.62 | [18] |
| 316-L45 | 37.58–61.84 | 2 | 50–90 | [34] | |
| 17-4 PH | 40–80 | 0.45–0.92 | 50–80 | [2] | |
| Fe–1.75Ni–1.5Cu–0.5Mo–0.6C | 47.8–70.9 | 0.38–0.10 | 17–116 | [22] | |
| 17-4 PH | 40–80 | 0.45–0.92 | 60–290 | [33] | |
| 316L | 59.27–77.07 | 1.04–2.37 | 25.25–60.14 | 0.43–0.65 | This paper |
Disclaimer/Publisher’s Note: The statements, opinions and data contained in all publications are solely those of the individual author(s) and contributor(s) and not of MDPI and/or the editor(s). MDPI and/or the editor(s) disclaim responsibility for any injury to people or property resulting from any ideas, methods, instructions or products referred to in the content. |
© 2023 by the authors. Licensee MDPI, Basel, Switzerland. This article is an open access article distributed under the terms and conditions of the Creative Commons Attribution (CC BY) license (https://creativecommons.org/licenses/by/4.0/).
Share and Cite
Hu, G.; Xu, G.; Gao, Q.; Feng, Z.; Huang, P.; Zu, G. Compressive Properties and Energy Absorption Behavior of 316L Steel Foam Prepared by Space Holder Technique. Materials 2023, 16, 1419. https://doi.org/10.3390/ma16041419
Hu G, Xu G, Gao Q, Feng Z, Huang P, Zu G. Compressive Properties and Energy Absorption Behavior of 316L Steel Foam Prepared by Space Holder Technique. Materials. 2023; 16(4):1419. https://doi.org/10.3390/ma16041419
Chicago/Turabian StyleHu, Guangyu, Guili Xu, Qiang Gao, Zhanhao Feng, Peng Huang, and Guoyin Zu. 2023. "Compressive Properties and Energy Absorption Behavior of 316L Steel Foam Prepared by Space Holder Technique" Materials 16, no. 4: 1419. https://doi.org/10.3390/ma16041419
APA StyleHu, G., Xu, G., Gao, Q., Feng, Z., Huang, P., & Zu, G. (2023). Compressive Properties and Energy Absorption Behavior of 316L Steel Foam Prepared by Space Holder Technique. Materials, 16(4), 1419. https://doi.org/10.3390/ma16041419

