The Influence of Rehydration on the Properties of Portland Cement-Based Materials with Low Water/Binder Ratios: A Review of Existing Research
Abstract
1. Introduction
2. Influence of Rehydration on Macroscopic Properties of Cement-Based Materials
2.1. Effects of Rehydration on Cracks
2.2. Effects of Rehydration on Mechanical Properties
2.3. Effect of Rehydration on Permeability
3. Influence of Rehydration on Microscopic Properties of Cement-Based Materials
3.1. Rehydration Products
3.2. Effect of Rehydration on Pore Structure
4. Influence of Different Factors on Rehydration
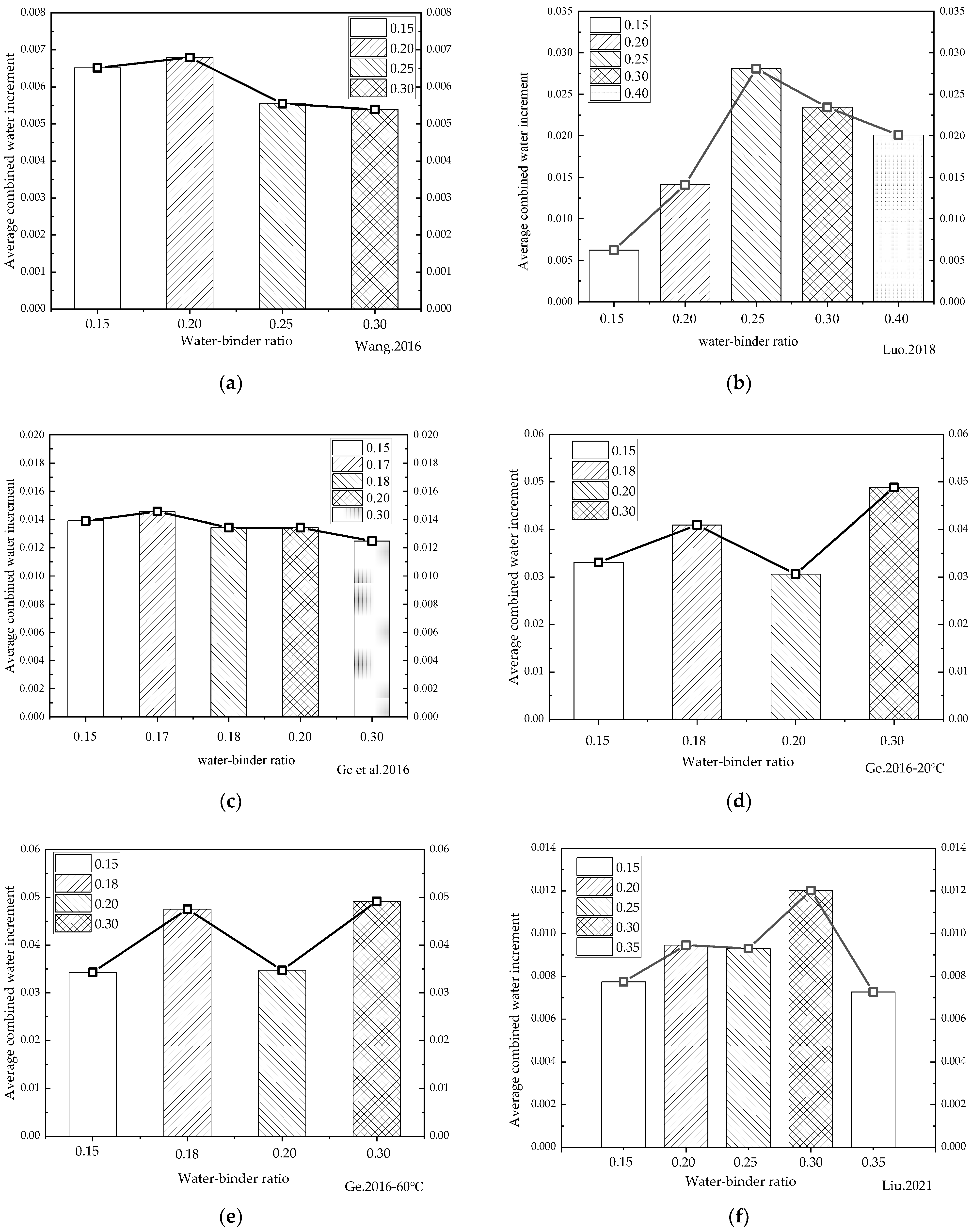
4.1. Water/Binder Ratio
4.2. Rehydration Temperatures
4.3. Mineral Admixtures
5. Research Status of Rehydration Models
5.1. Effects of Rehydration on Chemically Combined Water
5.2. Rehydration Models Applicable to Different Conditions
6. Conclusions
- Rehydration is a process occurring in cement-based materials over prolonged periods: chemically combined water was found to further increase after 360 days of rehydration. It is therefore necessary to study the long-term performance of cement-based materials under rehydration. In its early stages, when the internal pores of the cement-based material are sufficient to accommodate rehydration products, rehydration can have a reinforcing effect. In the latter stages, however, when there are too few internal pores to accommodate new hydration products, internal stress is generated, which eventually further cracks;
- Up to a hydration age of 270 days, the compressive strength of cement-based materials increased continuously, but subsequently showed a decreasing trend, which is related to the effect of rehydration on the internal pore structure of cement-based materials. The capillary water absorption coefficient of cement-based materials up to a hydration age of 120 days continued to decrease, indicating that with the progress of rehydration, the content of capillary pores continued to decrease, and the internal density of the cement-based material continued to increase;
- The main products of rehydration were fibrous C-S-H gel and crystalline CaCO3. In addition, some amounts of Ca(OH)2 and AFt may be produced simultaneously. The influence of hydration products on porosity was closely related to the changes in the mechanical properties. Up to 270 days of hydration, the internal porosity of the cement-based materials was shown to continue to decrease, while the porosity appeared to increase after 270 days of hydration;
- As the water/binder ratio increased, the overall rehydration rate initially increased and then decreased. For cement-based materials with a water/binder ratio below 0.3, the increase in the rehydration temperature under the same water/binder ratio had an obvious promoting effect on the growth rate of chemically combined water. This effect of temperature on the rehydration rate was not obvious in the case of cement-based materials with a water/binder ratio of 0.3. In addition, the effects of mineral admixtures on rehydration varied according to different water/binder ratios;
- This study furthermore summarized the conditions of using different rehydration models described in the literature and proposed a method to establish the relationship between the expansion strain and the hydration degree under the rehydration of cement-based materials with low water/binder ratios. Furthermore, the hydration degree corresponding to the maximum expansion strain during the rehydration process of cement-based materials with low water/binder ratios was characterized. Finally, a method to evaluate and control the risk of damage to cement-based materials under rehydration was proposed.
Author Contributions
Funding
Institutional Review Board Statement
Informed Consent Statement
Data Availability Statement
Conflicts of Interest
References
- Tafraoui, A.; Escadeillas, G.; Lebaili, S.; Vidal, T. Metakaolin in the formulation of UHPC. Constr. Build. Mater. 2009, 23, 669–674. [Google Scholar] [CrossRef]
- Powers, T.C. Structure and Physical Properties of Hardened Portland Cement Paste. J. Am. Ceram. Soc. 2006, 41, 1–6. [Google Scholar] [CrossRef]
- Vandamme, M.; Ulm, F.J.; Fonollosa, P. Nanogranular packing of C–S–H at substochiometric conditions. Cem. Concr. Res. 2010, 40, 14–26. [Google Scholar] [CrossRef]
- Linderoth, O.; Wadsö, L.; Jansen, D. Long-term cement hydration studies with isothermal calorimetry. Cem. Concr. Res. 2021, 141, 106344. [Google Scholar] [CrossRef]
- Liu, J.H. Study on Rehydration of Reactive Powder Concrete by Different Fineness of Cement. Master’s Thesis, Beijing Jiaotong University, Beijing, China, 2016. [Google Scholar]
- Wang, Y. Durability of Reactive Powder Concrete under the Action of Chloride Salt Freeze-Thaw Cycling and Erosion. Ph.D. Thesis, Beijing Jiaotong University, Beijing, China, 2016. [Google Scholar]
- Nurse, R.W. The physical structure and engineering properties of concrete. Nature 1956, 178, 188. [Google Scholar] [CrossRef]
- Bentz, D.P.; Conway, J.T. Computer modeling of the replacement of “coarse” cement particles by inert fillers in low w/c ratio concretes: Hydration and strength. Cem. Concr. Res. 2001, 31, 503–506. [Google Scholar] [CrossRef]
- An, M.Z.; Liu, Y.Z.; Zhang, G.; Wang, Y.; Yu, Z.R. Influence of Rehydration Effect on Microstructure and Water Stability of Ultra-high Performance Concrete Matrix. J. Chin. Ceram. Soc. 2020, 48, 1722–1731. [Google Scholar]
- Joseph, C.; Jefferson, A.; Isaacs, B.; Lark, R.; Gardner, D. Experimental investigation of adhesive-based self-healing of cementitious materials. Mag. Concr. Res. 2010, 62, 831–843. [Google Scholar] [CrossRef]
- Wang, Y.; An, M.; Yu, Z.; Han, S. Impacts of various factors on the rehydration of cement-based materials with a low water–binder ratio using mathematical models. Constr. Build. Mater. 2016, 125, 160–167. [Google Scholar] [CrossRef]
- Su, Q.; Zhang, H.B.; Tao, Z.X. Experimental Studies on the High Performance Concrete’s Durability. J. Mod. Power Syst. Clean Energy 2005, 21, 45–48. [Google Scholar]
- Shaheene, E.; Shriven, N. Optimization of Mechanical-Properties and Durability of Reactive Powder Concrete. ACI Mater. J. 2006, 103, 444–451. [Google Scholar]
- Hillermeier, B.; Schroeder, M. Poor Durability of High Performance Concrete with Water Ratio ≤ 0.30? Durability of High Performance Concrete. In Proceedings of the International RILEM Workshop, Barcelona, Spain, 7–9 November 1994. [Google Scholar]
- Yang, L.; Guan, X.M. Study on harm of anaphase hydration of the unhydrated cement to high strength concrete. Cem. Eng. 2004, 4, 8–11. [Google Scholar]
- Pushpalal, G.K.D.; Kobayashi, T.; Hasegawa, M. High alumina cement-phenol resin composite: Water resistivity and effect of post hydration of unreacted cement on durability. Cem. Concr. Res. 1997, 27, 1393–1405. [Google Scholar] [CrossRef]
- Chen, J.J.; Sorelli, L.; Vandamme, M.; Ulm, F.-J.; Chanvillard, G. A Coupled Nanoindentation/SEM-EDS Study on Low Water/Cement Ratio Portland Cement Paste: Evidence for C-S-H/Ca(OH)2Nanocomposites. J. Am. Ceram. Soc. 2010, 93, 1484–1493. [Google Scholar] [CrossRef]
- Hu, S.G.; Geng, J.; Lv, L.N.; Ding, Q.J.; Wang, X. Influence of ultrafine fly ash on hydration history of Portland cement with different fineness under low water-binder ratio. Cement 2005, 1, 6–8. [Google Scholar]
- Lu, J. Effect of Rehydration on Properties of Preloaded-Damaged Concrete. Master’s Thesis, Beijing Jiaotong University, Beijing, China, 2018. [Google Scholar]
- Hyde, G.W.; Smith, W.J. Results of experiments made to determine the permeability of cements and cement mortars. J. Frankl. Inst. 1889, 128, 199–207. [Google Scholar] [CrossRef]
- Edvardsen, C. Water permeability and autogenous healing of cracks in concrete. ACI Mater. 1999, 96, 448–454. [Google Scholar]
- Huang, H. Thermodynamics of Autogenous Self-healing in Cementitious Materials. Ph.D. Thesis, South China University of Technology, Canton, China, 2014. [Google Scholar] [CrossRef]
- Otsuki, N.; Miyazato, S.; Diola, N.B.; Suzuki, H. Influences of bending crack and watercement ratio on chloride-induced corrosion of main reinforcing bars and stirrups. ACI Mater. 2000, 97, 454–464. [Google Scholar]
- Yan, P.Y.; Yang, W.Y.; Cui, L.; You, Y. Hydration performance of cement-fly ash composite binder at low water-binder ratio. J. Build. Mater. 1998, 1, 70–73. [Google Scholar]
- Hans-Wolf, R.; Martin, J. Permeability and self-healing of cracked concrete as a function of temperature and crack width. Cem. Concr. Res. 2003, 33, 981–985. [Google Scholar]
- Schmets, A.; Zaken, G.V.D.; Zwaag, S. Self-Healing Materials: An Alternative Approach to 20 Centuries of Materials Science. Chem. Int. 2008, 30, 20–21. [Google Scholar]
- Homma, D.; Mihashi, H.; Nishiwaki, T. Self-healing capability of fibre reinforced cementitious composites. Adv. Concr. Technol. 2009, 7, 217–228. [Google Scholar] [CrossRef]
- Xue, C.H.; Li, W.G.; Li, J.C.; Wang, K.J. Numerical investigation on interface crack initiation and propagation behaviour of self-healing cementitious materials. Cem. Concr. Res. 2019, 122, 1–16. [Google Scholar] [CrossRef]
- Aldea, C.M.; Song, W.J.; Popovics, J.S.; Shah, S.P. Extent of healing of cracked normal strength concrete. J. Mater. Civ. Eng. 2000, 12, 92–96. [Google Scholar] [CrossRef]
- Tomczak, K.; Jakubowski, J. The effects of age, cement content, and healing time on the self-healing ability of high-strength concrete. Constr. Build. Mater. 2018, 187, 149–159. [Google Scholar] [CrossRef]
- Şahmaran, M.; Keskin, S.B.; Ozerkan, G.; Yaman, I.O. Self-healing of mechanically-loaded self consolidating concretes with high volumes of fly ash. Cem. Concr. Compos. 2008, 30, 872–879. [Google Scholar] [CrossRef]
- Ahn, T.-H.; Kishi, T. Crack Self-healing Behavior of Cementitious Composites Incorporating Various Mineral Admixtures. J. Adv. Concr. Technol. 2010, 8, 171–186. [Google Scholar] [CrossRef]
- Ahn, T.H.; Kim, D.J.; Kang, S.H. Crack Self-Healing Behavior of High Performance Fiber Reinforced Cement Composites under Various Environmental Conditions. In Proceedings of the Thirteenth ASCE Aerospace Division Conference on Engineering, Science, Construction, and Operations in Challenging Environments, and the 5th NASA/ASCE Workshop On Granular Materials in Space Exploration, Pasadena, CA, USA, 15–18 April 2012. [Google Scholar]
- Guo, L.P.; Xu, Y.H.; Chen, B.; Chai, L.J.; Ding, C.; Fei, C.G. Self-healing Characteristics and Micro-Mechanism of High Ductility Cementitious Composites Micro-cracks under Chloride Salt Wet-Dry Cycles. J. Chin. Chem. Soc. 2019, 47, 874–883. [Google Scholar]
- Yang, Y.Z.; Michael, D.; Yang, E.H.; Victor, C.L. Autogenous healing of engineered cementitious composites under wet–dry cycles. Cem. Concr. Res. 2009, 39, 382–390. [Google Scholar] [CrossRef]
- Benny, S.; Sam, A.W.; William, J.M.; Thomas, M.C. Self-healing performance of engineered cementitious composites under natural environmental exposure. Adv. Cem. Res. 2016, 28, 211–220. [Google Scholar]
- Liu, H.Z.; Zhang, Q.; Gu, C.S. Self-healing of microcracks in Engineered Cementitious Composites under sulfate and chloride environment. Constr. Build. Mater. 2017, 153, 948–956. [Google Scholar] [CrossRef]
- Huang, H.L.; Ye, G.; Leo, P. New insights into autogenous self-healing in cement paste based on nuclear magnetic resonance (NMR) tests. Mater. Struct. 2016, 49, 2509–2524. [Google Scholar] [CrossRef]
- An, M.Z.; Wang, Y.; Yu, Z.R. Damage mechanisms of ultra-high-performance concrete under freeze–thaw cycling in salt solution considering the effect of rehydration. Constr. Build. Mater. 2019, 198, 546–552. [Google Scholar] [CrossRef]
- Luo, L.L. Effect of Rehydration on Properties of Cement-based Materials with Low Water-Cement Ratio. Master’s Thesis, Beijing Jiaotong University, Beijing, China, 2018. [Google Scholar]
- Lauer, R.K. Autogenous healing of cement paste. ACI Struct. J. 2017. [Google Scholar] [CrossRef]
- Dhir, R.K.; Sangha, C.M.; Munday, J.G.L. Strength and deformation properties of autogenously healed mortars. ACI Struct. J. 1973, 70, 231–236. [Google Scholar]
- Igarashi, S.I.; Kubo, H.R.; Kawamura, M. Long-term volume changes and microcracks formation in high strength mortars. Cem. Concr. Res. 2000, 30, 943–951. [Google Scholar] [CrossRef]
- Feng, X.X.; Sun, X.H.; Wang, X.Y.; Wei, Q.M. Effects of late hydration of cement in low water-cement ratio mortar on its long-term strength. In Proceedings of the International Symposium on Research and Application of High-rise Concrete Pumping and Ultra High Performance Concrete Technology, Canton, China, 22 April 2008. (Chinese Version). [Google Scholar]
- Ge, X.L.; Liu, J.P.; Wang, Y.J.; Tian, Q.; Shen, J.P. Effect of rehydration of unhydrated cement on ultra high performance concrete. J. Environ. Eng. 2016, 38, 40–45. [Google Scholar]
- Nassar, R.-U.; Soroushian, P.; Balachandra, A.; Nassar, S.; Weerasiri, R.; Darsanasiri, N.; Abdol, N. Evaluation of refined cement-based matrix systems for extrusion of wood fiber cement. Case Stud. Constr. Mater. 2021, 15, e00714. [Google Scholar] [CrossRef]
- Zhu, C.Y.; Zhang, Y.S.; Gao, J.M. Preparation of the Ultra-high Performance Concrete and Study on its Physical and Mechanical Properties. China Concr. Cem. Prod. 2010, 1, 13–15. [Google Scholar]
- Kinomura, K.; Ishida, T. Enhanced hydration model of fly ash in blended cement and application of extensive modeling for continuous hydration to pozzolanic micro-pore structures. Cem. Concr. Compos. 2020, 11, 103733. [Google Scholar] [CrossRef]
- Escalante-Garcia, J.I.; Sharp, J.H. The microstructure and mechanical properties of blended cements hydrated at various temperatures. Cem. Concr. Compos. 2001, 31, 695–702. [Google Scholar] [CrossRef]
- Song, Q.S. Effect of Fly Ash on Rehydration of Low Water-cement Ratio Cement-Based Materials. Master’s Thesis, Beijing Jiaotong University, Beijing, China, 2019. [Google Scholar]
- Real, S.; Carriço, A.; Bogas, J.A.; Guedes, M. Influence of the Treatment Temperature on the Microstructure and Hydration Behavior of Thermoactivated Recycled Cement. Materials 2020, 13, 3937. [Google Scholar] [CrossRef] [PubMed]
- Hiremath, P.N.; Yaragal, S.C. Effect of different curing regimes and durations on early strength development of reactive powder concrete. Constr. Build. Mater. 2017, 154, 72–87. [Google Scholar] [CrossRef]
- Zhang, D.X. The Theory and Control Technology of Shrinkage Cracking at Early Age of Concrete and Application in Bridge Engineering. Ph.D. Thesis, Changsha University of Science & Technology, Changsha, China, 2010. [Google Scholar]
- Zhang, Y.S.; Sun, W.; Guan, X.M. Research on the methods of reducing cement unhydrated in high strength concrete. J. Henan Polytech. Univ. 2001, 5, 371–375. [Google Scholar]
- Mo, Z.Y. Research on the Strength Development and Rehydration Characteristics of UHPC Matrixincorporated with Metakaolin. Ph.D. Thesis, Harbin Institute of Technology, Harbin, China, 2021. [Google Scholar]
- Gao, X. Research of Degradation Mechanism and Improvement of Long-term Strength of Autoclaved Concrete. Master’s Thesis, China University of Mining and Technology, Beijing, China, 2019. [Google Scholar]
- Dong, B.Q.; Ma, H.Y. Hydration and mechanical characteris of cement material. Concrete 2008, 5, 23–25. [Google Scholar]
- Fu, Y.Q. Early Performance of Cement-Fly ash Blends at Various Temperatures. Master’s Thesis, Wuhan Institute of Technology, Wuhan, China, 2016. [Google Scholar]
- Shi, F.H.; He, Z.M.; Liu, C.; Wei, L.L.; Ba, M.F. Effect of curing condition on mechanical strength and capillary water absorption of UHPC. J. Ningbo Univ. 2022, 35, 10–18. [Google Scholar]
- Ge, X.L. The Water Stability and Mechanism of Low Water Binder Ratio Cement Based Materials. Master’s Thesis, Dalian University of Technology, Dalian, China, 2016. [Google Scholar]
- Liu, Y.Z. Research on the Evolution rules of Long-Term Performance and Microstructure of Cement-Based Materials with Low Water-Binder Ratios under Further Hydration Effect. Ph.D. Thesis, Beijing Jiaotong University, Beijing, China, 2021. [Google Scholar]
- Zhou, C.Y.; Wei, J.X.; Yu, Q.J.; Yin, S.H.; Zhuang, Z.H. Water Absorption Characteristics of Autoclaved Aerated Concrete. J. Wuhan Univ. Technol. 2007, 4, 22–26. [Google Scholar]
- An, M.Z.; Yu, Z.R.; Jia, F.F.; Zhang, H. Damage-residual strain curve of prc considering survival rate. Low Temp. Archit. Technol. 2010, 32, 5–7. [Google Scholar]
- Zhu, Y.; Yang, Y.Z.; Yao, Y. Autogenous self-healing of engineered cementitious composites under freeze-thaw cycles. Constr. Build. Mater. 2012, 34, 522–530. [Google Scholar] [CrossRef]
- Liu, Z.D.; Nie, H.; Zhang, S.Z.; Xu, W. Influence of Water-binder Ratio on the Permeability of Concretes with High Content Mineral Admixtures. Jiangsu Constr. 2015, 3, 100–103. [Google Scholar]
- He, Z.M.; Long, G.C.; Xie, Y.J.; Liu, J.Z. Water Sorptivity of Steam Curing Concrete. J. Build. Eng. 2012, 15, 190–195. [Google Scholar] [CrossRef]
- Mohamed, R.; Salim, G.; Bouzidi, M. La porosité ouverte du béton d’enrobage: Corrélation entre la résistance à la compression et l’absorption initiale. Eur. J. Environ. Civ. Eng. 2012, 16, 730–743. [Google Scholar]
- Deng, F.F. Effect of nano-silica on the capillary water absorption of cement-limestone powder mastic sand. Sci. Technol. Inf. 2018, 16, 66–68. [Google Scholar]
- Liu, B.J.; Jiang, J.Y.; Shen, S.; Zhou, F.; Shi, J.Y.; He, Z.H. Effects of curing methods of concrete after steam curing on mechanical strength and permeability. Constr. Build. Mater. 2020, 256, 119441. [Google Scholar] [CrossRef]
- Li, S.Q.; Meng, Z.Y.; Zhang, S.Z. Effect of fly ash and slag on the permeability of high performance concrete. Concrete 2013, 11, 119–121. [Google Scholar]
- Luo, G. Effect of Curing Conditions on Carbonation Properties of Concrete with Mixed Mineral Admixture. Master’s Thesis, Central South University, Changsha, China, 2014. [Google Scholar]
- Cheng, B.J. Experimental Study on the Influence of Curing Conditions on Capillary Absorption of Concrete. Master’s Thesis, Dalian University of Technology, Dalian, China, 2016. [Google Scholar]
- Taylor, H.F.W. A method for predicting alkali ion concentration in cement pore solutions. Adv. Cem. Res. 1987, 1, 5–17. [Google Scholar] [CrossRef]
- Jacobsen, S.; Marchand, J.; Hornain, H. SEM observations of the microstructure of frost deteriorated and self-healed concretes. Cem. Concr. Res. 1995, 25, 1781–1790. [Google Scholar] [CrossRef]
- Rong, Z.; Sun, W.; Xiao, H.; Wang, W. Effect of silica fume and fly ash on hydration and microstructure evolution of cement based composites at low water–binder ratios. Constr. Build. Mater. 2013, 51, 446–450. [Google Scholar] [CrossRef]
- Taylor, R.; Richardson, I.G.; Brydson, R. Composition and microstructure of 20-year-old ordinary Portland cement–ground granulated blast-furnace slag blends containing 0 to 100% slag. Cem. Concr. Res. 2010, 40, 971–983. [Google Scholar] [CrossRef]
- Jacobsen, S.; Sellevold, E.J. Self healing of high strength concrete after deterioration by freeze/thaw. Cem. Concr. Res. 1996, 26, 55–62. [Google Scholar] [CrossRef]
- Sisomphon, K.; Copuroglu, O.; Koenders, E.A.B. Self-healing of surface cracks in mortars with expansive additive and crystalline additive. Cem. Concr. Compos. 2004, 26, 566–574. [Google Scholar] [CrossRef]
- Parks, J.; Edwards, M.; Vikesland, P.; Dudi, A. Effects of Bulk Water Chemistry on Autogenous Healing of Concrete. J. Mater. Civ. Eng. 2010, 22, 515–524. [Google Scholar] [CrossRef]
- Choi, H.; Inoue, M.; Kwon, S.; Choi, H.; Lim, M. Effective Crack Control of Concrete by Self-Healing of Cementitious Composites Using Synthetic Fiber. Materials 2016, 9, 248. [Google Scholar] [CrossRef] [PubMed]
- Kan, L.; Shi, H.; Sakulich, A.R.; Li, V.C. Self-healing characterization of engineered cementitious composite materials. ACI Mater. J. 2012, 107, 617–624. [Google Scholar]
- Jacobsen, S.; Sellevold, E.J.; Matala, S. Frost durability of high strength concrete: Effect of internal cracking on ice formation. Cem. Concr. Res. 1996, 26, 919–931. [Google Scholar] [CrossRef]
- Schlangen, E.; Heide, N.T.; Breugel, K.V. Crack healing of early age cracks in concrete. In Measuring, Monitoring and Modeling Concrete Properties; Springer: Dordrecht, The Netherlands, 2006. [Google Scholar] [CrossRef]
- Zhao, J.; Xu, T.B. Application of mercury-pressure method for the characterization of concrete pore structure. Low Temp. Archit. Technol. 2013, 9, 3–4. [Google Scholar]
- Tang, M.; Wang, J.C.; Li, L.J. Research on Fractal Characteristics of Concrete Materials Pore with MIP. J. Shenyang Jianzhu Univ. 2001, 4, 272–275. [Google Scholar]
- Yu, L.Z.; Wu, R.X.; Zhu, X.B. Study on the evolution of pore structure of concrete under the continuous hydration. Low Temp. Archit. Technol. 2015, 37, 1–3. [Google Scholar]
- Wang, W.C. Experimental Research on Long-Term Property Evolution Rule of High Strength Concrete in Moist Environment. Master’s Thesis, Harbin Institute of Technology, Harbin, China, 2017. [Google Scholar]
- Zhao, S.; Wei, S. Effect of silica fume and fly ash on pore structures of blended pastes at low water to binder ratios. Adv. Cem. Res. 2014, 27, 506–514. [Google Scholar] [CrossRef]
- Zhao, H.T.; Ding, J.; Huang, Y.Y.; Tang, Y.M.; Xu, W.; Huang, D.H. Experimental analysis on the relationship between pore structure and capillary water absorption characteristics of cement-based materials. Struct. Concr. 2019, 20, 1750–1762. [Google Scholar] [CrossRef]
- Tian, Y.; Ge, J. lmpacts of particle size distribution of fly ash on characteristics of pore structure of low temperature cement mortar. Concrete 2020, 10, 114–117. [Google Scholar]
- Ou, X.Q.; Zhang, J.R.; Deng, L.; Cai, P. Study on microscopic pore characteristics of hardened slurry of fly ash composite cementitious material. Sichuan Archit. 2020, 40, 298–302. [Google Scholar]
- Jia, Y.T.; Sun, W.; Zheng, K.R.; Guo, L.P. Hydration Process of Portland Cement-slag Composite Pastes. Chin. Ceram. Soc. 2015, 34, 1548–1553+1564. [Google Scholar]
- Zeng, Q.; Li, K.F.; Fen, C.T.; Patrick, D. Pore structure characterization of cement pastes blended with high-volume fly-ash. Cem. Concr. Res. 2012, 42, 194–204. [Google Scholar] [CrossRef]
- Van Tittelboom, K.; Gruyaert, E.; Rahier, H.; De Belie, N. Influence of mix composition on the extent of autogenous crack healing by continued hydration or calcium carbonate formation. Constr. Build. Mater. 2012, 37, 349–359. [Google Scholar] [CrossRef]
- Yang, H.J.; Lee, C.H.; Shim, S.H.; Kim, J.H.J.; Lee, H.J.; Park, J. Performance evaluation of cement paste incorporating ferro-nickel slag powder under elevated temperatures. Case Stud. Constr. Mater. 2021, 15, 2214–5095. [Google Scholar] [CrossRef]
- Yang, L.; Ma, B.G.; Guan, X.M. Inhibition of late hydration hazards of unhydrated cement by mineral admixtures. China Concr. Cem. Prod. 2007, 3, 6–8. [Google Scholar]
- Frías, M.; Sánchez de Rojas, M.I.; Cabrera, J. The effect that the pozzolanic reaction ofmetakaolin has on the heat evolution in metakaolin-cement mortars. Cem. Concr. Res. 2000, 30, 209–216. [Google Scholar] [CrossRef]
- Zhang, C.Y.; Cai, Y.; Kong, X.M.; Hao, T.Y. Influence of Nano C-S-H on Cement Hydration, Pore Structure of Hardened Cement Pastes and Strength of Concrete. J. Chin. Chem. Soc. 2019, 47, 585–593. [Google Scholar]
- Han, J.; Li, S.X. Study on hydration characteristics of multi-component composite gelling system with low water-to-binder ratio and high conten. Water Resour. Res. 2021, 39, 152–155+163. [Google Scholar]
- Wang, J.; Wang, W.J.; Xia, Y.B.; Jia, F.F.; Zha, Y.P.; Peng, B.J. Influence of Ultra Fine Fly Ash on Strength and Hydration Products of Concrete. China Concr. Cem. Prod. 2016, 12, 24–26. [Google Scholar]
- Krstulović, R.; Dabić, P. A conceptual model of the cement hydration process. Cem. Concr. Res. 2000, 30, 693–698. [Google Scholar] [CrossRef]
- Yan, P.Y.; Zheng, F. Kinetics model for the hydration mechanism of cementitious materials. J. Chin. Chem. Soc. 2006, 34, 555–559. [Google Scholar]
- Maekawa, K.; Chaube, R.; Kishi, T. Modeling of Concrete Performance: Hydration, Microstructure Formation and Mass Transport; Routledge: New York, NY, USA; London, UK, 1999. [Google Scholar]
- Swaddiwudhipong, S.; Chen, D.; Zhang, M.H. Simulation of the exothermic hydration process of Portland cement. Adv. Cem. Res. 2002, 14, 61–69. [Google Scholar] [CrossRef]
- Wang, W.Y. Study of Hydration model of Cement with Mineral Admixtures and its Application. Master’s Thesis, Zhejiang University, Hangzhou, China, 2014. [Google Scholar]
- Zeng, Q.; Li, K.; Fen-Chong, T.; Dangla, P. Determination of cement hydration and pozzlanic reaction extents for fly-ash cement pastes. Constr. Build. Mater. 2012, 27, 560–569. [Google Scholar] [CrossRef]













| W/B Ratio | Age/d | Repairable Crack Width/μm | Refs. | |
|---|---|---|---|---|
| Aldea et al. | 0.45 | 100 | 200–300 | [29] |
| Tomczak and Jakubowski | 0.28 | 28 | 388 | [30] |
| 0.23 | 460 | |||
| Ahn and Kishi | 0.45 | 3 | 150 | [32] |
| 7 | 160–220 | |||
| Yang et al. | 0.3 | - | 150 | [35] |
| Benny et al. | 0.28 | 21 | 40–75 | [36] |
| Liu et al. | 0.25 | 120 | 150 | [37] |
| Macroscopic Properties | Change Pattern under Rehydration |
|---|---|
| Cracks | Whether or not cracks are generated by rehydration within structures depends on whether or not there is space for rehydration products within these. |
| Mechanical properties | First increase then decrease. |
| Combined water | Increasing hydration of cement-based materials |
| Permeability | The permeability of cement-based materials decreases as the age of rehydration increases in the early stage of rehydration |
| Rehydration Products | Refs. |
|---|---|
| CaCO3 | [21,34,77] |
| Ca(OH)2, C-S-H gel and CaCO3 | [22] |
| C-S-H gel, Ca(OH)2, ettringite, and CaCO3 | [37] |
| Ca(OH)2, C-S-H gel | [74] |
| C-S-H gel | [75,81] |
| C-S-H gels, Ca(OH)2 and AFt | [76] |
| Ca(OH)2, CaCO3 | [80] |
| C-S-H gel, CaCO3 | [64] |
| Factor | Rehydration Rate Change Pattern |
|---|---|
| W/B ratio | The overall trend is to increase and then decrease |
| Rehydration temperature | As the rehydration temperature increases, the rehydration rate keeps increasing |
| Mineral admixture |
|
Disclaimer/Publisher’s Note: The statements, opinions and data contained in all publications are solely those of the individual author(s) and contributor(s) and not of MDPI and/or the editor(s). MDPI and/or the editor(s) disclaim responsibility for any injury to people or property resulting from any ideas, methods, instructions or products referred to in the content. |
© 2023 by the authors. Licensee MDPI, Basel, Switzerland. This article is an open access article distributed under the terms and conditions of the Creative Commons Attribution (CC BY) license (https://creativecommons.org/licenses/by/4.0/).
Share and Cite
Li, L.; Wang, Y.; An, M.; Yu, P.; Hou, X. The Influence of Rehydration on the Properties of Portland Cement-Based Materials with Low Water/Binder Ratios: A Review of Existing Research. Materials 2023, 16, 970. https://doi.org/10.3390/ma16030970
Li L, Wang Y, An M, Yu P, Hou X. The Influence of Rehydration on the Properties of Portland Cement-Based Materials with Low Water/Binder Ratios: A Review of Existing Research. Materials. 2023; 16(3):970. https://doi.org/10.3390/ma16030970
Chicago/Turabian StyleLi, Liangshun, Yue Wang, Mingzhe An, Peiyao Yu, and Xu Hou. 2023. "The Influence of Rehydration on the Properties of Portland Cement-Based Materials with Low Water/Binder Ratios: A Review of Existing Research" Materials 16, no. 3: 970. https://doi.org/10.3390/ma16030970
APA StyleLi, L., Wang, Y., An, M., Yu, P., & Hou, X. (2023). The Influence of Rehydration on the Properties of Portland Cement-Based Materials with Low Water/Binder Ratios: A Review of Existing Research. Materials, 16(3), 970. https://doi.org/10.3390/ma16030970
