Microstructure Evolution and Localized Corrosion Susceptibility of an Al-Zn-Mg-Cu-Zr 7xxx Alloy with Minor Cr Addition
Abstract
1. Introduction
2. Materials and Methods
2.1. Thermodynamic Simulation
2.2. Alloy Processing
2.3. Microstructure Characterization
2.4. Localized Corrosion Test
3. Results
3.1. Phase Diagram and Phase Equilibrium
3.2. Microstructure Evolution
3.2.1. Grain Structure
3.2.2. SEM Characterization of Primary Phase and Recrystallized Fraction
3.2.3. TEM Microstructure Characterization
3.2.4. Hardness Evolution
3.3. Pitting Corrosion Susceptibility
3.4. Intergranular Corrosion
4. Discussion
4.1. Influence of Cr on Microstructure
4.2. Quench Sensitivity Effect of Cr
4.3. Localized Corrosion Initiation and Propagation
5. Conclusions
- Under equilibrium conditions and within the studied composition range, formation of a coarse Al7Cr phase does not occur in 7449 alloy with Cr content of ≤0.12 wt.%
- Addition of 0.1 wt.% Cr in 7449 alloy results in the coarsening of the as-cast grain size and in the formation of Cu- and Zn-containing E (Al18Mg3Cr2) dispersoids, increasing the dispersoid volume fraction. These result in an improved recrystallization inhibition during processing.
- Quench sensitivity occurs with 0.1 wt.% Cr addition in 7449 alloy, which affects the hardness evolution. However, only a maximum of 4% drop in hardness was observed in peak-aged condition.
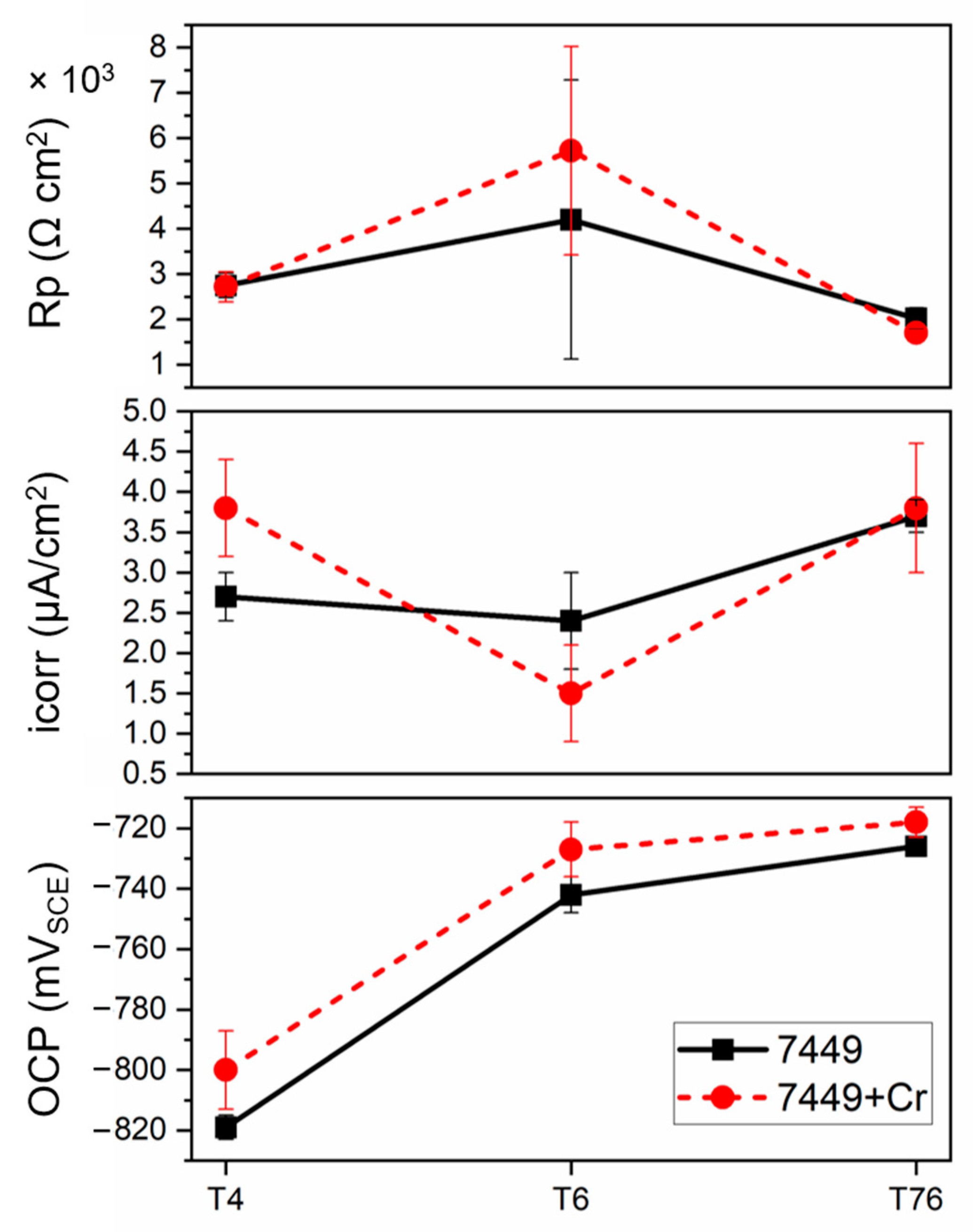
- Addition of 0.1 wt.% Cr shifts the OCP/breakdown potential (Eb) to a more positive direction after T4, T6 and T76 aging due to depletion of alloying elements, particularly Mg and Zn, from solid solution due to the formation of Cu- and Zn-containing E (Al18Mg3Cr2) dispersoids and quench-induced η Mg(Zn,Cu,Al)2 at the interface of E (Al18Mg3Cr2) with the matrix during processing.
- Susceptibility to corrosion attack after 24 h immersion in a pH 1 solution decreases with 0.1 wt.% Cr addition due to decreased fraction of HAGBs to LAGBs and the depletion of solute elements diffusing to the grain boundaries to form precipitates resulting from the formation of Cu- and Zn-containing E (Al18Mg3Cr2) dispersoids and the quench-induced η Mg(Zn,Mg,Cu)2 phase. Corrosion mechanisms are a combination of IGC and grain attack, and no mechanism change occurs with 0.1 wt.% Cr addition.
Author Contributions
Funding
Institutional Review Board Statement
Informed Consent Statement
Data Availability Statement
Acknowledgments
Conflicts of Interest
References
- Akuata, C.K.; Altenbach, C.; Schnatterer, C.; Suwanpinij, P.; Saiyasombat, C.; Zander, D. Age hardening response of AA7108A investigated by means of Synchrotron-based X-ray Absorption Spectroscopy (XAS) measurements. Mater. Sci. Eng. A 2019, 747, 42–52. [Google Scholar] [CrossRef]
- Wu, L.-M.; Wang, W.-H.; Hsu, Y.-F.; Trong, S. Effects of homogenization treatment on recrystallization behavior and dispersoid distribution in an Al–Zn–Mg–Sc–Zr alloy. J. Alloys Compd. 2008, 456, 163–169. [Google Scholar] [CrossRef]
- Jia, P.; Cao, Y.; Geng, Y.; He, L.; Xiao, N.; Cui, J. Studies on the microstructures and properties in phase transformation of homogenized 7050 alloy. Mater. Sci. Eng. A 2014, 612, 335–342. [Google Scholar] [CrossRef]
- Robson, J.D. Optimizing the homogenization of zirconium containing commercial aluminium alloys using a novel process model. Mater. Sci. Eng. A 2002, 338, 219–229. [Google Scholar] [CrossRef]
- Kai, W.; Baiqing, X.; Yongan, Z.; Guojun, W.; Xiwu, L.; Zhihui, L.; Shuhui, H.; Hongwei, L. Microstructure Evolution of a High Zinc Containing Al-Zn-Mg-Cu Alloy during Homogenization. Rare Met. Mater. Eng. 2017, 46, 928–934. [Google Scholar] [CrossRef]
- Robson, J.D.; Prangnell, P.B. Predicting recrystallised volume fraction in aluminium alloy 7050 hot rolled plate. Mater. Sci. Technol. 2002, 18, 607–614. [Google Scholar] [CrossRef]
- Adam, K.F.; Long, Z.; Field, D.P. Analysis of Particle-Stimulated Nucleation (PSN)-Dominated Recrystallization for Hot-Rolled 7050 Aluminum Alloy. Metall. Mater. Trans. A 2017, 48, 2062–2076. [Google Scholar] [CrossRef]
- Field, D.P.; Behrens, L.; Root, J.M. Identification of Particle Stimulated Nucleation during Recrystallization of AA 7050. Comput. Mater. Contin. 2009, 14, 171–184. [Google Scholar]
- Zhu, Y.; Sun, K.; Frankel, G.S. Intermetallic Phases in Aluminum Alloys and Their Roles in Localized Corrosion. J. Electrochem. Soc. 2018, 165, C807–C820. [Google Scholar] [CrossRef]
- Birbilis, N.; Buchheit, R.G. Electrochemical Characteristics of Intermetallic Phases in Aluminum Alloys. J. Electrochem. Soc. 2005, 152, B140. [Google Scholar] [CrossRef]
- Polmear, I.; StJohn, D.; Nie, J.-F.; Qian, M. 4—Wrought Aluminium Alloys. In Light Alloys, 5th ed.; Polmear, I., StJohn, D., Nie, J.-F., Qian, M., Eds.; Butterworth-Heinemann: Boston, MA, USA, 2017; pp. 157–263. [Google Scholar]
- Li, X.M.; Starink, M.J. Identification and analysis of intermetallic phases in overaged Zr-containing and Cr-containing Al–Zn–Mg–Cu alloys. J. Alloys Compd. 2011, 509, 471–476. [Google Scholar] [CrossRef]
- Thompson, D.S.; Subramanya, B.S.; Levy, S.A. Quench rate effects in Al-Zn-Mg-Cu alloys. Metall. Trans. 1971, 2, 1149–1160. [Google Scholar] [CrossRef]
- Mondolfo, L.F. Structure of the aluminium: Magnesium: Zinc alloys. Metall. Rev. 1971, 16, 95–124. [Google Scholar] [CrossRef]
- Zhai, F.; Wang, L.; Gao, X.; Feng, Y.; Zhao, S.; Wang, L. Study on Phases Formation and Modification Ability of Rare Earth Elements La, Ce, Sm and Er in Al–Zn–Mg–Cu–Zr Alloy. Trans. Indian Inst. Met. 2021, 74, 2639–2649. [Google Scholar] [CrossRef]
- Liu, S.; Zhong, Q.; Zhang, Y.; Liu, W.; Zhang, X.; Deng, Y. Investigation of quench sensitivity of high strength Al–Zn–Mg–Cu alloys by time–temperature-properties diagrams. Mater. Des. 2010, 31, 3116–3120. [Google Scholar] [CrossRef]
- Ding, L.; Zhao, L.; Weng, Y.; Schryvers, D.; Liu, Q.; Idrissi, H. Atomic-scale investigation of the heterogeneous precipitation in the E (Al18Mg3Cr2) dispersoid of 7075 aluminum alloy. J. Alloys Compd. 2021, 851, 156890. [Google Scholar] [CrossRef]
- International Alloy Designations and Chemical Composition Limits for Wrought Aluminum and Wrought Aluminum Alloys; The Aluminum Association: Arlington, TX, USA, 2018; Available online: https://www.aluminum.org/sites/default/files/2021-11/TealSheet.pdf (accessed on 15 June 2022).
- Chen, K.H.; Fang, H.C.; Zhang, Z.; Chen, X.; Liu, G. Effect of of Yb, Cr and Zr additions on recrystallization and corrosion resistance of Al–Zn–Mg–Cu alloys. Mater. Sci. Eng. A 2008, 497, 426–431. [Google Scholar] [CrossRef]
- Fang, H.C.; Chen, K.H.; Chen, X.; Chao, H.; Peng, G.S. Effect of Cr, Yb and Zr additions on localized corrosion of Al–Zn–Mg–Cu alloy. Corros. Sci. 2009, 51, 2872–2877. [Google Scholar] [CrossRef]
- Wang, M.; Huang, L.; Chen, K.; Liu, W. Influence of minor combined addition of Cr and Pr on microstructure, mechanical properties and corrosion behaviors of an ultrahigh strength Al-Zn-Mg-Cu-Zr alloy. Micron 2018, 104, 80–88. [Google Scholar] [CrossRef]
- Fang, H.C.; Chao, H.; Chen, K.H. Effect of Zr, Er and Cr additions on microstructures and properties of Al–Zn–Mg–Cu alloys. Mater. Sci. Eng. A 2014, 610, 10–16. [Google Scholar] [CrossRef]
- Liao, X.Z.; Li, Y.X.; Dong, P.X.; Chen, K.H. Effect of Minor Cr Additions on Dispersed Phase and Properties of Al-Zn-Mg-Cu-Zr Alloys. J. Mater. Sci. Chem. Eng. 2020, 8, 27–36. [Google Scholar] [CrossRef]
- Peng, G.; Chen, K.; Fang, H.; Chen, S. Effect of Cr and Yb additions on microstructure and properties of low copper Al–Zn–Mg–Cu–Zr alloy. Mater. Des. 2012, 36, 279–283. [Google Scholar] [CrossRef]
- Desch, P.B.; Schwarz, R.B.; Nash, P. Formation of metastable L12 phases in Al3Zr and Al-12.5%X-25%Zr (X ≡ Li, Cr, Fe, Ni, Cu). J. Less Common Met. 1991, 168, 69–80. [Google Scholar] [CrossRef]
- Sparks, C.J.; Porter, W.D.; Schneibel, J.H.; Oliver, W.C.; Golec, C.G. Formation of Cubic L12 Phases from A13Ti and A13Zr by Transition Metal Substitutions for A1. MRS Online Proc. Libr. 1990, 186, 175–180. [Google Scholar] [CrossRef]
- Schneibel, J.H.; Porter, W.D. Microstructure and Mechanical Properties of Ll2-Structure Alloys Based on Al3Zr. MRS Online Proc. Libr. 2011, 133, 335. [Google Scholar] [CrossRef]
- ISO 11846:95; Corrosion of Metals and Alloys—Determination of Resistance to Intergranular Corrosion of Solution Heat-treatable Aluminium Alloys. International Organization for Standardization: Geneva, Switzerland, 1995.
- Baba, Y.; Terai, S. “Giant” Chromium Intermetallic Compounds and Stress Corrosion Cracking in Al-Zn-Mg-Cu Alloys. J. Jpn. Inst. Met. 1964, 28, 102–107. [Google Scholar] [CrossRef] [PubMed]
- Malekan, M.; Emamy, M.; Mossayebi, N.; Lotfpour, M. Effects of Al3Ni and Al7Cr Intermetallics and T6 Heat Treatment on the Microstructure and Tensile Properties of Al-Zn-Mg-Cu Alloy. J. Mater. Eng. Perform. 2020, 29, 3432–3442. [Google Scholar] [CrossRef]
- Alvi, M.H.; Cheong, S.W.; Weiland, H.; Rollett, A.D. Recrystallization and Texture Development in Hot Rolled 1050 Aluminum. Mater. Sci. Forum 2004, 467–470, 357–362. Available online: https://www.scientific.net/MSF.467-470.357 (accessed on 14 April 2021). [CrossRef]
- Alvi, M.H.; Cheong, S.W.; Suni, J.P.; Weiland, H.; Rollett, A.D. Cube texture in hot-rolled aluminum alloy 1050 (AA1050)—Nucleation and growth behavior. Acta Mater. 2008, 56, 3098–3108. [Google Scholar] [CrossRef]
- Deschamps, A.; Bréchet, Y. Influence of quench and heating rates on the ageing response of an Al–Zn–Mg–(Zr) alloy. Mater. Sci. Eng. A 1998, 251, 200–207. [Google Scholar] [CrossRef]
- Andreatta, F.; Terryn, H.; de Wit, J.H.W. Corrosion behaviour of different tempers of AA7075 aluminium alloy. Electrochim. Acta 2004, 49, 2851–2862. [Google Scholar] [CrossRef]
- Maitra, S.; English, G.C. Mechanism of localized corrosion of 7075 alloy plate. Metall. Trans. A 1981, 12, 535–541. [Google Scholar] [CrossRef]
- Pickens, J.R.; Langan, T.J. The effect of solution heat-treatment on grain boundary segregation and stress-corrosion cracking of Al-Zn-Mg alloys. Metall. Trans. A 1987, 18, 1735–1744. [Google Scholar] [CrossRef]
- Wang, S.-S.; Frankel, G.S.; Jiang, J.-T.; Chen, J.-F.; Dai, S.-L.; Zhen, L. Mechanism of Localized Breakdown of 7000 Series Aluminum Alloys. J. Electrochem. Soc. 2013, 160, C493–C502. [Google Scholar] [CrossRef]
- Wang, S.-S.; Huang, I.W.; Yang, L.; Jiang, J.-T.; Chen, J.-F.; Dai, S.-L.; Seidman, D.N.; Frankel, G.S.; Zhen, L. Effect of Cu Content and Aging Conditions on Pitting Corrosion Damage of 7xxx Series Aluminum Alloys. J. Electrochem. Soc. 2015, 162, C150–C160. [Google Scholar] [CrossRef]
- Zhao, H.; Gault, B.; Ponge, D.; Raabe, D.; De Geuser, F. Parameter free quantitative analysis of atom probe data by correlation functions: Application to the precipitation in Al-Zn-Mg-Cu. Scr. Mater. 2018, 154, 106–110. [Google Scholar] [CrossRef]
- Ramgopal, T.; Gouma, P.I.; Frankel, G.S. Role of Grain-Boundary Precipitates and Solute-Depleted Zone on the Intergranular Corrosion of Aluminum Alloy 7150. Corrosion 2002, 58, 687–697. [Google Scholar] [CrossRef]
- Hansen, V.; Karlsen, O.B.; Langsrud, Y.; Gjønnes, J. Precipitates, zones and transitions during aging of Al-Zn-Mg-Zr 7000 series alloy. Mater. Sci. Technol. 2004, 20, 185–193. [Google Scholar] [CrossRef]
- Embury, J.D.; Lloyd, D.J.; Ramachandran, T.R. 22—Strengthening Mechanisms in Aluminum Alloys. In Treatise on Materials Science & Technology; Vasudevan, A.K., Doherty, R.D., Eds.; Elsevier: Amsterdam, The Netherlands, 1989; Volume 31, pp. 579–601. [Google Scholar]
- Meng, Q.; Frankel, G.S. Effect of Cu Content on Corrosion Behavior of 7xxx Series Aluminum Alloys. J. Electrochem. Soc. 2004, 151, B271. [Google Scholar] [CrossRef]
- Antonio, J.A.M.; Lfo, L.F.M. Grain refinement in aluminum alloyed with titanium and boron. Metall. Trans. 1971, 2, 465–471. [Google Scholar] [CrossRef]
- Arjuna Rao, A.; Murty, B.S.; Chakraborty, M. Influence of chromium and impurities on the grain- refining behavior of aluminum. Metall. Mater. Trans. A 1996, 27, 791–800. [Google Scholar] [CrossRef]
- Murty, B.; Kori, S.; Chakraborty, M. Grain refinement of aluminum and its alloys by heterogeneous nucleation and alloying. Int. Mater. Rev. 2002, 47, 3–29. [Google Scholar] [CrossRef]
- Rometsch, P.A.; Zhang, Y.; Knight, S. Heat treatment of 7xxx series aluminium alloys—Some recent developments. Trans. Nonferrous Met. Soc. China 2014, 24, 2003–2017. [Google Scholar] [CrossRef]
- Jones, G.P.; Pearson, J. Factors affecting the grain-refinement of aluminum using titanium and boron additives. Metall. Trans. B 1976, 7, 223–234. [Google Scholar] [CrossRef]
- McCartney, D.G. Grain refining of aluminium and its alloys using inoculants. Int. Mater. Rev. 1989, 34, 247–260. [Google Scholar] [CrossRef]
- Robson, J.D.; Prangnell, P.B. Dispersoid precipitation and process modelling in zirconium containing commercial aluminium alloys. Acta Mater. 2001, 49, 599–613. [Google Scholar] [CrossRef]
- Conserva, M.; Di Russo, E.; Caloni, O. Comparison of the influence of chromium and zirconium on the quench sensitivity of Al-Zn-Mg-Cu alloys. Metall. Trans. 1971, 2, 1227–1232. [Google Scholar] [CrossRef]
- Bay, B.; Hansen, N. Initial stages of recrystallization in aluminum of commercial purity. Metall. Trans. A 1979, 10, 279–288. [Google Scholar] [CrossRef]
- Leng, J.-f.; Ren, B.-h.; Zhou, Q.-b.; Zhao, J.-w. Effect of Sc and Zr on recrystallization behavior of 7075 aluminum alloy. Trans. Nonferrous Met. Soc. China 2021, 31, 2545–2557. [Google Scholar] [CrossRef]
- Fang, H.C.; Chao, H.; Chen, K.H. Effect of recrystallization on intergranular fracture and corrosion of Al–Zn–Mg–Cu–Zr alloy. J. Alloys Compd. 2015, 622, 166–173. [Google Scholar] [CrossRef]
- Mukhopadhyay, A.K. Microstructure and properties of high strength aluminium alloys for structural applications. Trans. Indian Inst. Met. 2009, 62, 113–122. [Google Scholar] [CrossRef]
- Starke, E.A.; Staley, J.T. Application of modern aluminum alloys to aircraft. Prog. Aerosp. Sci. 1996, 32, 131–172. [Google Scholar] [CrossRef]
- Zhang, Y.; Bettles, C.; Rometsch, P.A. Effect of recrystallisation on Al3Zr dispersoid behaviour in thick plates of aluminium alloy AA7150. J. Mater. Sci. 2014, 49, 1709–1715. [Google Scholar] [CrossRef]
- Ayer, R.; Koo, J.Y.; Steeds, J.W.; Park, B.K. Microanalytical study of the heterogeneous phases in commercial Al-Zn-Mg-Cu alloys. Metall. Trans. A 1985, 16, 1925–1936. [Google Scholar] [CrossRef]
- Speidel, M.O. Stress corrosion cracking of aluminum alloys. Metall. Trans. A 1975, 6, 631. [Google Scholar] [CrossRef]
- Wloka, J.; Virtanen, S. Detection of nanoscale η-MgZn2 phase dissolution from an Al-Zn-Mg-Cu alloy by electrochemical microtransients. Surf. Interface Anal. 2008, 40, 1219–1225. [Google Scholar] [CrossRef]


















| Composition | Al | Zn | Mg | Cu | Zr | Ti | Fe | Si | Cr |
|---|---|---|---|---|---|---|---|---|---|
| 7449 | Bal. | 7.63 | 1.97 | 1.72 | 0.11 | 0.027 | 0.08 | 0.06 | - |
| 7449+Cr | Bal. | 7.63 | 1.97 | 1.64 | 0.10 | 0.027 | 0.08 | 0.10 | 0.10 |
Disclaimer/Publisher’s Note: The statements, opinions and data contained in all publications are solely those of the individual author(s) and contributor(s) and not of MDPI and/or the editor(s). MDPI and/or the editor(s) disclaim responsibility for any injury to people or property resulting from any ideas, methods, instructions or products referred to in the content. |
© 2023 by the authors. Licensee MDPI, Basel, Switzerland. This article is an open access article distributed under the terms and conditions of the Creative Commons Attribution (CC BY) license (https://creativecommons.org/licenses/by/4.0/).
Share and Cite
Akuata, C.K.; Gunawan, F.R.; Suwanpinij, P.; Zander, D. Microstructure Evolution and Localized Corrosion Susceptibility of an Al-Zn-Mg-Cu-Zr 7xxx Alloy with Minor Cr Addition. Materials 2023, 16, 946. https://doi.org/10.3390/ma16030946
Akuata CK, Gunawan FR, Suwanpinij P, Zander D. Microstructure Evolution and Localized Corrosion Susceptibility of an Al-Zn-Mg-Cu-Zr 7xxx Alloy with Minor Cr Addition. Materials. 2023; 16(3):946. https://doi.org/10.3390/ma16030946
Chicago/Turabian StyleAkuata, Chijioke Kenneth, Feliksianus Robby Gunawan, Piyada Suwanpinij, and Daniela Zander. 2023. "Microstructure Evolution and Localized Corrosion Susceptibility of an Al-Zn-Mg-Cu-Zr 7xxx Alloy with Minor Cr Addition" Materials 16, no. 3: 946. https://doi.org/10.3390/ma16030946
APA StyleAkuata, C. K., Gunawan, F. R., Suwanpinij, P., & Zander, D. (2023). Microstructure Evolution and Localized Corrosion Susceptibility of an Al-Zn-Mg-Cu-Zr 7xxx Alloy with Minor Cr Addition. Materials, 16(3), 946. https://doi.org/10.3390/ma16030946

