The Use of Expanded Polystyrene and Olive Stones in the Manufacture of Lightweight Bricks: Evaluation of Their Properties and Durability
Abstract
:1. Introduction
2. Materials and Methods
2.1. Making the Brick Samples
2.2. Analytical Techniques
2.2.1. Chemical Properties, Mineralogy and Texture
2.2.2. Study of the Porous System
2.2.3. Compactness, Colour and Thermal Conductivity
2.2.4. Durability by Salt Crystallisation
3. Results
3.1. Chemical Properties, Mineralogy and Texture
3.2. Study of the Porous System
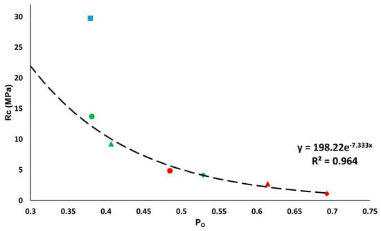
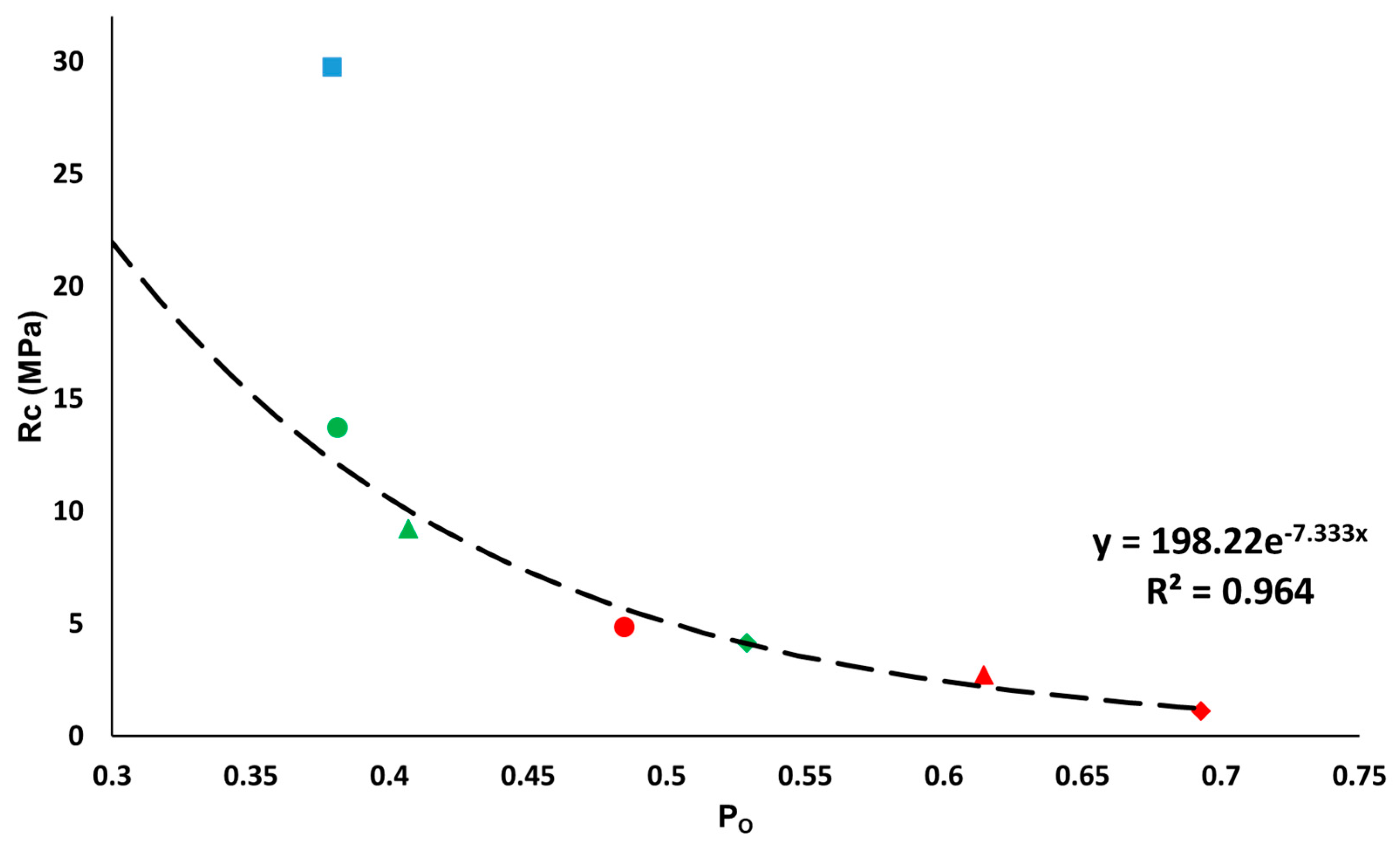
3.3. Compactness, Colour and Thermal Conductivity
3.4. Durability by Salt Crystallisation
4. Conclusions
Author Contributions
Funding
Institutional Review Board Statement
Informed Consent Statement
Data Availability Statement
Acknowledgments
Conflicts of Interest
References
- Al-Fakih, A.; Mohammed, B.S.; Liew, M.S.; Nikbakht, E. Incorporation of Waste Materials in the Manufacture of Masonry Bricks: An Update Review. J. Build. Eng. 2019, 21, 37–54. [Google Scholar] [CrossRef]
- Murmu, A.L.; Patel, A. Towards Sustainable Bricks Production: An Overview. Constr. Build. Mater. 2018, 165, 112–125. [Google Scholar] [CrossRef]
- Zhang, L. Production of Bricks from Waste Materials—A Review. Constr. Build. Mater. 2013, 47, 643–655. [Google Scholar] [CrossRef]
- Sutcu, M.; Alptekin, H.; Erdogmus, E.; Er, Y.; Gencel, O. Characteristics of Fired Clay Bricks with Waste Marble Powder Addition as Building Materials. Constr. Build. Mater. 2015, 82, 1–8. [Google Scholar] [CrossRef]
- Yang, C.; Cui, C.; Qin, J.; Cui, X. Characteristics of the Fired Bricks with Low-Silicon Iron Tailings. Constr. Build. Mater. 2014, 70, 36–42. [Google Scholar] [CrossRef]
- Cultrone, G. The Use of Mount Etna Volcanic Ash in the Production of Bricks with Good Physical-Mechanical Performance: Converting a Problematic Waste Product into a Resource for the Construction Industry. Ceram. Int. 2022, 48, 5724–5736. [Google Scholar] [CrossRef]
- Hasan, R.; Siddika, A.; Akanda, P.A.; Islam, R. Effects of Waste Glass Addition on the Physical and Mechanical Properties of Brick. Innov. Infrastruct. Solut. 2020, 6, 36. [Google Scholar] [CrossRef]
- Görhan, G.; Şimşek, O. Porous Clay Bricks Manufactured with Rice Husks. Constr. Build. Mater. 2013, 40, 390–396. [Google Scholar] [CrossRef]
- Muñoz, P.; Letelier, V.; Zamora, D.; Morales, M.P. Feasibility of Using Paper Pulp Residues into Fired Clay Bricks. J. Clean. Prod. 2020, 262, 121464. [Google Scholar] [CrossRef]
- Anape Medio Ambiente. Available online: http://www.reciclado-eps.com/index.php (accessed on 22 September 2022).
- Xi, G.; Liang, R.; Tang, Q.; Li, J. Mechanism Studies on the Catalytic Degradation of Waste Polystyrene into Styrene in the Presence of Metal Powders. J. Appl. Polym. Sci. 1999, 73, 1139–1143. [Google Scholar] [CrossRef]
- EUMEPS Submitted Voluntary Pledge—EUMEPS. Available online: https://eumeps.org/news/eumeps-submitted-voluntary-pledge (accessed on 13 March 2022).
- Ali, Y.A.Y.; Fahmy, E.H.A.; AbouZeid, M.N.; Shaheen, Y.B.I.; Mooty, M.N.A. Use of Expanded Polystyrene in Developing Solid Brick Masonry Units. Constr. Build. Mater. 2020, 242, 118109. [Google Scholar] [CrossRef]
- Veyseh, S.; Yousefi, A.A. The Use Of Polystyrene In Lightweight Brick Production. Iran. Polym. J. 2003, 12, 323–329. [Google Scholar]
- Ramezani, A.; Nemat, S.; Emami, S.M. Effects of the Size of Expanded Polystyrene as a Pore-Former on the Properties of Insulating Firebricks. Ceram. Int. 2018, 44, 6641–6644. [Google Scholar] [CrossRef]
- Bernal, E.M.; Vlasova, M.; Márquez, A.A.P.; Kakazey, M.; Tapia, R.G. Synthesis and Properties of Porous Bricks Obtained with the Use of Spherical Expanded Polystyrene Particles of Packaging Material. Sci. Sinter. 2020, 52, 25–39. [Google Scholar] [CrossRef]
- La Rubia-García, M.D.; Yebra-Rodríguez, Á.; Eliche-Quesada, D.; Corpas-Iglesias, F.A.; López-Galindo, A. Assessment of Olive Mill Solid Residue (Pomace) as an Additive in Lightweight Brick Production. Constr. Build. Mater. 2012, 36, 495–500. [Google Scholar] [CrossRef]
- Pérez-Villarejo, L.; Eliche-Quesada, D.; Martín-Pascual, J.; Martín-Morales, M.; Zamorano, M. Comparative Study of the Use of Different Biomass from Olive Grove in the Manufacture of Sustainable Ceramic Lightweight Bricks. Constr. Build. Mater. 2020, 231, 117103. [Google Scholar] [CrossRef]
- Eliche-Quesada, D.; Iglesias-Godino, F.J.; Pérez-Villarejo, L.; Corpas-Iglesias, F.A. Replacement of the Mixing Fresh Water by Wastewater Olive Oil Extraction in the Extrusion of Ceramic Bricks. Constr. Build. Mater. 2014, 68, 659–666. [Google Scholar] [CrossRef]
- Aouba, L.; Bories, C.; Coutand, M.; Perrin, B.; Lemercier, H. Properties of Fired Clay Bricks with Incorporated Biomasses: Cases of Olive Stone Flour and Wheat Straw Residues. Constr. Build. Mater. 2016, 102, 7–13. [Google Scholar] [CrossRef]
- Arezki, S.; Chelouah, N.; Tahakourt, A. The Effect of the Addition of Ground Olive Stones on the Physical and Mechanical Properties of Clay Bricks. Mater. Constr. 2016, 66, e082. [Google Scholar] [CrossRef]
- El Boukili, G.; Ouakarrouch, M.; Lechheb, M.; Kifani-Sahban, F.; Khaldoune, A. Recycling of Olive Pomace Bottom Ash (by-Product of the Clay Brick Industry) for Manufacturing Sustainable Fired Clay Bricks. Silicon 2021, 14, 4849–4863. [Google Scholar] [CrossRef]
- Eliche-Quesada, D.; Leite-Costa, J. Use of Bottom Ash from Olive Pomace Combustion in the Production of Eco-Friendly Fired Clay Bricks. Waste Manag. 2016, 48, 323–333. [Google Scholar] [CrossRef] [PubMed]
- Evaluación de la Producción Y Usos de Los Subproductos de las Agroindustrias del Olivar en Andalucía. Observatorio de Precios Y Mercados. Consejería de Agricultura, Pesca Y Desarrollo Rural. Junta de Andalucía. Available online: https://www.juntadeandalucia.es/agriculturaypesca/observatorio/servlet/FrontController?action=RecordContent&table=11031&element=1585171& (accessed on 18 September 2022).
- Braga, J.C.; Martín, J.M.; Quesada, C. Patterns and Average Rates of Late Neogene–Recent Uplift of the Betic Cordillera, SE Spain. Geomorphology 2003, 50, 3–26. [Google Scholar] [CrossRef]
- Braga, J.C.; Martin, J.M.; Alcala, B. Coral Reefs in Coarse-Terrigenous Sedimentary Environments (Upper Tortonian, Granada Basin, Southern Spain). Sediment. Geol. 1990, 66, 135–150. [Google Scholar] [CrossRef]
- Dabrio, C.J.; Fernández Martínez, J.; Dabrio, C.J.; Fernández Martínez, J. Depósitos de ríos trenzados conglomeráticos Plio-Pleistocénicos de la Depresión de Granada. Cuad. Geol. Ibérica 1986, 10, 31–53. [Google Scholar]
- Knapek, M.; Húlan, T.; Minárik, P.; Dobroň, P.; Štubňa, I.; Stráská, J.; Chmelík, F. Study of Microcracking in Illite-Based Ceramics during Firing. J. Eur. Ceram. Soc. 2016, 36, 221–226. [Google Scholar] [CrossRef]
- Cultrone, G.; Rodriguez-Navarro, C.; Sebastian, E.; Cazalla, O.; De La Torre, M.J. Carbonate and Silicate Phase Reactions during Ceramic Firing. Eur. J. Mineral. 2001, 13, 621–634. [Google Scholar] [CrossRef]
- UNE-EN 13755; Métodos de Ensayo Para Piedra Natural. Determinación de La Absorción de Agua a Presión Atmosférica. AENOR: Madrid, Spain, 2008.
- NORMAL 29/88; Misura Dell’indice Di Asciugamento (Drying Index). ICR-CNR: Roma, Italy, 1988.
- RILEM. Recommended Test to Measure the Deterioration of Stone and to Assess the Differences of Treatment Methods. Mater. Struct. 1980, 13, 175–253. [Google Scholar]
- UNE-EN 772-4; Métodos de Ensayo de Piezas Para Fábrica de Albañilería. Parte 4: Determinación de La Densidad Real y Aparente y de La Porosidad Abierta y Total de Piezas de Piedra Natural Para Fábrica de Albañilería. AENOR: Madrid, Spain, 1999.
- Cultrone, G.; Sebastián, E.; Elert, K.; de la Torre, M.J.; Cazalla, O.; Rodriguez–Navarro, C. Influence of Mineralogy and Firing Temperature on the Porosity of Bricks. J. Eur. Ceram. Soc. 2004, 24, 547–564. [Google Scholar] [CrossRef]
- ASTM D2845-08; Standard Test Method for Laboratory Determination of Pulse Velocities and Ultrasonic Elastic Constant of Rock. ASTM: West Conshohocken, PA, USA, 2008.
- UNE-EN 1926; Métodos de Ensayo Para La Piedra Natural. Determinación de La Resistencia a La Compresión Uniaxial. AENOR: Madrid, Spain, 2007.
- UNE-EN 12878; Pigmentos Para La Coloración de Materiales de Construcción Fabricados a Partir de Cemento y/o Cal. Especificaciones y Métodos de Ensayo. AENOR: Madrid, Spain, 2014.
- UNE-EN 12370; Métodos de Ensayo Para Piedra Natural. Determinación de La Resistencia a La Cristalización de Las Sales. AENOR: Madrid, Spain, 1999.
- Saenz, N.; Sebastián, E.; Cultrone, G. Analysis of Tempered Bricks: From Raw Material and Additives to Fired Bricks for Use in Construction and Heritage Conservation. Eur. J. Mineral. 2019, 31, 301–312. [Google Scholar] [CrossRef]
- Warr, L.N. IMA–CNMNC Approved Mineral Symbols. Mineral. Mag. 2021, 85, 291–320. [Google Scholar] [CrossRef]
- Nodari, L.; Marcuz, E.; Maritan, L.; Mazzoli, C.; Russo, U. Hematite Nucleation and Growth in the Firing of Carbonate-Rich Clay for Pottery Production. J. Eur. Ceram. Soc. 2007, 27, 4665–4673. [Google Scholar] [CrossRef]
- Cultrone, G.; Carrillo Rosua, F.J. Growth of Metastable Phases during Brick Firing: Mineralogical and Microtextural Changes Induced by the Composition of the Raw Material and the Presence of Additives. Appl. Clay Sci. 2020, 185, 105419. [Google Scholar] [CrossRef]
- Maritan, L.; Nodari, L.; Mazzoli, C.; Milano, A.; Russo, U. Influence of Firing Conditions on Ceramic Products: Experimental Study on Clay Rich in Organic Matter. Appl. Clay Sci. 2006, 31, 1–15. [Google Scholar] [CrossRef]
- Rodriguez-Navarro, C.; Kudlacz, K.; Ruiz-Agudo, E. The Mechanism of Thermal Decomposition of Dolomite: New Insights from 2D-XRD and TEM Analyses. Am. Mineral. 2012, 97, 38–51. [Google Scholar] [CrossRef]
- Cultrone, G. Estudio Mineralógico-Petrográfico Y Físico-Mecánico de Ladrillos Macizos Para su Aplicación en Intervenciones del Patrimonio Histórico. Ph.D. Thesis, Universidad de Granada, Granada, Spain, 2013. Available online: https://digibug.ugr.es/handle/10481/24881 (accessed on 5 June 2022).
- Haldar, S.K. Chapter 6—Sedimentary Rocks. In Introduction to Mineralogy and Petrology, 2nd ed.; Haldar, S.K., Ed.; Elsevier: Oxford, UK, 2020; pp. 187–268. [Google Scholar] [CrossRef]
- Hall, C.; Hoff, W.D. Evaporation and Drying. In Water Transport in Brick, Stone and Concrete; Taylor and Francis: London, UK, 2002; pp. 188–200. [Google Scholar]
- Benavente, D. Modelización Y Estimación de la Durabilidad de Materiales Pétreos Porosos Frente a la Cristalización de Sales. Ph.D. Thesis, Universidad de Alicante, Alicante, Spain, 2002. Available online: http://rua.ua.es/dspace/handle/10045/9912 (accessed on 15 March 2022).
- RL-88; Pliego General de Condiciones Para La Recepción de Los Ladrillos Cerámicos En Las Obras de Construcción. Ministerio de Obras Públicas, Transportes y Medio Ambiente: Madrid, Spain, 1988.
- UNE 136010; Bloques Cerámicos de Arcilla Aligerada. Designación y Especificaciones. AENOR: Madrid, Spain, 2000.
- Chen, X.; Wu, S.; Zhou, J. Influence of Porosity on Compressive and Tensile Strength of Cement Mortar. Constr. Build. Mater. 2013, 40, 869–874. [Google Scholar] [CrossRef]
- Hattiangadi, A.; Bandyopadhyay, A. Strength Degradation of Nonrandom Porous Ceramic Structures under Uniaxial Compressive Loading. J. Am. Ceram. Soc. 2000, 83, 2730–2736. [Google Scholar] [CrossRef]
- Le Huec, J.C.; Schaeverbeke, T.; Clement, D.; Faber, J.; Le Rebeller, A. Influence of Porosity on the Mechanical Resistance of Hydroxyapatite Ceramics under Compressive Stress. Biomaterials 1995, 16, 113–118. [Google Scholar] [CrossRef] [PubMed]
- Simonot, L.; Elias, M. Color Change Due to Surface State Modification. Color Res. Appl. 2003, 28, 45–49. [Google Scholar] [CrossRef]
- Mokrzycki, W.S.; Talot, M. Colour Difference ΔE. A Survey. Mach. Graph. Vis. 2021, 20, 383–411. [Google Scholar]
- Bhattacharjee, B.; Krishnamoorthy, S. Permeable Porosity and Thermal Conductivity of Construction Materials. J. Mater. Civ. Eng. 2004, 16, 322–330. [Google Scholar] [CrossRef]
- Cultrone, G.; Aurrekoetxea, I.; Casado, C.; Arizzi, A. Sawdust Recycling in the Production of Lightweight Bricks: How the Amount of Additive and the Firing Temperature Influence the Physical Properties of the Bricks. Constr. Build. Mater. 2020, 235, 117436. [Google Scholar] [CrossRef]
- Angeli, M.; Bigas, J.-P.; Benavente, D.; Menéndez, B.; Hébert, R.; David, C. Salt Crystallization in Pores: Quantification and Estimation of Damage. Environ. Geol. 2007, 52, 205–213. [Google Scholar] [CrossRef]
- Benavente, D.; Linares-Fernández, L.; Cultrone, G.; Sebastián, E. Influence of Microstructure on The Resistance to Salt Crystallisation Damage in Brick. Mater. Struct. 2006, 39, 105–113. [Google Scholar] [CrossRef]
- Scherer, G.W. Crystallization in Pores. Cem. Concr. Res. 1999, 29, 1347–1358. [Google Scholar] [CrossRef]
- Benavente, D. Why Pore Size Is Important in the Deterioration of Porous Stones Used in the Built Heritage. MACLA 2011, 15, 41–42. [Google Scholar]











| Temperature | Additive | % Volume | % Mass | Water Used (mL) | Sample Name |
|---|---|---|---|---|---|
| 950 °C | Without additive | - | - | 500 | R |
| Expanded polyethylene (EPS) | 20 | 0.3 | 500 | P2 | |
| 40 | 0.7 | 475 | P4 | ||
| 60 | 1.1 | 450 | P6 | ||
| Olive stones | 20 | 13.2 | 400 | H2 | |
| 40 | 25.6 | 350 | H4 | ||
| 60 | 38.5 | 325 | H6 |
| Sample | SiO2 | Al2O3 | Fe2O3 | MnO | MgO | CaO | Na2O | K2O | TiO2 | P2O5 | LOI |
|---|---|---|---|---|---|---|---|---|---|---|---|
| Viznar | 48.25 | 15.77 | 5.69 | 0.08 | 2.88 | 10.10 | 0.79 | 2.82 | 0.74 | 0.13 | 12.02 |
| R | 53.30 | 17.66 | 6.30 | 0.09 | 3.23 | 11.68 | 0.88 | 3.12 | 0.82 | 0.15 | 1.32 |
| P2 | 53.65 | 17.64 | 6.23 | 0.08 | 3.28 | 11.72 | 0.87 | 3.11 | 0.85 | 0.14 | 1.82 |
| P4 | 53.59 | 17.67 | 6.25 | 0.09 | 3.27 | 11.71 | 0.92 | 3.15 | 0.85 | 0.15 | 1.72 |
| P6 | 53.33 | 17.65 | 6.22 | 0.08 | 3.23 | 11.65 | 0.87 | 3.11 | 0.85 | 0.14 | 1.76 |
| H2 | 53.44 | 17.69 | 6.21 | 0.09 | 3.33 | 11.70 | 0.89 | 3.19 | 0.83 | 0.15 | 1.63 |
| H4 | 53.87 | 17.75 | 6.34 | 0.09 | 3.23 | 11.26 | 0.92 | 3.25 | 0.84 | 0.15 | 1.53 |
| H6 | 53.37 | 17.53 | 6.22 | 0.08 | 3.25 | 11.36 | 0.86 | 3.26 | 0.84 | 0.15 | 1.44 |
| R | P2 | P4 | P6 | H2 | H4 | H6 | |
|---|---|---|---|---|---|---|---|
| Ab | 23.54 | 25.01 | 26.47 | 28.10 | 28.51 | 40.27 | 58.90 |
| Af | 24.21 | 27.84 | 33.19 | 48.64 | 39.30 | 62.54 | 90.60 |
| Ax | 2.78 | 10.13 | 20.16 | 42.23 | 27.45 | 35.60 | 34.98 |
| Di | 0.89 | 0.87 | 0.86 | 0.83 | 0.84 | 0.80 | 0.77 |
| S | 84.26 | 84.64 | 76.52 | 55.58 | 68.23 | 58.54 | 61.16 |
| Po | 37.94 | 38.12 | 40.71 | 52.91 | 48.46 | 61.44 | 69.28 |
| ρa | 1.57 | 1.37 | 1.23 | 1.09 | 1.23 | 0.98 | 0.76 |
| ρr | 2.53 | 2.21 | 2.07 | 2.31 | 2.39 | 2.55 | 2.49 |
| P0(MIP) | 40.43 | 44.67 | 46.35 | 47.74 | 44.12 | 53.66 | 58.89 |
| ρa(MIP) | 1.48 | 1.43 | 1.29 | 1.22 | 1.34 | 1.08 | 0.90 |
| ρr(MIP) | 2.49 | 2.59 | 2.42 | 2.34 | 2.40 | 2.33 | 2.20 |
| L* | a* | b* | C* | h° | ΔE* | |
|---|---|---|---|---|---|---|
| R | 54.51 | 21.60 | 28.82 | 36.02 | 53.14 | - |
| P2 | 54.64 | 21.13 | 27.90 | 35.00 | 52.85 | 1.04 |
| P4 | 55.23 | 20.53 | 27.95 | 34.68 | 53.69 | 1.55 |
| P6 | 55.03 | 20.92 | 28.27 | 35.17 | 53.49 | 1.02 |
| H2 | 58.55 | 18.20 | 28.21 | 33.66 | 57.47 | 5.32 |
| H4 | 59.13 | 14.07 | 25.70 | 29.34 | 61.26 | 9.37 |
| H6 | 59.95 | 13.77 | 26.08 | 29.50 | 62.11 | 9.92 |
| P2 | P4 | P6 | H2 | H4 | H6 | |
|---|---|---|---|---|---|---|
| Mineralogical changes | NO | NO | NO | YES | YES | YES |
| Porosity | ↑ | ↑↑ | ↑↑↑ | ↑ | ↑↑ | ↑↑↑ |
| Pore size distribution | 1, 3, 10 and 100 μm | 1, 3, 10 and 100 μm | 1, 3, 10 and 100 μm | 1, 10, 50 and 100 μm | 1, 10, 50 and 100 μm | 1, 10, 50 and 100 μm |
| Tortuosity | ↑ | ↑↑ | ↑↑↑ | ↑ | ↑↑ | ↑↑↑ |
| Drying speed | ↑ | ↑↑ | ↑↑↑ | ↑ | ↑↑ | ↑↑↑ |
| Apparent density | ↓ | ↓↓ | ↓↓↓ | ↓ | ↓↓ | ↓↓↓ |
| P-wave velocity | ↓ | ↓↓ | ↓↓↓ | ↓ | ↓↓ | ↓↓↓ |
| Compressive strength | ↓ | ↓↓ | ↓↓↓ | ↓ | ↓↓ | ↓↓↓ |
| Colour change | NO | NO | NO | YES | YES | YES |
Disclaimer/Publisher’s Note: The statements, opinions and data contained in all publications are solely those of the individual author(s) and contributor(s) and not of MDPI and/or the editor(s). MDPI and/or the editor(s) disclaim responsibility for any injury to people or property resulting from any ideas, methods, instructions or products referred to in the content. |
© 2023 by the authors. Licensee MDPI, Basel, Switzerland. This article is an open access article distributed under the terms and conditions of the Creative Commons Attribution (CC BY) license (https://creativecommons.org/licenses/by/4.0/).
Share and Cite
López Gómez, M.; Cultrone, G. The Use of Expanded Polystyrene and Olive Stones in the Manufacture of Lightweight Bricks: Evaluation of Their Properties and Durability. Materials 2023, 16, 1330. https://doi.org/10.3390/ma16041330
López Gómez M, Cultrone G. The Use of Expanded Polystyrene and Olive Stones in the Manufacture of Lightweight Bricks: Evaluation of Their Properties and Durability. Materials. 2023; 16(4):1330. https://doi.org/10.3390/ma16041330
Chicago/Turabian StyleLópez Gómez, María, and Giuseppe Cultrone. 2023. "The Use of Expanded Polystyrene and Olive Stones in the Manufacture of Lightweight Bricks: Evaluation of Their Properties and Durability" Materials 16, no. 4: 1330. https://doi.org/10.3390/ma16041330
APA StyleLópez Gómez, M., & Cultrone, G. (2023). The Use of Expanded Polystyrene and Olive Stones in the Manufacture of Lightweight Bricks: Evaluation of Their Properties and Durability. Materials, 16(4), 1330. https://doi.org/10.3390/ma16041330

