Thermoelectric Properties of Nickel and Selenium Co-Doped Tetrahedrite
Abstract
1. Introduction
2. Materials and Methods
3. Results
3.1. Electronic Band Structure Calculations
3.2. Thermoelectric Properties Simulations
3.3. X-Ray Diffraction and Raman Spectroscopy
3.4. SEM/EDSs
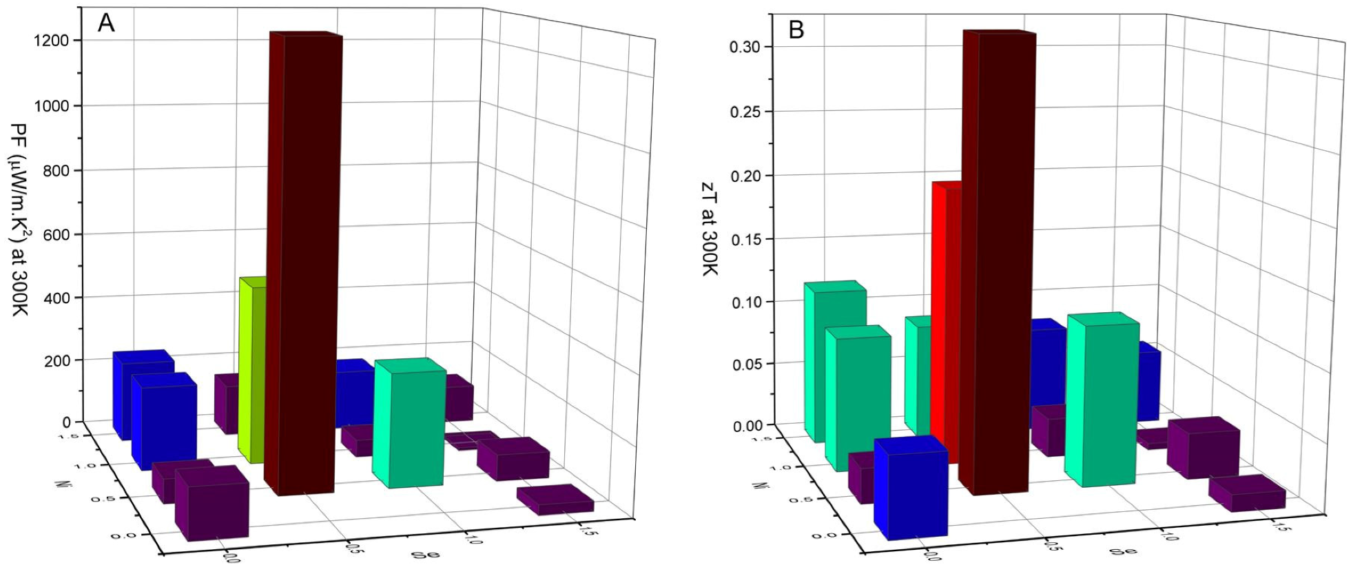
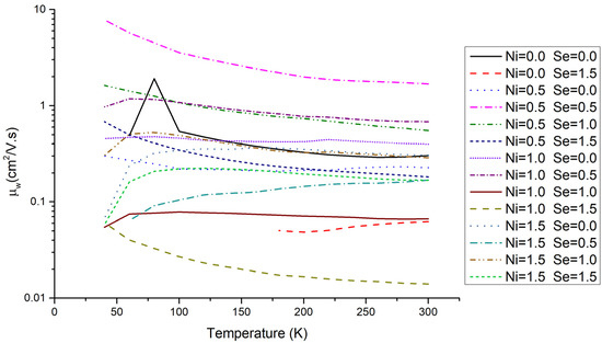
3.5. Thermoelectric Properties
4. Discussion
5. Conclusions
Author Contributions
Funding
Institutional Review Board Statement
Informed Consent Statement
Data Availability Statement
Acknowledgments
Conflicts of Interest
References
- Forman, C.; Muritala, I.K.; Pardemann, R.; Meyer, B. Estimating the global waste heat potential. Renew. SustaiEnergy Rev. 2016, 57, 1568–1579. [Google Scholar] [CrossRef]
- Massaguer, A.; Pujol, T.; Comamala, M.; Massaguer, E. Feasibility study on a vehicular thermoelectric generator coupled to an exhaust gas heater to improve aftertreatment’s efficiency in cold-starts. Appl. Therm. Eng. 2020, 167, 114702. [Google Scholar] [CrossRef]
- Firth, A.; Zhang, B.; Yang, A. Quantification of global waste heat and its environmental effects. Appl. Energy 2019, 235, 1314–1334. [Google Scholar] [CrossRef]
- Rowe, D.M. Handbook of Thermoelectrics; CRC Press: Boca Raton, FL, USA, 1995; 666p. [Google Scholar]
- Rowe, D.M. (Ed.) Thermolectrics Handbook-Macro to Nano; CRC Press: Boca Raton, FL, USA, 2006. [Google Scholar]
- Jacoby, M. Thermoelectrics Rise Again- Heating, cooling, power generation technology makes a comeback thanks to material sciences discoveries. Chem. Eng. News 2015, 93. Available online: https://cen.acs.org/magazine/93/09319.html (accessed on 5 June 2022).
- Emery, G. Nuclear Pacemaker Still Energized after 34 Years. Reuters. 2007. Available online: https://uk.reuters.com/article/health-heart-pacemaker-dc/nuclear-pacemaker-still-energized-after-34-years-idUKN1960427320071219 (accessed on 5 June 2022).
- Administration USD of ENNS. Nuclear-Powered Cardiac Pacemakers-Off-Site Source Recovery Program Fact Sheet, Los Alamos National Laboratory. 2018. Available online: https://osrp.lanl.gov/Documents/Pacemaker%20Fact%20Sheet.pdf (accessed on 5 June 2022).
- Bennett, G.L. Space nuclear power: Opening the final frontier. In Proceedings of the 4th International Energy Conversion Engineering Conference and Exhibit (IECEC), San Diego, CA, USA, 26–29 June 2006; pp. 1433–1449. [Google Scholar]
- Alimov, R. Radioisotope Thermoelectric Generators. Bellona. 2005. Available online: https://bellona.org/news/nuclear-issues/radioactive-waste-and-spent-nuclear-fuel/2005-04-radioisotope-thermoelectric-generators-2 (accessed on 2 November 2022).
- U.S. Congress. Office of Technology Assessmen Power Sources for Remote Arctic Applications June 1994; U.S. Congress: Washington, DC, USA, 1994. [Google Scholar]
- Piggott, A. How Thermoelectric Generators Work. Applied Thermoelectric Solutions LLC. 2022. Available online: https://thermoelectricsolutions.com/how-thermoelectric-generators-work (accessed on 21 June 2022).
- Faraji, A.Y.; Date, A.; Singh, R.; Akbarzadeh, A. Base-load thermoelectric power generation using evacuated tube solar collector and water storage tank. Energy Procedia 2014, 57, 2112–2120. [Google Scholar] [CrossRef]
- Mahan, G.D. Good Thermoelectrics. In Solid State Physics; Academic Press: Cambridge, MA, USA, 1998; pp. 81–157. [Google Scholar]
- Chen, Z.; Han, G.; Yang, L.; Cheng, L.; Zou, J. Nanostructured thermoelectric materials: Current research and future challenge. Prog. Nat. Sci. Mater. Int. 2012, 22, 535–549. [Google Scholar] [CrossRef]
- Finn, P.A.; Asker, C.; Wan, K.; Bilotti, E.; Fenwick, O.; Nielsen, C.B. Thermoelectric Materials: Current Status and Future Challenges. Front. Electron. Mate 2021, 1, 1–13. [Google Scholar] [CrossRef]
- Vining, C.B. An inconvenient truth about thermoelectrics. Nat. Mater. 2009, 8, 83–85. Available online: www.nature.com/naturematerials (accessed on 2 November 2022). [CrossRef]
- Terasaki, I. Introduction to Thermoelectricity. In Materials for Energy Conversion Devices: A Volume in Woodhead Publishing Series in Electronic and Optical Materials; CRC Press: Boca Raton, FL, USA; Boston, MA, USA; New York, NY, USA; Washington, DC, USA, 2005; pp. 339–357. [Google Scholar]
- Goldsmid, H.J. Introduction to Thermoelectricity; Hull, R., Parisi, J., Osgood, J.R.M., Warlimont, H., Eds.; Springer: Berlin/Heidelberg, Germany, 2010; 240p. [Google Scholar]
- Shi, Y.; Sturm, C.; Kleinke, H. Chalcogenides as thermoelectric materials. J. Solid State Chem. 2019, 270, 273–279. [Google Scholar] [CrossRef]
- Mulla, R.; Rabinal, M.H.K. Copper Sulfides: Earth-Abundant and Low Cost Thermoelectric Materials. Energy Technol. 2019, 7, 1–120. [Google Scholar] [CrossRef]
- US Energy Department Thermoelectric Materials, Devices and Systems: Technology Assessment. 2015. Available online: https://www.energy.gov/sites/prod/files/2015/02/f19/QTR%0ACh8%0A-%0AThermoelectic%0AMaterials%0ATA%0AFeb-13-2015.pdf%0Ahttps://www.energy.gov/sites/prod/files/2015/02/f19/QTR-Ch8—Thermoelectic-Materials-TA-Feb-13-2015.pdf (accessed on 2 November 2022).
- LeBlanc, S. Thermoelectric generators: Linking material properties and systems engineering for waste heat recovery applications. Sustain. Mater. Technol. 2014, 1–2, 26–35. [Google Scholar] [CrossRef]
- Powell, A.V. Recent developments in Earth-abundant copper-sulfide thermoelectric materials. J. Appl. Phys. 2019, 126, 100901. [Google Scholar] [CrossRef]
- Anthony, J.W.; Bideaux, R.A.; Bladh, K.W.; Nichols, M.C. Handbook of Mineralogy Crystal Data. Mineralogical Society of America; Mineral Data Publishing: Tucson, AZ, USA, 2010; 657p. [Google Scholar]
- Chetty, R.; Bali, A.; Mallik, R.C. Tetrahedrites as thermoelectric materials: An overview. J. Mater. Chem. C 2015, 3, 12364–12378. [Google Scholar] [CrossRef]
- Uher, C. (Ed.) Materials Aspect of Thermoelectricity; CRC Press Taylor & Francis Group: Boca Raton, FL, USA, 2017; 597p. [Google Scholar]
- Brito, F.P.; Peixoto, J.S.; Martins, J.; Gonçalves, A.P.; Louca, L.; Vlachos, N.; Kyratsi, T. Analysis and design of a silicide-tetrahedrite thermoelectric generator concept suitable for large-scale industrial waste heat recovery. Energies 2021, 14, 5655. [Google Scholar] [CrossRef]
- Brito, F.P.; Vieira, R.; Martins, J.; Goncalves, L.M.; Goncalves, A.P.; Coelho, R.; Lopes, E.B.; Symeou, E.; Kyratsi, T. Analysis of thermoelectric generator incorporating n-magnesium silicide and p-tetrahedrite materials. Energy Convers. Manag. 2021, 236, 114003. [Google Scholar] [CrossRef]
- Chen, W.H.; Lin, Y.-X.; Wang, X.-D.; Lin, Y.-L. A comprehensive analysis of the performance of thermoelectric generators with constant and variable properties. Appl. Energy 2019, 241, 11–24. [Google Scholar] [CrossRef]
- Ghassemi, N.; Lu, X.; Tian, Y.; Conant, E.; Yan, Y.; Zhou, X.; Ross, J.H., Jr. Structure Change and Rattling Dynamics in Cu12Sb4S13 Tetrahedrite: An NMR Study. ACS Appl. Mater. Interfaces 2018, 10, 36010–36017. [Google Scholar] [CrossRef] [PubMed]
- Candolfi, C.; Bouyrie, Y.; Sassi, S.; Dauscher, A.; Lenoir, B. Tetrahedrites: Prospective Novel Thermoelectric Materials. In Thermoelectrics for Power Generation—A Look at Trends in the Technology; IntechOpen: London, UK, 2016; pp. 71–89. [Google Scholar]
- Lai, W.; Wang, Y.; Morelli, D.T.; Lu, X. From Bonding Asymmetry to Anharmonic Rattling in Cu12Sb4S13 Tetrahedrites: When Lone-Pair Electrons Are Not So Lonely. Adv. Funct. Mate 2015, 25, 3648–3657. [Google Scholar] [CrossRef]
- Suekuni, K.; Tsuruta, K.; Kunii, M.; Nishiate, H.; Nishibori, E.; Maki, S.; Ohta, M.; Yamamoto, A.; Koyano, M. High-performance thermoelectric mineral Cu12-xNixSb4S13 tetrahedrite. Appl. Phys. 2013, 113, 043712. [Google Scholar] [CrossRef]
- Xia, Y.; Ozoliņš, V.; Wolverton, C. Microscopic Mechanisms of Glass-Like Lattice Thermal Transport in Cubic Cu12Sb4S13 Tetrahedrites. Phys. Rev. Lett. 2020, 125, 1–7. [Google Scholar] [CrossRef]
- Shively, B. How Much Primary Energy Is Wasted Before Consumers See Value from Electricity? 2018. Available online: https://www.enerdynamics.com/Energy-Currents_Blog/How-Much-Primary-Energy-Is-Wasted-Before-Consumers-See-Value-from-Electricity.aspx (accessed on 7 December 2022).
- Lu, X. Thermoelectric Properties of Natural Mineral Based Tetrahedrite Compounds; Michigan State University: East Lansing, MI, USA, 2014. [Google Scholar]
- Chetty, R.; Kumar, P.K.D.; Rogl, G.; Rogl, P.; Bauer, E.; Michor, H.; Suwas, S.; Puchegger, S.; Giester, G.; Mallik, R.C. Thermoelectric properties of a Mn substituted synthetic tetrahedrite. Phys. Chem. Chem. Phys. 2015, 17, 1716–1727. [Google Scholar] [CrossRef] [PubMed]
- Lu, X.; Morelli, D.T.; Wang, Y.; Lai, W.; Xia, Y.; Ozolins, V. Phase Stability, Crystal Structure, and Thermoelectric Properties of Cu12Sb4S13-xSex Solid Solutions. Chem. Mate 2016, 28, 1781–1786. [Google Scholar] [CrossRef]
- Alves, T.K.C.; Domingues, G.; Lopes, E.B.; Gonçalves, A.P. Effect of Composition on Thermoelectric Properties of As-Cast Materials: The Cu12−xCoxSb4S13−ySey Case. J. Electron. Mater. 2019, 48, 2028–2035. [Google Scholar] [CrossRef]
- Holland, T.J.B.; Redfern, S.A.T. UNITCELL: A nonlinear least-squares program for cell-parameter refinement implementing regression and deletion diagnostics. J. Appl. Crystallogr. 1997, 30, 84. [Google Scholar] [CrossRef]
- Chaikin, P.M.; Kwak, J.F. Apparatus for thermopower measurements on organic conductors. Rev. Sci. Instrum. 1975, 46, 218–220. [Google Scholar] [CrossRef]
- Ravaji, K.; Ezzati, R.; Mohammadi, A.H.; Abbas, S.A. Electric and Thermoelectric Properties of Cu12Sb4S13 Tetrahedrite with Impurities. Preprint 2019, 1, 1–14. [Google Scholar]
- Knížek, K.; Levinský, P.; Hejtmánek, J. LDA + U Calculation of Electronic and Thermoelectric Properties of Doped Tetrahedrite Cu12Sb4S13. J. Electron. Mater. 2019, 48, 2018–2021. [Google Scholar] [CrossRef]
- Blaha, P.; Schwarz, K.; Madsen, G.K.H.; Kvasnicka, D.; Luitz, J. WIEN2k, An Augmented Plane Wave Plus Local Orbitals Program for Calculating Crystal Properties; Vienna University of Technology Institute of Materials Chemistry: Vienna, Austria, 2021. [Google Scholar]
- Madsen, G.K.H.; Singh, D.J. BoltzTraP. A code for calculating band-structure dependent quantities. Comput. Phys. Commun. 2006, 175, 67–71. [Google Scholar] [CrossRef]
- Lu, X.; Yao, W.; Wang, G.; Zhou, X.; Morelli, D.; Zhang, Y.; Chi, H.; Hui, S.; Uher, C. Band structure engineering in highly degenerate tetrahedrites through isovalent doping. J. Mater. Chem. A 2016, 4, 17096–17103. [Google Scholar] [CrossRef]
- Sun, F.H.; Dong, J.; Dey, S.; Wu, C.F.; Pan, Y.; Tang, H.; Li, J.F. Enhanced thermoelectric performance of Cu12Sb4S13-δ tetrahedrite via nickel doping. Sci. China Mater. 2018, 61, 1209–1217. [Google Scholar] [CrossRef]
- Suekuni, K.; Tsuruta, K.; Ariga, T.; Koyano, M. Thermoelectric properties of mineral tetrahedrites Cu10Tr2Sb4S13 with Low Thermal Conductivity. Appl. Phys. Express 2012, 5, 2–5. [Google Scholar] [CrossRef]
- Barbier, T.; Rollin-Martinet, S.; Lemoine, P.; Gascoin, F.; Kaltzoglou, A.; Vaqueiro, P.; Powell, A.V.; Guilmeau, E. Thermoelectric Materials: A New Rapid Synthesis Process for Nontoxic and High-Performance Tetrahedrite Compounds. J. Am. Ceram Soc. 2016, 99, 51–56. [Google Scholar] [CrossRef]
- Wang, J.; Gu, M.; Bao, Y.; Li, X.; Chen, L. Quick Fabrication and Thermoelectric Properties of Cu12Sb4S13 Tetrahedrite. J. Electron. Mater. 2016, 45, 2274–2277. [Google Scholar] [CrossRef]
- Weller, D.P.; Kunkel, G.E.; Ochs, A.M.; Morelli, D.T.; Anderson, M.E. Observation of n-type behavior in Fe-doped tetrahedrite at low temperature. Mater. Today Phys. 2018, 7, 1–6. [Google Scholar] [CrossRef]
- Snyder, G.J.; Snyder, A.H.; Wood, M.; Gurunathan, R.; Snyder, B.H.; Niu, C. Weighted Mobility. Adv. Mater. 2020, 32, 2001537. [Google Scholar] [CrossRef]
- Snyder, G.J.; Toberer, E.S. Complex thermoelectric materials. Nat. Mater. 2008, 7, 105–114. [Google Scholar] [CrossRef]
- Kim, H.S.; Gibbs, Z.M.; Tang, Y.; Wang, H.; Snyder, G.J. Characterization of Lorenz number with Seebeck coefficient measurement. APL Mater. 2015, 3, 1–6. [Google Scholar] [CrossRef]
- Thesberg, M.; Kosina, H.; Neophytou, N. On the Lorenz number of multiband materials. Phys. Rev. B 2017, 95, 1–14. [Google Scholar] [CrossRef]
- Heo, J.; Laurita, G.; Muir, S.; Subramanian, M.A.; Keszler, D.A. Enhanced Thermoelectric Performance of Synthetic Tetrahedrites. Chem. Mater. 2014, 26, 2047–2051. [Google Scholar] [CrossRef]










| Ni Content 1 | Se Content 1 | Cu (at%) | Ni (at%) | Sb (at%) | S (at%) | Se (at%) | Molecular Formula 2 |
|---|---|---|---|---|---|---|---|
| 0 | 0 | 48.1 | 0 | 12.9 | 39.0 | 0 | Cu13.94Sb3.75S11.31 |
| 0.5 | 0 | 44.4 | 2.1 | 12.1 | 41.3 | 0 | Cu12.88Ni0.62Sb3.52S11.97 |
| 0 | 0.5 | 41.3 | 0 | 14.4 | 43.4 | 0.9 | Cu11.98Sb4.18S12.58Se0.26 |
| 0.5 | 0.5 | 39.6 | 1.2 | 13.0 | 44.7 | 1.5 | Cu11.50Ni0.35Sb3.76S12.96Se0.43 |
| 1 | 0 | 47.4 | 4.2 | 13.2 | 35.2 | 0 | Cu13.74Ni1.23Sb3.84S10.20 |
| 1 | 0.5 | 43.5 | 4.2 | 12.8 | 38.2 | 1.3 | Cu12.62Ni1.22Sb3.71S11.08Se0.37 |
| 0 | 1 | 47.3 | 0 | 12.6 | 35.6 | 4.6 | Cu13.71Sb3.95S10.31Se1.32 |
| 0.5 | 1 | 47.0 | 1.9 | 13.2 | 34.8 | 3.2 | Cu13.64Ni0.54Sb3.83S10.08Se0.92 |
| 1 | 1 | 46.8 | 1.6 | 14.0 | 35.4 | 2.3 | Cu13.57Ni0.46Sb4.06S10.26Se0.66 |
| 1.5 | 0 | 44.6 | 5.4 | 12.5 | 37.5 | 0 | Cu12.94Ni1.56Sb3.63S10.88 |
| 1.5 | 0.5 | 44.1 | 4.8 | 12.8 | 38.3 | 0 | Cu12.80Ni1.38Sb3.70S11.12 |
| 1.5 | 1 | 44.2 | 4.5 | 12.4 | 33.9 | 5.0 | Cu12.82Ni1.31Sb3.59S9.82Se1.46 |
| 0 | 1.5 | 44.2 | 0 | 13.3 | 35.8 | 6.8 | Cu12.82Sb3.85S10.37Se1.96 |
| 0.5 | 1.5 | 42.0 | 1.2 | 12.1 | 38.3 | 6.4 | Cu12.17Ni0.35Sb3.50S11.12Se1.86 |
| 1 | 1.5 | 41.2 | 3.3 | 11.9 | 40.0 | 3.7 | Cu11.94Ni0.94Sb3.45S11.59Se1.08 |
| 1.5 | 1.5 | 44.2 | 5.6 | 14.2 | 29.2 | 6.9 | Cu12.81Ni1.62Sb4.11S8.47Se2.00 |
| Ni Content 1 | Se Content 1 | Cu (at%) | Ni (at%) | Sb (at%) | S (at%) | Se (at%) | Molecular Formula 2 |
|---|---|---|---|---|---|---|---|
| 0 | 0 | 42.0 | 0 | 14.4 | 43.6 | 0 | Cu12.18Sb4.18S12.64 |
| 0.5 | 0 | 40.1 | 1.9 | 14.2 | 43.9 | 0 | Cu11.61Ni0.56Sb4.11S12.72 |
| 0 | 0.5 | 40.6 | 0 | 14.1 | 44.1 | 1.2 | Cu11.78Sb4.08S12.79Se0.35 |
| 0.5 | 0.5 | 40.2 | 1.4 | 13.9 | 43.5 | 1.3 | Cu11.67Ni0.41Sb4.03S12.62Se0.39 |
| 1 | 0 | 39.0 | 2.6 | 13.8 | 44.7 | 0 | Cu11.30Ni0.75Sb4.0S12.95 |
| 1 | 0.5 | 38.4 | 3.8 | 14.4 | 41.9 | 1.6 | Cu11.14Ni1.10Sb4.17S12.15Se0.45 |
| 0 | 1 | 38.9 | 0 | 12.7 | 44.7 | 3.7 | Cu11.29Sb3.67S12.97Se1.08 |
| 0.5 | 1 | 39.4 | 2.1 | 13.7 | 42.0 | 2.8 | Cu11.42Ni0.61Sb3.98S12.18Se0.81 |
| 1 | 1 | 37.3 | 4.7 | 13.9 | 41.6 | 2.5 | Cu10.81Ni1.37Sb4.03S12.07Se0.72 |
| 1.5 | 0 | 37.7 | 4.5 | 14.3 | 43.6 | 0 | Cu10.94Ni1.30Sb4.13S12.63 |
| 1.5 | 0.5 | 38.3 | 4.0 | 14.1 | 42.5 | 1.2 | Cu11.12Ni1.15Sb4.07S12.32Se0.34 |
| 1.5 | 1 | 37.3 | 4.8 | 14.2 | 41.2 | 2.6 | Cu10.83Ni1.38Sb4.12S11.93Se0.74 |
| 0 | 1.5 | 42.5 | 0 | 14.4 | 39.2 | 3.9 | Cu12.33Sb4.16S11.37Se1.14 |
| 0.5 | 1.5 | 39.8 | 1.4 | 14.7 | 40.5 | 3.6 | Cu11.55Ni0.40Sb4.250S11.74Se1.06 |
| 1 | 1.5 | 38.4 | 3.6 | 14.0 | 40.1 | 3.9 | Cu11.13Ni1.05Sb4.05S11.63Se1.14 |
| 1.5 | 1.5 | 37.5 | 4.5 | 13.9 | 40.3 | 3.8 | Cu10.86Ni1.3Sb4.04S11.68Se1.11 |
Disclaimer/Publisher’s Note: The statements, opinions and data contained in all publications are solely those of the individual author(s) and contributor(s) and not of MDPI and/or the editor(s). MDPI and/or the editor(s) disclaim responsibility for any injury to people or property resulting from any ideas, methods, instructions or products referred to in the content. |
© 2023 by the authors. Licensee MDPI, Basel, Switzerland. This article is an open access article distributed under the terms and conditions of the Creative Commons Attribution (CC BY) license (https://creativecommons.org/licenses/by/4.0/).
Share and Cite
Moço, D.; Malta, J.F.; Santos, L.F.; Lopes, E.B.; Gonçalves, A.P. Thermoelectric Properties of Nickel and Selenium Co-Doped Tetrahedrite. Materials 2023, 16, 898. https://doi.org/10.3390/ma16030898
Moço D, Malta JF, Santos LF, Lopes EB, Gonçalves AP. Thermoelectric Properties of Nickel and Selenium Co-Doped Tetrahedrite. Materials. 2023; 16(3):898. https://doi.org/10.3390/ma16030898
Chicago/Turabian StyleMoço, Duarte, José F. Malta, Luís F. Santos, Elsa B. Lopes, and António P. Gonçalves. 2023. "Thermoelectric Properties of Nickel and Selenium Co-Doped Tetrahedrite" Materials 16, no. 3: 898. https://doi.org/10.3390/ma16030898
APA StyleMoço, D., Malta, J. F., Santos, L. F., Lopes, E. B., & Gonçalves, A. P. (2023). Thermoelectric Properties of Nickel and Selenium Co-Doped Tetrahedrite. Materials, 16(3), 898. https://doi.org/10.3390/ma16030898

